Todo
Apuntes
Exámenes
Prácticas
chevron_left
chevron_right

examenes

-

Examen2025+Codigo

He publicado nuevos examenes de 1º Aeroelasticidad: Examen2025+Codigo

ParteSupervisada.pdf
Enunciado2025.pdf
Miniatura no disponible
CodigoExamen.m

practicas

-

Código Práctica 2 Flameo

He publicado nuevos practicas de 1º Aeroelasticidad: Código Práctica 2 Flameo

Miniatura no disponible
CodigoPractica2.m
Instrucciones-Codigo-Practica2.pdf

practicas

-

Prácticas resueltas

He publicado nuevos practicas de 1º Aeroelasticidad: Prácticas resueltas

Contenido-archivos-.bdf-y-.f06-P1-y-P2-AE.pdf
Practicas-1-y-2-AE.pdf
Practica-3-Flameo-AE.pdf
Practica1Resultados.pdf
Practica2ResultadosJueves.pdf
Practica2ResultadosMiercoles.pdf

He publicado nuevos apuntes de 1º Aeroelasticidad: Aeroelasticidad-APUNTES-Y-EJERCICIOS-LCR.pdf

298 páginas

examenes

-

Exámenes resueltos

He publicado nuevos examenes de 1º Aeroelasticidad: Exámenes resueltos

Erratas-recopilatorio-corregidas-AE.pdf
Recopilacion-tipos-cuestiones-AE.pdf
Resueltas-Cuestiones-modelo-2019-2020-AE.pdf
Resueltos-2011-2020-Examenes-Aerodinamica-No-Estacionaria-AE.pdf
Resueltos-Examenes-Flameo-2009-2019-AE.pdf
Resueltos-Flameo-Parte-2-2008-2019-AE.pdf

apuntes

-

Apuntes por temas

He publicado nuevos apuntes de 1º Aeroelasticidad: Apuntes por temas

Introduccion-de-la-asignatura-AE.pdf
Tema-1-Introduccion-a-la-Aeroelasticidad-AE.pdf
Tema-2-Aeroelasticidad-estatica-AE.pdf
Tema-3.-Aerodinamica-no-estacionaria-AE.pdf
Tema-4.-Flameo-AE.pdf
Tema-5-Rafagas-AE.pdf

examenes

-

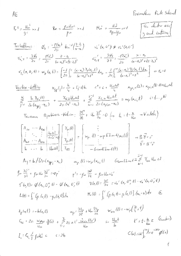
Fórmulas y anotaciones importantes

He publicado nuevos examenes de 1º Aeroelasticidad: Fórmulas y anotaciones importantes

Anotaciones-necesarias-Parte-AE-Estatica-AE.pdf
CAMBIOS-EN-LA-ASIGNATURA-AE.pdf
Codigos-Flameo-AE.pdf
Formularios-Partes-Saborid-y-Blazquez-AE.pdf

examenes

-

Examen Parcial 2023

He publicado nuevos examenes de 1º Aeroelasticidad: Examen Parcial 2023

Enunciado-Parcial-2023.pdf
SupervisedPartAntonioMalaverJambrina.pdf
NonSupervisedPartAntonioMalaverJambrina.pdf
Miniatura no disponible
AMJFinalCode.m
Miniatura no disponible
AMJFastRunningExample.m
Miniatura no disponible
Figuresresults.zip

He publicado nuevos apuntes de 1º Aeroelasticidad: Apuntes-22-23-ACTUALIZADO-24-MARZO.pdf

68 páginas

He publicado nuevos apuntes de 1º Aeroelasticidad: Static-Aerolasticity-Lecture-Notes-Jesus-Justo-lessons.pdf

22 páginas

He publicado nuevos apuntes de 1º Aeroelasticidad: Apuntes+Practicas 22-23| ACTUALIZADO-12-MARZO.pdf

56 páginas

He publicado nuevos apuntes de 1º Aeroelasticidad: Aeroelasticidad-APUNTES-LCR.pdf

127 páginas

He publicado nuevos apuntes de 1º Aeroelasticidad: Diseno-de-Motores-a-Reaccion-LCR.pdf

132 páginas

apuntes

-

APUNTES AEROELASTICIDAD - IMPORTANTE

He publicado nuevos apuntes de 1º Aeroelasticidad: APUNTES AEROELASTICIDAD - IMPORTANTE

Aeroelasticidad-Dinamica-Flameo.pdf
Aeroelasticidad-Estatica.pdf

apuntes

-

PROBLEMAS RESUELTOS DE EXAMEN-IMPORTANTE

He publicado nuevos apuntes de 1º Aeroelasticidad: PROBLEMAS RESUELTOS DE EXAMEN-IMPORTANTE

Problemas-placas-rigidas.pdf
Problemas-tuberia.pdf
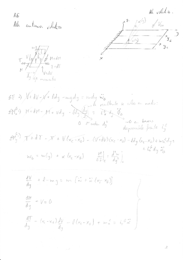
Problemas-Barra-Continua.pdf
Problemas-Panel-cohete.pdf
¡Estás al día!

¡Estás al día!

Has visto todos los archivos