Todo
Apuntes
Ejercicios
Exámenes
Otros
publication
chevron_left
chevron_right

examenes

-

EXAMENES 2016-2025 Con Solución

He publicado nuevos examenes de 4º Aeronaves de Ala Rotatoria: EXAMENES 2016-2025 Con Solución

Extraordinario-2024-25.pdf
Ordinario-2024-25.pdf
Ordinario-2023-24.pdf
Extraordinario-2022-23.pdf
Ordinario-2022-23.pdf
Ordinario-2021-22.pdf

examenes

-

TODOS los EXAMENES con SOLUCION 2016-2025

He publicado nuevos examenes de 4º Aeronaves de Ala Rotatoria: TODOS los EXAMENES con SOLUCION 2016-2025

Ordinario-2023-24.pdf
Ordinario-2022-23.pdf
Ordinario-2021-22.pdf
Ordinario-2020-21.pdf
Ordinario-2019-20.pdf
Ordinario-2018-19.pdf

examenes

-

TODOS EXÁMENES 2025

He publicado nuevos examenes de 4º Aeronaves de Ala Rotatoria: TODOS EXÁMENES 2025

Examen-teoria-Ordinario-2025.pdf
Examen-Extraordinario-2025-Teoria.pdf
Examen-Extraordinario-2025-Problema.pdf
Examen-Ordinario-2025-Solucion-problema.pdf
Examen-Ordinario-2025-Enunciado-problema.pdf

apuntes

-

Problemas Moodle

He publicado nuevos apuntes de 4º Aeronaves de Ala Rotatoria: Problemas Moodle

Vuelo-axial.pdf
Aeromecanica.pdf
Vuelo-de-avance.pdf
Actuaciones.pdf

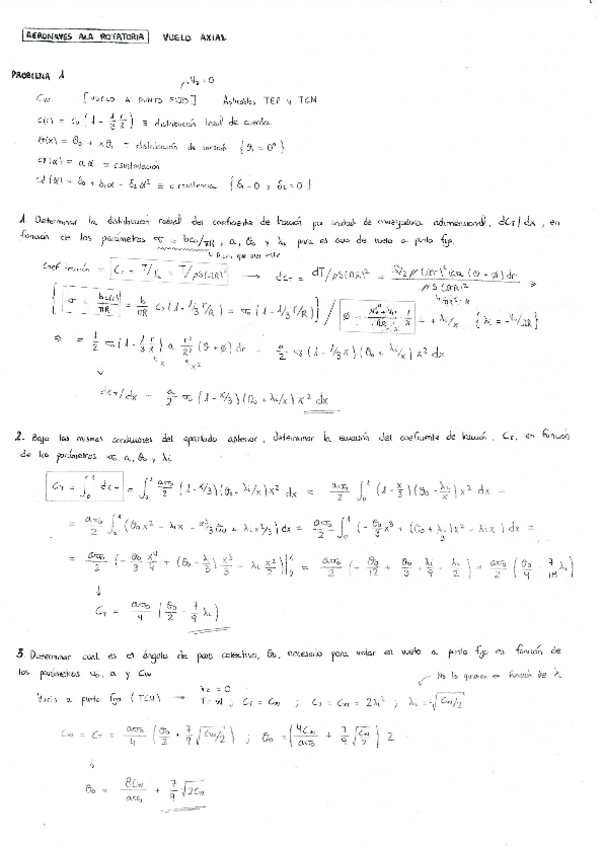
Problemas de examen y recopilación de problemas del documento oficial de la ETSIAE resueltos y por temas. Trabajalos con los apuntes al lado para ir entendiendo todo bien.

34 páginas

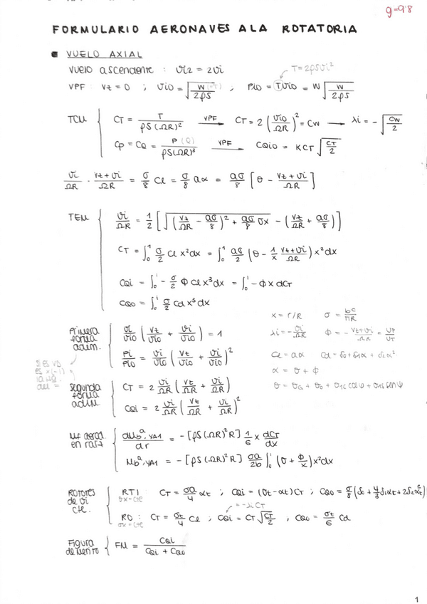
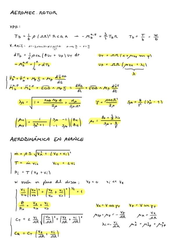
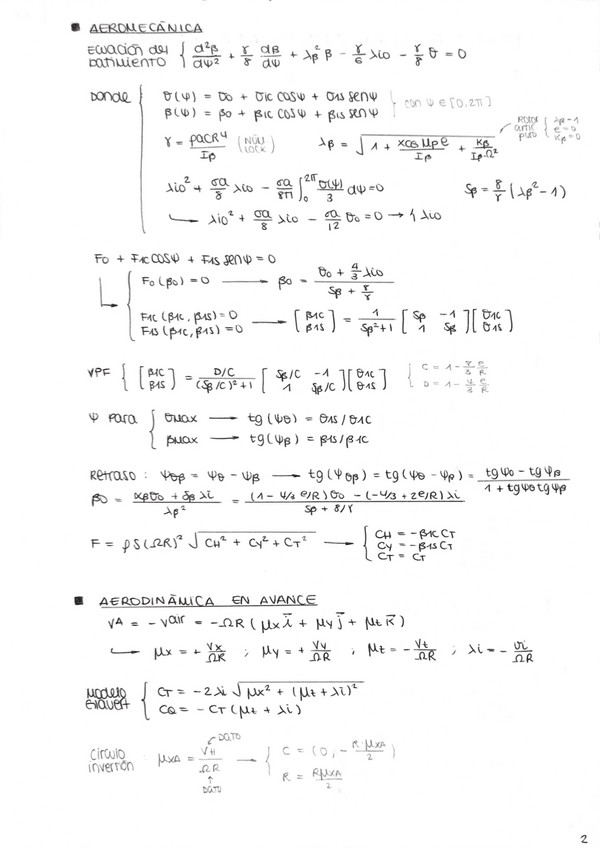
Apuntes/Formulario Completo Ala Rotatoria

12 páginas

Teoría a mano de toda la asignatura de AAR para entender y afianzar conceptos. He añadido un archivo con algunos problemas de examen por temas y algunos de los problemas propuestos en el archivo oficial resueltos. Está en mi perfil

44 páginas

He publicado nuevos apuntes de 4º Aeronaves de Ala Rotatoria: Resumen-Ala-Rotatoria-y-Ejercicios-Resueltos.pdf

36 páginas

apuntes

-

ARR Esenciales

He publicado nuevos apuntes de 4º Aeronaves de Ala Rotatoria: ARR Esenciales

Anotaciones.pdf
Ejercicios.pdf

examenes

-

EXAMENES 2023-2024 Con Solución

He publicado nuevos examenes de 4º Aeronaves de Ala Rotatoria: EXAMENES 2023-2024 Con Solución

Ordinario-ExamenteoriaV1-Solucion.pdf
Ordinario-Problema1-ascenso-enunciado.pdf
Ordinario-problema2-dinamica-enunciado-y-solucion.pdf
Ordinario-Problema-1-Ascenso-solucion.pdf

apuntes

-

EXAMENES 23-24

He publicado nuevos apuntes de 4º Aeronaves de Ala Rotatoria: EXAMENES 23-24

problema1ascensosolucion.pdf
problema2dinamicoenunciadosolucion.pdf
examenteoriaV1-answer.pdf
problema1ascensoenunciado.pdf

ejercicios

-

Práctica y problemas explicados

He publicado nuevos ejercicios de 4º Aeronaves de Ala Rotatoria: Práctica y problemas explicados

PRACTICA-AAR.pdf
PROBLEMAS-AAR.pdf

He publicado nuevos examenes de 4º Aeronaves de Ala Rotatoria: Teoria-Ordinario-2022-con-solucion.pdf

9 páginas

examenes

-

EO 2024

He publicado nuevos examenes de 4º Aeronaves de Ala Rotatoria: EO 2024

examenteoriaV1-answer.pdf
problema1ascensoenunciado.pdf
problema1ascensosolucion.pdf
problema2dinamicoenunciadosolucion.pdf

apuntes

-

VUELO DE AVANCE

He publicado nuevos apuntes de 4º Aeronaves de Ala Rotatoria: VUELO DE AVANCE

VUELO-DE-AVANCE.pdf

apuntes

-

AEROMECANICA

He publicado nuevos apuntes de 4º Aeronaves de Ala Rotatoria: AEROMECANICA

AEROMECANICA.pdf

apuntes

-

VUELO AXIAL

He publicado nuevos apuntes de 4º Aeronaves de Ala Rotatoria: VUELO AXIAL

Vuelo-axial-TEORIA-Y-PROBLEMAS.pdf
Anónimo

@Anónimo

examenes

-

Exámenes 22-23

He publicado nuevos examenes de 4º Aeronaves de Ala Rotatoria: Exámenes 22-23

EEp1.pdf
EEteoria.pdf
EEp2.pdf
Anónimo

@Anónimo

He publicado nuevos examenes de 4º Aeronaves de Ala Rotatoria: EE2023AAR.pdf

4 páginas

examenes

-

Examen ordinario 2023

He publicado nuevos examenes de 4º Aeronaves de Ala Rotatoria: Examen ordinario 2023

examenteoriaV1-answer.pdf
problemaactuaciones.pdf
problemaAeromecanica.pdf

He publicado nuevos ejercicios de 4º Aeronaves de Ala Rotatoria: PROBLEMAS-AAR.pdf

22 páginas

He publicado nuevos apuntes de 4º Aeronaves de Ala Rotatoria: RESUMEN-AAR.pdf

8 páginas

He publicado nuevos apuntes de 4º Aeronaves de Ala Rotatoria: Formulario-AAR.pdf

5 páginas

He publicado nuevos apuntes de 4º Aeronaves de Ala Rotatoria: temas1-parte5.pdf

32 páginas

He publicado nuevos apuntes de 4º Aeronaves de Ala Rotatoria: MasterTeoriaAARExplicada3.pdf

30 páginas

He publicado nuevos apuntes de 4º Aeronaves de Ala Rotatoria: apuntes-completos-aar.pdf

25 páginas

He publicado nuevos apuntes de 4º Aeronaves de Ala Rotatoria: Temas1-2explicados.pdf

10 páginas

Todo lo necesario para aprobar AAR en 2 días

Tenéis subido en mi perfil un recopilatorio de los problemas de los últimos años con solución, una batería de preguntas de test recurrentes y un resumen de la teoría con todo los indispensable para entender la asignatura en un par de días. Suerte!

He publicado nuevos examenes de 4º Aeronaves de Ala Rotatoria: Problemas-examen-AAR.pdf

27 páginas

He publicado nuevos examenes de 4º Aeronaves de Ala Rotatoria: Preguntas-test-AAR.pdf

30 páginas

He publicado nuevos examenes de 4º Aeronaves de Ala Rotatoria: AAR-recopilatorio-de-problemas.pdf

55 páginas

apuntes

-

Formulario COMPLETO

He publicado nuevos apuntes de 4º Aeronaves de Ala Rotatoria: Formulario COMPLETO

Formulario.pdf

ejercicios

-

Problemas y Exámenes ACTUACIONES

He publicado nuevos ejercicios de 4º Aeronaves de Ala Rotatoria: Problemas y Exámenes ACTUACIONES

Actuaciones.pdf

examenes

-

Cosas importantes por temas

He publicado nuevos examenes de 4º Aeronaves de Ala Rotatoria: Cosas importantes por temas

Tema-1.pdf
Tema-2.pdf
Tema-3.pdf
Tema-4.pdf
Tema-5.pdf
Tema-6.pdf

He publicado nuevos apuntes de 4º Aeronaves de Ala Rotatoria: AAR-Resumenes.pdf

13 páginas

He publicado nuevos apuntes de 4º Aeronaves de Ala Rotatoria: Practicas-rotatoria.pdf

2 páginas

He publicado nuevos apuntes de 4º Aeronaves de Ala Rotatoria: Apuntes del libro.pdf

7 páginas

He publicado nuevos examenes de 4º Aeronaves de Ala Rotatoria: PROBLEMAS-DE-EXAMENES-RESUELTOS.pdf

11 páginas
Anónimo

@Anónimo

He publicado nuevos apuntes de 4º Aeronaves de Ala Rotatoria: Teoria-AAR-Clase.pdf

21 páginas
Anónimo

@Anónimo

He publicado nuevos apuntes de 4º Aeronaves de Ala Rotatoria: Formulario-AAR.pdf

6 páginas

He publicado nuevos ejercicios de 4º Aeronaves de Ala Rotatoria: Examenes-De-AAR.pdf

21 páginas
Anónimo

@Anónimo

He publicado nuevos examenes de 4º Aeronaves de Ala Rotatoria: 20212210030FEB.pdf

10 páginas

He publicado nuevos apuntes de 4º Aeronaves de Ala Rotatoria: Problemas-Moodle-a-mano.pdf

23 páginas

apuntes

-

Apuntes y Formulario AAR

He publicado nuevos apuntes de 4º Aeronaves de Ala Rotatoria: Apuntes y Formulario AAR

Apuntes-AAR.pdf
Formulario-AAR.pdf

ejercicios

-

Problemas resueltos de Ala Rotatoria

He publicado nuevos ejercicios de 4º Aeronaves de Ala Rotatoria: Problemas resueltos de Ala Rotatoria

Problema-4.pdf
Problema-1.pdf
Problema-2.pdf
Problema-5.pdf
Problema-6.pdf
Problema-7.pdf

apuntes

-

Apuntes de clase a mano

He publicado nuevos apuntes de 4º Aeronaves de Ala Rotatoria: Apuntes de clase a mano

Fenomenologia-del-vuelo-con-alas-rotatorias.pdf
Arquitectura-del-helicoptero-y-vuelo-axial.pdf
Aeromecanica-del-rotor.pdf
Aerodinamica-del-rotor-en-vuelo-de-avance.pdf
Actuaciones.pdf
Anónimo

@Anónimo

He publicado nuevos apuntes de 4º Aeronaves de Ala Rotatoria: ordinario-2021.pdf

7 páginas

He publicado nuevos apuntes de 4º Aeronaves de Ala Rotatoria: examen-extraordinario-AAR-2021.pdf

13 páginas

He publicado nuevos apuntes de 4º Aeronaves de Ala Rotatoria: ORDINARIO-SOLUCION-2021.pdf

15 páginas

He publicado nuevos apuntes de 4º Aeronaves de Ala Rotatoria: Julio-2020-1.pdf

15 páginas

He publicado nuevos examenes de 4º Aeronaves de Ala Rotatoria: EO-2021.pdf

7 páginas

apuntes

-

AAR 2021 (EXÁMENES, DIAPOS, PROBLEMAS)

He publicado nuevos apuntes de 4º Aeronaves de Ala Rotatoria: AAR 2021 (EXÁMENES, DIAPOS, PROBLEMAS)

Examenes-AAR.pdf
Guion-Problemas-AAR-SOLUCIONES.pdf

He publicado nuevos apuntes de 4º Aeronaves de Ala Rotatoria: AARFormulario.pdf

5 páginas

He publicado nuevos apuntes de 4º Aeronaves de Ala Rotatoria: Formulario-AAR.pdf

5 páginas

He publicado nuevos apuntes de 4º Aeronaves de Ala Rotatoria: Problemas-clase-2021.pdf

24 páginas

He publicado nuevos examenes de 4º Aeronaves de Ala Rotatoria: Julio-2020.pdf

15 páginas

He publicado nuevos apuntes de 4º Aeronaves de Ala Rotatoria: Apuntes-Clase-2021.pdf

60 páginas

ejercicios

-

Problemas Ala rotatoria

He publicado nuevos ejercicios de 4º Aeronaves de Ala Rotatoria: Problemas Ala rotatoria

problemas-rotatoria.pdf
aeromecanica.pdf
ejercicios-actuaciones.pdf

examenes

-

Oficiales - teoria y problema juntos

He publicado nuevos examenes de 4º Aeronaves de Ala Rotatoria: Oficiales - teoria y problema juntos

07-2014.pdf
01-2017.pdf
01-2014.pdf
01-2015.pdf
07-2018-prob.pdf
01-2020.pdf

He publicado nuevos apuntes de 4º Aeronaves de Ala Rotatoria: PreguntasALAROTATORIA.pdf

37 páginas