Todo
Apuntes
Ejercicios
Exámenes
publication
Test
chevron_left
chevron_right
Anónimo

@Anónimo

Todos los ejercicios de clase explicados.

103 páginas
Anónimo

@Anónimo

He publicado nuevos ejercicios de 4º Aeronaves de Ala Fija: Problema 9: Cola y Tren de Biturbohelice.pdf

4 páginas
Anónimo

@Anónimo

He publicado nuevos ejercicios de 4º Aeronaves de Ala Fija: Problema 10: Tren.pdf

4 páginas
Anónimo

@Anónimo

He publicado nuevos ejercicios de 4º Aeronaves de Ala Fija: Problema 16: Tercer Motor.pdf

13 páginas
Anónimo

@Anónimo

He publicado nuevos ejercicios de 4º Aeronaves de Ala Fija: Problema 7.pdf

10 páginas
Anónimo

@Anónimo

He publicado nuevos ejercicios de 4º Aeronaves de Ala Fija: Problema 6.pdf

6 páginas
Anónimo

@Anónimo

He publicado nuevos ejercicios de 4º Aeronaves de Ala Fija: Problema 3.pdf

7 páginas
Anónimo

@Anónimo

He publicado nuevos ejercicios de 4º Aeronaves de Ala Fija: Problema 1: Cuerdas.pdf

4 páginas

He publicado nuevos apuntes de 4º Aeronaves de Ala Fija: FORMULARIO-AAF.pdf

2 páginas
Anónimo

@Anónimo

He publicado nuevos ejercicios de 4º Aeronaves de Ala Fija: Problema 17: Avioneta.pdf

10 páginas
Anónimo

@Anónimo

He publicado nuevos ejercicios de 4º Aeronaves de Ala Fija: Problema 12: Problema PL-R.pdf

3 páginas
Anónimo

@Anónimo

He publicado nuevos ejercicios de 4º Aeronaves de Ala Fija: Problema 15: Avion Supersónico.pdf

7 páginas
Anónimo

@Anónimo

He publicado nuevos ejercicios de 4º Aeronaves de Ala Fija: Problema 13: Problema de los 3 Pesos.pdf

7 páginas

apuntes

-

RESUMEN ALA FIJA (VA)

He publicado nuevos apuntes de 4º Aeronaves de Ala Fija: RESUMEN ALA FIJA (VA)

TEMA-1.pdf
TEMA-2.pdf
TEMA-3.pdf
TEMA-4.pdf
TEMA-5.pdf
TEMA-6.pdf
Anónimo

@Anónimo

He publicado nuevos ejercicios de 4º Aeronaves de Ala Fija: Problema 11: Doble Fuselaje.pdf

6 páginas
Anónimo

@Anónimo

He publicado nuevos ejercicios de 4º Aeronaves de Ala Fija: Problema 8: Problema de Flaps.pdf

7 páginas
Anónimo

@Anónimo

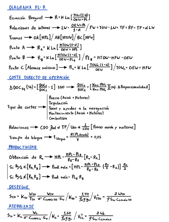
He publicado nuevos ejercicios de 4º Aeronaves de Ala Fija: Problema 4: Diagrama PL-R.pdf

7 páginas
Anónimo

@Anónimo

He publicado nuevos ejercicios de 4º Aeronaves de Ala Fija: Problema 5: Avion Bimotor VS Trimotor.pdf

6 páginas

examenes

-

Extra 2025-P2_sol

He publicado nuevos examenes de 4º Aeronaves de Ala Fija: Extra 2025-P2_sol

Extra-2025-P2sol.pdf
Extra-2025-P1sol.pdf

He publicado nuevos apuntes de 4º Aeronaves de Ala Fija: Formulario-AAF-VA.pdf

1 página

apuntes

-

RESUMEN DE MOODLE PARA IMPRIMIR

He publicado nuevos apuntes de 4º Aeronaves de Ala Fija: RESUMEN DE MOODLE PARA IMPRIMIR

1.-El-proyecto-del-avion.pdf
2.-Aspectos-economicos-del-proyecto-y-la-operacion-de-aeronaves.pdf
3.-Tipos-de-aeronaves-de-ala-fija-y-conceptos-de-operacion--RPAS.pdf
4.-Diseno-y-dimensionado-del-fuselaje.pdf
5.-Estimacion-de-la-polar.pdf
6.-Metodos-rapidos-para-las-actuaciones-de-cruceros.pdf

Formulario y Ejercicios de Clase Resueltos de ALA FIJA

66 páginas

examenes

-

EXAMENES 2023-2024 Con Solución

He publicado nuevos examenes de 4º Aeronaves de Ala Fija: EXAMENES 2023-2024 Con Solución

Extraordinario.pdf
Ordinario-Problema-1.pdf
Ordinario-Problema-3.pdf
Ordinario-Problema-2.pdf
Anónimo

@Anónimo

He publicado nuevos examenes de 4º Aeronaves de Ala Fija: Extra2024.pdf

12 páginas

examenes

-

Recopilación de Exámenes Problemas

He publicado nuevos examenes de 4º Aeronaves de Ala Fija: Recopilación de Exámenes Problemas

Extraordinario-2021-2.pdf
Extraordinario-2021.pdf
Extraordinario-2022.pdf
Extraordinario-2023.pdf
Ordinario-2021-2.pdf
Ordinario-2021.pdf

apuntes

-

Exámenes y problemas de examen

He publicado nuevos apuntes de 4º Aeronaves de Ala Fija: Exámenes y problemas de examen

EXAMEN-FEBRERO-2021.pdf
EXAMEN-JUNIO-2022.pdf
EXAMEN-JUNIO-2023.pdf
PROBLEMAS-BLOQUE-1.pdf
PROBLEMAS-BLOQUE-2.pdf
PROBLEMAS-MOODLE-1.pdf

He publicado nuevos apuntes de 4º Aeronaves de Ala Fija: RESUMEN-ASIGNATURA-COMPLETA.pdf

8 páginas

He publicado nuevos examenes de 4º Aeronaves de Ala Fija: Problemas-examenes-resueltos-a-mano-2021-2023.pdf

16 páginas

He publicado nuevos ejercicios de 4º Aeronaves de Ala Fija: Problemas-entregables-resueltos-a-mano.pdf

12 páginas

He publicado nuevos ejercicios de 4º Aeronaves de Ala Fija: Problemas-resueltos-a-mano-MOODLE.pdf

30 páginas

examenes

-

EXAMEN ORDINARIO 2024

He publicado nuevos examenes de 4º Aeronaves de Ala Fija: EXAMEN ORDINARIO 2024

AAF20240111-P3Sol.pdf
AAF20240111-P2Sol.pdf
AAF20240111-P1Sol.pdf

apuntes

-

Problemas Moodle - Cutres pero bien hechos

Estan feos de cojones pero los resultados dan, si os sirve de lujo. Ire subiendo más segun los haga

P3-Moodle-Cutre-pero-bien.pdf
P14-Moodle-Cutre-pero-bien.pdf
P8-cutre-pero-mas-o-menos-bien.pdf
P7-cutre-pero-perfecto.pdf
P9.-Tren.pdf
P16.-Doble-fuselaje-hecho-perfecto.pdf

He publicado nuevos apuntes de 4º Aeronaves de Ala Fija: FORMULARIO-AAF.pdf

6 páginas

examenes

-

Recopilación de Exámenes Sistemas

He publicado nuevos examenes de 4º Aeronaves de Ala Fija: Recopilación de Exámenes Sistemas

Ordinario-2021-Sistemas.pdf
Ordinario-2022-Sistemas.pdf
Ordinario-2023-Sistemas.pdf

apuntes

-

Todo AAF

Teoría, Ejercicios de clase y EXÁMENES RESUELTOS.

ExamenesAAF.pdf
MiniResumenAAF.pdf
OtrosEjerciciosAAF.pdf
ProblemasEntregayClaseAAF.pdf
Anónimo

@Anónimo

He publicado nuevos examenes de 4º Aeronaves de Ala Fija: Extra-2023-resuelto.pdf

6 páginas

He publicado nuevos apuntes de 4º Aeronaves de Ala Fija: RESUMEN-AAF.pdf

10 páginas

He publicado nuevos apuntes de 4º Aeronaves de Ala Fija: FORMULARIO-AAF.pdf

2 páginas

He publicado nuevos ejercicios de 4º Aeronaves de Ala Fija: PROBLEMAS-AAF.pdf

20 páginas

examenes

-

Problemas NO ENTREGABLES 2022-2023

He publicado nuevos examenes de 4º Aeronaves de Ala Fija: Problemas NO ENTREGABLES 2022-2023

A-Costes-polar-y-cotizacion.pdf
B-Flaps.pdf
C-Evacuacion-del-fuselaje.pdf
D-Tercer-motor-extendido.pdf
E-Tren-de-aterrizaje.pdf
F-Ala-modular.pdf

examenes

-

Problemas ENTREGABLES 2022-2023

He publicado nuevos examenes de 4º Aeronaves de Ala Fija: Problemas ENTREGABLES 2022-2023

1.-Cuerdas.pdf
2.-Diagrama-PL-R.pdf
3.-Tercer-motor.pdf
4.-Costes.pdf

He publicado nuevos apuntes de 4º Aeronaves de Ala Fija: Resumen-compacto.pdf

1 página

apuntes

-

Diapositivas clase

He publicado nuevos apuntes de 4º Aeronaves de Ala Fija: Diapositivas clase

2.-Economia-del-avion.pdf
3.1-Tipos-Aeronaves-Ala-Fija-y-Condiciones-Operacion.pdf
3.2-RPAS.pdf
4.-Diseno-y-dimensionado-el-fuselaje.pdf
5.-Estimacion-de-la-polar.pdf
6.-Metodos-rapidos-para-las-actuaciones-de-crucero.pdf

He publicado nuevos apuntes de 4º Aeronaves de Ala Fija: Formulario-AAF.pdf

6 páginas

He publicado nuevos apuntes de 4º Aeronaves de Ala Fija: Apuntes-AAF-iPad.pdf

14 páginas

He publicado nuevos ejercicios de 4º Aeronaves de Ala Fija: Problemas-Clase-A-Mano-2223.pdf

7 páginas

Material para el examen final

He subido una recopilación con las preguntas de V/F de clase de este curso, junto con un resumen de las cosas más importantes por temas de la teoría. En breve tendréis un formulario con las ecuaciones imprescindibles para resolver todos los problemas. Suerte!

He publicado nuevos apuntes de 4º Aeronaves de Ala Fija: Cosas-importantes-por-temas-AAF.pdf

29 páginas

He publicado nuevos examenes de 4º Aeronaves de Ala Fija: Preguntas-Clase-Resueltas-2022-2023.pdf

13 páginas

He publicado nuevos apuntes de 4º Aeronaves de Ala Fija: FORMULARIO-AAF.pdf

5 páginas

He publicado nuevos examenes de 4º Aeronaves de Ala Fija: PROBLEMAS-ENTREGAR-Y-EXAMENES-RESUELTOS.pdf

32 páginas
Anónimo

@Anónimo

He publicado nuevos apuntes de 4º Aeronaves de Ala Fija: FORMULARIO-ALA-FIJA.pdf

2 páginas

He publicado nuevos apuntes de 4º Aeronaves de Ala Fija: Formulario-AAF-MCV.pdf

12 páginas

He publicado nuevos apuntes de 4º Aeronaves de Ala Fija: AAF20220624Sol.pdf

7 páginas

apuntes

-

Problemas clase y moodle y Teoría SS.EE

He publicado nuevos apuntes de 4º Aeronaves de Ala Fija: Problemas clase y moodle y Teoría SS.EE

Problemas-AAF-moodley-entregaryOrdinario-2022.pdf
Teoria-Sistemas-y-Equipos-muy-resumida.pdf
Anónimo

@Anónimo

apuntes

-

Temas Sistemas Y Equipos 2021-22

He publicado nuevos apuntes de 4º Aeronaves de Ala Fija: Temas Sistemas Y Equipos 2021-22

Tema27.pdf
Tema21.pdf
Tema29.pdf
Tema28.pdf
Tema32.pdf
Tema25.pdf

apuntes

-

Ordinario 2021-22 Resolución

He publicado nuevos apuntes de 4º Aeronaves de Ala Fija: Ordinario 2021-22 Resolución

AAF20220113P1Sol.pdf
AAF20220113P2Sol.pdf

He publicado nuevos apuntes de 4º Aeronaves de Ala Fija: Formulario-AAF.pdf

10 páginas

apuntes

-

Problemas de Moodle Resueltos a mano

He publicado nuevos apuntes de 4º Aeronaves de Ala Fija: Problemas de Moodle Resueltos a mano

Problema-16.pdf
Problema-10.pdf
Problema-15.pdf
Problema-13.pdf
Problema-7.pdf
Problema-11.pdf

apuntes

-

Apuntes AAF (19 temas) y Formulario

He publicado nuevos apuntes de 4º Aeronaves de Ala Fija: Apuntes AAF (19 temas) y Formulario

Apuntes-AAF.pdf
Formulario-AAF.pdf