Afecciones y enfoque Terapéutico del Sistema Nervioso

chevron_left
chevron_right
Todo
Apuntes
Exámenes
Prácticas
Test
chevron_left
chevron_right

Temari complet d’ASN, amb bona presentació i fàcil d’estudiar.

105 páginas
Anónimo

@Anónimo

He publicado nuevos apuntes de 2º Afecciones y enfoque Terapéutico del Sistema Nervioso: TEMAS-NERVIOSO-ADULTO-JOVEN.pdf

25 páginas
Anónimo

@Anónimo

apuntes

-

TABLAS COMPARATIVAS MOTONEURONA INFERIOR

He publicado nuevos apuntes de 2º Afecciones y enfoque Terapéutico del Sistema Nervioso: TABLAS COMPARATIVAS MOTONEURONA INFERIOR

TABLA-1.jpg
TABLA-2.jpg
TABLA-3.jpg

apuntes

-

Nervioso Adulto Mayor

He publicado nuevos apuntes de 2º Afecciones y enfoque Terapéutico del Sistema Nervioso: Nervioso Adulto Mayor

TEMA-24-ACCIDENTE-CEREBROVASCULAR.pdf
TEMA-25-PARKINSON-Y-OTROS-TRASTORNOS-EXTRAPIRAMIDALES.pdf
TEMA-26-SINDROMES-HIPERCINETICOS.pdf
TEMA-27-MIASTENIA-GRAVE-Y-OTRAS-ENFERMEDADES-DE-LA-UNION-NEUROMUSCULAR.pdf
TEMA-28-ALZHEIMER-Y-DEMENCIAS.pdf
Anónimo

@Anónimo

He publicado nuevos apuntes de 2º Afecciones y enfoque Terapéutico del Sistema Nervioso: TEMAS-INFANCIA.pdf

33 páginas

He publicado nuevos apuntes de 2º Afecciones y enfoque Terapéutico del Sistema Nervioso: AFECCIONES-SN-TODO.pdf

135 páginas

apuntes

-

Esquemes

He publicado nuevos apuntes de 2º Afecciones y enfoque Terapéutico del Sistema Nervioso: Esquemes

ESQUEMA-UNITAT-3.pdf
ESQUEMA-UNITAT-2.pdf
ESQUEMA-UNITAT-1.pdf

apuntes

-

Apunts

He publicado nuevos apuntes de 2º Afecciones y enfoque Terapéutico del Sistema Nervioso: Apunts

UNITAT-1.pdf
UNITAT-2.pdf
UNITAT-3.pdf
UNITAT-4.pdf

He publicado nuevos apuntes de 2º Afecciones y enfoque Terapéutico del Sistema Nervioso: ESQUEMAS-NERVIOSO.pdf

27 páginas

apuntes

-

TEMARIO SISTEMA NERVIOSO 2º uv

temario completo de cada unidad, con anotaciones importantes dichas en clase para examen

unidad-1-apuntes.pdf
UNIDAD-2-apuntes-tema-4.pdf
UNIDAD-2-ap-tema-5-.....pdf
apuntes-unidad-3.pdf
apuntes-unidad-4.pdf

He publicado nuevos examenes de 2º Afecciones y enfoque Terapéutico del Sistema Nervioso: PREGUNTAS-TIPO-TEST-POR-TEMAS-UNIDAD-2.pdf

22 páginas

He publicado nuevos examenes de 2º Afecciones y enfoque Terapéutico del Sistema Nervioso: PREGUNTAS-TIPO-EXAMEN-2025.pdf

24 páginas
Anónimo

@Anónimo

Preguntas tipo test para repasar todo el temario

43 páginas

Preguntas hechas con IA, del tema 24 al 28.

8 páginas

Preguntas hechas con IA, del tema 18 al 23.

10 páginas

He publicado nuevos examenes de 2º Afecciones y enfoque Terapéutico del Sistema Nervioso: PREGUNTAS-TIPO-TEST-TEMA-17-22.pdf

15 páginas

Preguntas hechas con IA, del tema 13 al 18.

9 páginas

Preguntas hechas con IA, del tema 1 al 12.

19 páginas

Tabla generada por la IA a modo de resumen

1 página

Tabla generada por la IA a modo de resumen

2 páginas

Tabla generada por la IA a modo de resumen

2 páginas

He publicado nuevos examenes de 2º Afecciones y enfoque Terapéutico del Sistema Nervioso: PREGUNTAS-TIPO-TEST-TEMA-7-16.pdf

22 páginas

Preguntas para estudiar del tema 1 al 6

17 páginas

Preguntas tipo examen mías por temas que no son de exámenes de otros años

45 páginas

Resumen del bloque 4 de sistema nervioso de los temas 25 al 28

9 páginas

Resumen del bloque 3 de sistema nervioso, con los temas del 14 al 23

18 páginas

He publicado nuevos apuntes de 2º Afecciones y enfoque Terapéutico del Sistema Nervioso: S.N-Unidad-2-temas-3-13..pdf

17 páginas

He publicado nuevos apuntes de 2º Afecciones y enfoque Terapéutico del Sistema Nervioso: S.N-unidad-1-temas-1-y-2.pdf

5 páginas
Anónimo

@Anónimo

He publicado nuevos apuntes de 2º Afecciones y enfoque Terapéutico del Sistema Nervioso: neuro.pdf

220 páginas
Anónimo

@Anónimo

He publicado nuevos apuntes de 2º Afecciones y enfoque Terapéutico del Sistema Nervioso: Apuntes-neuro.docx

word

He publicado nuevos apuntes de 2º Afecciones y enfoque Terapéutico del Sistema Nervioso: APUNTES-SN.pdf

114 páginas

apuntes

-

Apuntes muy buenos de afecciones del sistema nervioso

Añado aquí todos los temas de esta asignatura por documentos. Durante los temas, está marcado el contenido más importante y que suele salir en los exámenes (según los profesores).

Indice-sistema-nervioso-c.pdf
Tema-1-sistema-nervioso-c.pdf
Tema-2-sistema-nervioso-c.pdf
Tema-3-sistema-nervioso-c.pdf
Tema-4-sistema-nervioso-c.pdf
Tema-5-sistema-nervioso-c.pdf

apuntes

-

Apunts molt bons de afeccions del sistema nerviós

Ací deixem tots els temes d'aquesta assignatura per documents. Durant els temes, està marcat el contingut més important i que sol eixir en els exàmens (según els professors).

Index-sistema-nervios-v.pdf
Tema-1-sistema-nervios-v.pdf
Tema-2-sistema-nervios-v.pdf
Tema-3-sistema-nervios-v.pdf
Tema-4-sistema-nervios-v.pdf
Tema-5-sistema-nervios-v.pdf

He publicado nuevos apuntes de 2º Afecciones y enfoque Terapéutico del Sistema Nervioso: Teoria-completa-nervioso.pdf

64 páginas

He publicado nuevos apuntes de 2º Afecciones y enfoque Terapéutico del Sistema Nervioso: APUNTES-COMPLETO-NERVIOSO.pdf

137 páginas

He publicado nuevos apuntes de 2º Afecciones y enfoque Terapéutico del Sistema Nervioso: apuntes-neuro.pdf

135 páginas

apuntes

-

APUNTES NEURO

He publicado nuevos apuntes de 2º Afecciones y enfoque Terapéutico del Sistema Nervioso: APUNTES NEURO

TEMA-5-NEURO.pdf
TEMA-21-NEURO.pdf
TEMA-23-NEURO.pdf
TEMA-27-NEURO.pdf
TEMA-19-NEURO.pdf
TEMA-7-NEURO.pdf
Anónimo

@Anónimo

He publicado nuevos apuntes de 2º Afecciones y enfoque Terapéutico del Sistema Nervioso: APUNTES SISTEMA NERVIOS. UNIDAD 2.pdf

32 páginas

He publicado nuevos apuntes de 2º Afecciones y enfoque Terapéutico del Sistema Nervioso: Afecciones-SN-COMPLETO.-2024.pdf

145 páginas
Anónimo

@Anónimo

apuntes

-

APUNTES NERVIOSO COMPLETO

He publicado nuevos apuntes de 2º Afecciones y enfoque Terapéutico del Sistema Nervioso: APUNTES NERVIOSO COMPLETO

TEMAS-SISTEMA-NERVIOSO-Unidad-1.pdf
TEMAS-SISTEMA-NERVIOSO-Unidad-4.pdf
TEMAS-SISTEMA-NERVIOSO-Unidad-3.pdf

He publicado nuevos apuntes de 2º Afecciones y enfoque Terapéutico del Sistema Nervioso: TEMA-29-NEURO.pdf

7 páginas

He publicado nuevos apuntes de 2º Afecciones y enfoque Terapéutico del Sistema Nervioso: TEMA-28-NEURO.pdf

5 páginas

He publicado nuevos apuntes de 2º Afecciones y enfoque Terapéutico del Sistema Nervioso: TEMA-26-NEURO.pdf

8 páginas

He publicado nuevos apuntes de 2º Afecciones y enfoque Terapéutico del Sistema Nervioso: TEMA-25-NEURO.pdf

11 páginas

He publicado nuevos apuntes de 2º Afecciones y enfoque Terapéutico del Sistema Nervioso: TEMA-24-NEURO.pdf

10 páginas

He publicado nuevos apuntes de 2º Afecciones y enfoque Terapéutico del Sistema Nervioso: TEMA-22-NEURO.pdf

6 páginas

He publicado nuevos apuntes de 2º Afecciones y enfoque Terapéutico del Sistema Nervioso: TEMA-20-NEURO.pdf

8 páginas

He publicado nuevos apuntes de 2º Afecciones y enfoque Terapéutico del Sistema Nervioso: TEMA-18-NEURO.pdf

6 páginas

He publicado nuevos apuntes de 2º Afecciones y enfoque Terapéutico del Sistema Nervioso: TEMA-17-NEURO.pdf

12 páginas

He publicado nuevos apuntes de 2º Afecciones y enfoque Terapéutico del Sistema Nervioso: TEMA-16-NEURO.pdf

4 páginas

He publicado nuevos apuntes de 2º Afecciones y enfoque Terapéutico del Sistema Nervioso: TEMA-15-NEURO.pdf

5 páginas

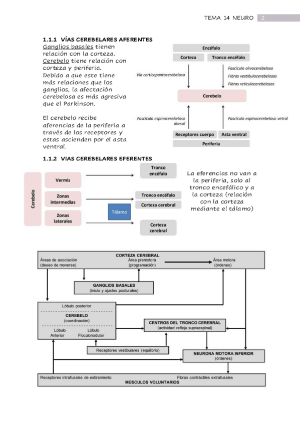
He publicado nuevos apuntes de 2º Afecciones y enfoque Terapéutico del Sistema Nervioso: TEMA-14-NEURO.pdf

8 páginas

He publicado nuevos apuntes de 2º Afecciones y enfoque Terapéutico del Sistema Nervioso: TEMA-4-NEURO.pdf

4 páginas

He publicado nuevos apuntes de 2º Afecciones y enfoque Terapéutico del Sistema Nervioso: TEMA-3-NEURO.pdf

6 páginas

He publicado nuevos apuntes de 2º Afecciones y enfoque Terapéutico del Sistema Nervioso: TEMA-2-NEURO.pdf

8 páginas

He publicado nuevos apuntes de 2º Afecciones y enfoque Terapéutico del Sistema Nervioso: TEMA-1-NEURO.pdf

4 páginas

He publicado nuevos apuntes de 2º Afecciones y enfoque Terapéutico del Sistema Nervioso: neuro-completo.pdf

159 páginas

He publicado nuevos apuntes de 2º Afecciones y enfoque Terapéutico del Sistema Nervioso: TEORIA-AFECCIONES-DEL-SISTEMA-NERVIOSO.pdf

207 páginas

He publicado nuevos apuntes de 2º Afecciones y enfoque Terapéutico del Sistema Nervioso: TEMARIO NEURO -COMPLETO.pdf

127 páginas

He publicado nuevos apuntes de 2º Afecciones y enfoque Terapéutico del Sistema Nervioso: Apuntes-TEORICA-completo.pdf

103 páginas