ACÚSTICA MEDIOAMBIENTAL

chevron_left
chevron_right
Todo
Ejercicios
Prácticas
chevron_left
chevron_right

He publicado nuevos practicas de 4º ACÚSTICA MEDIOAMBIENTAL: P2Guia-muestras-sonoras.pdf

8 páginas

He publicado nuevos practicas de 4º ACÚSTICA MEDIOAMBIENTAL: IntroTelecoMedioam-corta-2022.pdf

11 páginas

He publicado nuevos practicas de 4º ACÚSTICA MEDIOAMBIENTAL: P7-Guionpaisajes-sonoros.pdf

1 página

He publicado nuevos practicas de 4º ACÚSTICA MEDIOAMBIENTAL: P3Medida-exterior.pdf

3 páginas

He publicado nuevos practicas de 4º ACÚSTICA MEDIOAMBIENTAL: P6-medidas-interiores.pdf

3 páginas

He publicado nuevos practicas de 4º ACÚSTICA MEDIOAMBIENTAL: P8Teleco.pdf

1 página

He publicado nuevos practicas de 4º ACÚSTICA MEDIOAMBIENTAL: P9Telecoenunciado.pdf

5 páginas

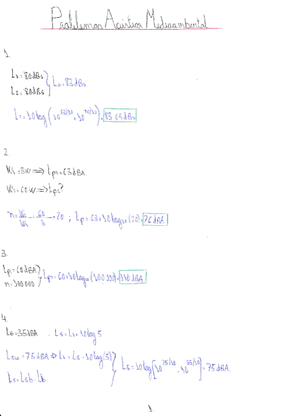
He publicado nuevos ejercicios de 4º ACÚSTICA MEDIOAMBIENTAL: Problemas-Acustica-Medioambiental-1.pdf

3 páginas

He publicado nuevos ejercicios de 4º ACÚSTICA MEDIOAMBIENTAL: Problemas-Acustica-Medioambiental-2.pdf

3 páginas

He publicado nuevos practicas de 4º ACÚSTICA MEDIOAMBIENTAL: Ejercicio-B-Practica-1-Acustica-Medioambiental.pdf

1 página
¡Estás al día!

¡Estás al día!

Has visto todos los archivos