Todo
Apuntes
Ejercicios
Exámenes
Prácticas
publication
chevron_left
chevron_right

He publicado nuevos examenes de 3º Aerodinámica I: 1o-Parcial-2526-Aerodinamica-I.pdf

1 página

He publicado nuevos apuntes de 3º Aerodinámica I: CONTENIDO-1o-PARCIAL-2025.pdf

15 páginas

Apuntes extensos para la resolución de problemas de la asignatura

15 páginas

Documento que contiene las integrales, los ángulos y los cambios más relevantes para la resolución de problemas y preguntas de teoría en la asignatura. Es necesario aprenderlos de memoria ya que a veces no se permite el uso de calculadora.

2 páginas

Documento que contiene fórmulas y preguntas resueltas que son típicas de la asignatura.

14 páginas

apuntes

-

Claves para Problemas

Documentos que contienen fórmulas y detalles fundamentales para la resolución de los dos tipos de problemas de la asignatura.

Claves-Problemas-PERFIL-AISLADO.pdf
Claves-Problemas-PEQUENO-AVION.pdf

He publicado nuevos apuntes de 3º Aerodinámica I: PROBLEMAS.pdf

23 páginas

He publicado nuevos apuntes de 3º Aerodinámica I: TEORIA.pdf

22 páginas

apuntes

-

Apuntes AyTA-NA 23-24

He publicado nuevos apuntes de 3º Aerodinámica I: Apuntes AyTA-NA 23-24

Tema-4.pdf
Tema-3.pdf
Tema-5.pdf
Tema-1.pdf
Tema-2.pdf

examenes

-

Problemas Examen RESUELTOS

He publicado nuevos examenes de 3º Aerodinámica I: Problemas Examen RESUELTOS

Problemas-Perfiles-Examen.pdf
Problemas-Alas-Examen.pdf
Cuestiones-Teoria-Examen.pdf

He publicado nuevos apuntes de 3º Aerodinámica I: Apuntes-clase-Temas-1-2-Aerodinamica.pdf

42 páginas

He publicado nuevos examenes de 3º Aerodinámica I: Segunda-Convocatoria-2025.pdf

2 páginas

He publicado nuevos examenes de 3º Aerodinámica I: 1CONVOCATORIA-2425.pdf

4 páginas

He publicado nuevos examenes de 3º Aerodinámica I: Primera-Convocatoria-2025.pdf

4 páginas

He publicado nuevos ejercicios de 3º Aerodinámica I: Ejercicios-Aerodinamica.pdf

51 páginas

He publicado nuevos apuntes de 3º Aerodinámica I: Alas-de-gran-alargamiento-Teoria-de-ala-larga-de-Prandtl.pdf

10 páginas

He publicado nuevos apuntes de 3º Aerodinámica I: Teoria-Potencial-linealizada-de-perfiles.pdf

13 páginas

He publicado nuevos apuntes de 3º Aerodinámica I: Generacion-de-Circulacion.Hipotesis-de-Kutta.pdf

11 páginas

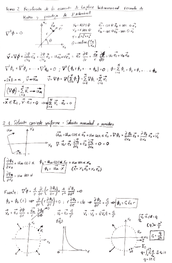
He publicado nuevos apuntes de 3º Aerodinámica I: Tema-3-Resolucion-de-la-ecuacion-de-Laplace.pdf

8 páginas

He publicado nuevos apuntes de 3º Aerodinámica I: Tema-2-Ecuaciones-generales.pdf

9 páginas

He publicado nuevos apuntes de 3º Aerodinámica I: Resumen-para-problemas.pdf

4 páginas

He publicado nuevos apuntes de 3º Aerodinámica I: Parte-I-Introduccion.pdf

2 páginas

apuntes

-

Teoría Aerodinámica I

He publicado nuevos apuntes de 3º Aerodinámica I: Teoría Aerodinámica I

Formulario-soluciones-elementales.pdf
Teoria-Aerodinamica-I-22052024.pdf
Teoria-Practicas.pdf

apuntes

-

TODO (teoría, problemas,...)

He publicado nuevos apuntes de 3º Aerodinámica I: TODO (teoría, problemas,...)

Teoria.pdf

He publicado nuevos apuntes de 3º Aerodinámica I: formulario-problemas-y-teoria.pdf

2 páginas

He publicado nuevos apuntes de 3º Aerodinámica I: todos-los-problemas.pdf

32 páginas

He publicado nuevos apuntes de 3º Aerodinámica I: toda-la-teoria.pdf

16 páginas

examenes

-

PROBLEMAS DE TODOS LOS EXAMENES DESDE 2019

He publicado nuevos examenes de 3º Aerodinámica I: PROBLEMAS DE TODOS LOS EXAMENES DESDE 2019

Primera-Convocatoria-2019.pdf
Primera-Convocatoria-2020.pdf
Primera-Convocatoria-2021.pdf
Primera-Convocatoria-2022.pdf
Primera-convocatoria-2023.pdf
Segunda-Convocatoria-2019.pdf

examenes

-

PARTE TEORIA DE EXAMENES DESDE 2019

He publicado nuevos examenes de 3º Aerodinámica I: PARTE TEORIA DE EXAMENES DESDE 2019

Examenes-Teoria-2019.pdf
Examenes-Teoria-2020.pdf
Examenes-Teoria-2021.pdf
Examenes-Teoria-2022.pdf
Examenes-Teoria-2023.pdf

apuntes

-

Aerodinámica I

He publicado nuevos apuntes de 3º Aerodinámica I: Aerodinámica I

AeroIexamenes.pdf
Resumenes-problemas.pdf

apuntes

-

La Biblia de Aerodinámica I

He publicado nuevos apuntes de 3º Aerodinámica I: La Biblia de Aerodinámica I

Formulario-T-4.pdf
Segundo-Parcial-2023.pdf
Formulario-T-5.pdf
Ejercicios-y-Teoria-1P-Teoria-2P.pdf

He publicado nuevos apuntes de 3º Aerodinámica I: FISICA-DE-LA-ATMOSFERA.-ATMOSFERA-ISA.pdf

41 páginas

He publicado nuevos apuntes de 3º Aerodinámica I: TEORIA-DE-VUELO.pdf

28 páginas

He publicado nuevos apuntes de 3º Aerodinámica I: ESTABILIDAD-LONGUITUDINAL-LATERAL-Y-DIRECCIONAL-DE-VUELO.pdf

25 páginas

He publicado nuevos apuntes de 3º Aerodinámica I: AERODINAMICA-DEL-PERFIL.pdf

28 páginas

He publicado nuevos apuntes de 3º Aerodinámica I: AERODINAMICA-DEL-ALA-Y-EFECTOS-DE-SU-FORMA.pdf

25 páginas

He publicado nuevos apuntes de 3º Aerodinámica I: AERODINAMICA.-DINAMICA-DE-FLUIDOS.pdf

24 páginas

apuntes

-

APUNTES ESENCIALES AERO

He publicado nuevos apuntes de 3º Aerodinámica I: APUNTES ESENCIALES AERO

APUNTES-TEMA-1-Y-2.pdf
APUNTES-TEMA-3.pdf
APUNTES-TEMA-4.pdf
APUNTES-TEMA-5.pdf
APUNTES-TEMA-6.pdf

He publicado nuevos apuntes de 3º Aerodinámica I: Formulario-Aerodinamica-T3.pdf

5 páginas

He publicado nuevos apuntes de 3º Aerodinámica I: Formulario-Aerodinamica-T1-y-T2.pdf

4 páginas

He publicado nuevos apuntes de 3º Aerodinámica I: Esquema-Aerodinamica-T2.pdf

3 páginas

He publicado nuevos apuntes de 3º Aerodinámica I: Esquema-Aerodinamica-T3.pdf

3 páginas

He publicado nuevos apuntes de 3º Aerodinámica I: Esquema-Aerodinamica-T1.pdf

2 páginas

apuntes

-

Teoría y problemas de examen

He publicado nuevos apuntes de 3º Aerodinámica I: Teoría y problemas de examen

Preguntas-de-teoria-y-practicas.pdf
Problemas-de-examen-de-temas-4-y-5.pdf
Resumen-del-temario.pdf

He publicado nuevos examenes de 3º Aerodinámica I: ENUNCIADO-2-CONVO-2023.pdf

2 páginas

De las que se repiten en todas las convocatorias

13 páginas

He publicado nuevos examenes de 3º Aerodinámica I: Primer-Parcial-2021.pdf

pdf

He publicado nuevos examenes de 3º Aerodinámica I: Segundo-Parcial-2021.pdf

pdf

He publicado nuevos apuntes de 3º Aerodinámica I: Resumen-Aerodinamica.pdf

pdf

examenes

-

EXAMENES RESUELTOS Y EXPLICADOS

He publicado nuevos examenes de 3º Aerodinámica I: EXAMENES RESUELTOS Y EXPLICADOS

3-convo-2020.pdf
2-convo-Julio-2020.pdf

apuntes

-

Teoría por Temas

He publicado nuevos apuntes de 3º Aerodinámica I: Teoría por Temas

Aerodinamica-Tema-1.pdf
Aerodinamica-Tema-2.pdf
Aerodinamica-Tema-4.pdf
Aerodinamica-Tema-5.pdf
Aerodinamica-Tema-3.pdf

He publicado nuevos apuntes de 3º Aerodinámica I: Problema-Examen-2-Parcial.pdf

26 páginas

He publicado nuevos apuntes de 3º Aerodinámica I: Teoria-completa-aerodinamica.pdf

38 páginas

He publicado nuevos apuntes de 3º Aerodinámica I: formulario-examen-aerodinamica.pdf

1 página

examenes

-

Exámenes

He publicado nuevos examenes de 3º Aerodinámica I: Exámenes

Julio-2020.pdf
Tercera-Convo-2020.pdf
Examenes-2020.pdf
2018-2017.pdf
2019.pdf

apuntes

-

Formularios examen

He publicado nuevos apuntes de 3º Aerodinámica I: Formularios examen

Formulario-primer-parcial.pdf
Formulario-Practicas.pdf

apuntes

-

Teoría

He publicado nuevos apuntes de 3º Aerodinámica I: Teoría

Tema-1-Aero-I.pdf
Tema-2-Aero-I.pdf
Tema-3-Aero-I.pdf
Tema-4-Aero-I.pdf
Tema-5-Aero-I.pdf
Apuntes-Tema-6.pdf

apuntes

-

Apuntes de clase por temas

He publicado nuevos apuntes de 3º Aerodinámica I: Apuntes de clase por temas

Tema-1-Ecuaciones-generales.pdf
Tema-2-Resolucion-de-la-ecuacion-de-Laplace.pdf
Tema-3-Generacion-de-circulacion.pdf
Tema-5-Alas-de-gran-alargamiento-de-Pradtl.pdf
Tema-4-Teoria-linealizada-de-perfiles.pdf

apuntes

-

APUNTES - RESÚMENES aerod TEMAS 1-5

He publicado nuevos apuntes de 3º Aerodinámica I: APUNTES - RESÚMENES aerod TEMAS 1-5

TEMA-4-RESUMEN.pdf
TEMA-5-RESUMEN.pdf
TEMA-2-RESUMEN.pdf
TEMA-1-RESUMEN.pdf
TEMA-3-RESUMEN.pdf

He publicado nuevos examenes de 3º Aerodinámica I: Examenes-19-20-21-resueltos.pdf

41 páginas