Portada
Asignatura
Grado en Psicología (UNIZAR)
2 Bachillerato
Fecha de subida
18 ene 2023
Categoría
apuntes
Etiquetas
Apuntes - b.II-la-celula-ciclo-celular.pdf
pdf
2 páginas
46
9
Test - shakira.pdf
98 páginas
43
1
Apuntes - b.II-la-celula-metabolismo-celular.pdf
4 páginas
35
Apuntes - shakira.pdf
27
0
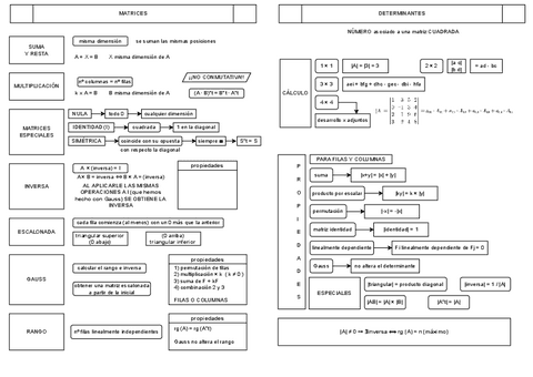
Apuntes - algebra.pdf
1 página
25
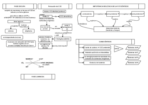
Apuntes - b.II-metabolismo-fotosintesis.pdf
17
Apuntes - b.III-genetica-adn.pdf
5 páginas
Apuntes - b.V-microorganismos.pdf
3 páginas
14
Apuntes - b.III-genetica-mutaciones.pdf
15
Apuntes - b.III-genetica-resumen.pdf