Todo
Apuntes
Ejercicios
Exámenes
Prácticas
Trabajos
chevron_left
chevron_right

Ejercicios resueltos y teoria

Miniatura no disponible
18 páginas

Ejercicios resueltos y teoria de la semana 6

Miniatura no disponible
13 páginas

Ejercicios resueltos y teoria semana 5

Miniatura no disponible
21 páginas

Diapositivas con ejercicios semana 2 del grupo B

Miniatura no disponible
13 páginas

He publicado nuevos apuntes de 1º Algebra Computacional: Examen-Final-2a-Convocatoria-20242025.pdf

2 páginas
Anónimo

@Anónimo

Examen Primera Convocatoria Algebra Computacional 2024-2025

2 páginas

He publicado nuevos apuntes de 1º Algebra Computacional: algebracompu2.pdf

17 páginas
Anónimo

@Anónimo

Examen parcial algebra computacional

1 página
Anónimo

@Anónimo

He publicado nuevos apuntes de 1º Algebra Computacional: PARCIAL-2025.pdf

1 página

He publicado nuevos apuntes de 1º Algebra Computacional: Examen-Parcial-20242025.pdf

1 página

He publicado nuevos examenes de 1º Algebra Computacional: ExamenFinalAlgebraCompu23-24.pdf

1 página

He publicado nuevos examenes de 1º Algebra Computacional: EXAMEN-RESUELTO-2024-B.pdf

7 páginas

apuntes

-

APUNTES_2024_B_ALGEBRA_COMPUTACIONAL

He publicado nuevos apuntes de 1º Algebra Computacional: APUNTES_2024_B_ALGEBRA_COMPUTACIONAL

TEMA12024.pdf
TEMA-3-2024-.pdf
TEMA-4-2024-.pdf

He publicado nuevos examenes de 1º Algebra Computacional: examen-algebra-2024.pdf

2 páginas

He publicado nuevos examenes de 1º Algebra Computacional: examen-parcial-algebra.pdf

1 página
Anónimo

@Anónimo

He publicado nuevos apuntes de 1º Algebra Computacional: PL-paso-a-paso-Grafica-y-Simplex.pdf

1 página

He publicado nuevos apuntes de 1º Algebra Computacional: Problemas-de-transporte.pdf

2 páginas

apuntes

-

Apuntes Álgebra

He publicado nuevos apuntes de 1º Algebra Computacional: Apuntes Álgebra

Tema-1Diagonalizacin-de-endomorfismos.pdf
Tema-2Teoria-de-codigos-lineales.pdf
Tema-4Metodo-Simplex.pdf
Tema-5Algebras-de-Boole.pdf

He publicado nuevos apuntes de 1º Algebra Computacional: Problemas-Algebra-Computacional.pdf

36 páginas

He publicado nuevos apuntes de 1º Algebra Computacional: Examenes-resueltos-Algebra-Computacional.pdf

10 páginas

He publicado nuevos apuntes de 1º Algebra Computacional: Apuntes-Algebra-Computacional.pdf

20 páginas

He publicado nuevos examenes de 1º Algebra Computacional: Algebra-Computacional-Prueba.pdf

9 páginas

He publicado nuevos trabajos de 1º Algebra Computacional: Algebra-Computacional-Trabajo.pdf

11 páginas
Anónimo

@Anónimo

He publicado nuevos apuntes de 1º Algebra Computacional: Algebra.pdf

15 páginas

He publicado nuevos apuntes de 1º Algebra Computacional: Apuntes-Completos.pdf

60 páginas
Anónimo

@Anónimo

apuntes

-

APUNTES TEORIA ALGEBRA COMPUTACIONAL

He publicado nuevos apuntes de 1º Algebra Computacional: APUNTES TEORIA ALGEBRA COMPUTACIONAL

SIMPLEX.pdf
teoria-de-codigos.pdf
RELACIONES-DE-ORDEN.pdf
TEORIA-DE-GRAFOS.pdf
Anónimo

@Anónimo

He publicado nuevos apuntes de 1º Algebra Computacional: PBSIMPLEXARTIFICIALalumnos.pdf

4 páginas
Anónimo

@Anónimo

He publicado nuevos apuntes de 1º Algebra Computacional: Definiciones-1.pdf

4 páginas
Anónimo

@Anónimo

He publicado nuevos apuntes de 1º Algebra Computacional: TEMA1-diagonalizacion.pdf

4 páginas

He publicado nuevos apuntes de 1º Algebra Computacional: SOLUCIONES-ALGEBRA-EXTRAORDINARIA-21-22.pdf

8 páginas
Anónimo

@Anónimo

apuntes

-

teoría completa temas 1 al 5

He publicado nuevos apuntes de 1º Algebra Computacional: teoría completa temas 1 al 5

tema3y4.pdf
tema5.pdf
tema1y2.pdf
Anónimo

@Anónimo

ejercicios

-

ejercicios resueltos todos

He publicado nuevos ejercicios de 1º Algebra Computacional: ejercicios resueltos todos

ejerciciosparte1.pdf
ejerciciosparte2.pdf
Anónimo

@Anónimo

ejercicios

-

enunciados de los problemas (T1 al T5)

He publicado nuevos ejercicios de 1º Algebra Computacional: enunciados de los problemas (T1 al T5)

tema5problemas.pdf
tema1problemas.pdf
tema3problemas.pdf
tema4problemas.pdf
tema2problemas.pdf
Anónimo

@Anónimo

He publicado nuevos examenes de 1º Algebra Computacional: a8e88bf7-23ed-4859-8627-5530fe9fd84c.pdf

1 página
Anónimo

@Anónimo

He publicado nuevos examenes de 1º Algebra Computacional: 0acff06d-873f-4c3a-94b5-0e76ca1b16d4.pdf

2 páginas
Anónimo

@Anónimo

He publicado nuevos examenes de 1º Algebra Computacional: 5a0009f4-70c0-4275-8497-93136b61fcfc.pdf

2 páginas
Anónimo

@Anónimo

He publicado nuevos examenes de 1º Algebra Computacional: RESOLUCIONPROBLEMASSEGUNDOCONTROL2015.pdf

4 páginas
Anónimo

@Anónimo

He publicado nuevos examenes de 1º Algebra Computacional: RESOLUCIONPROBLEMASPRIMERCONTROL2015.pdf

4 páginas
Anónimo

@Anónimo

He publicado nuevos examenes de 1º Algebra Computacional: RESOLUCIONPROBLEMASCONTROL22014.pdf

5 páginas
Anónimo

@Anónimo

He publicado nuevos examenes de 1º Algebra Computacional: RESOLUCIONPROBLEMASCONTROL12014.pdf

5 páginas
Anónimo

@Anónimo

He publicado nuevos examenes de 1º Algebra Computacional: RESOLUCION-EXAMENcontrol22016.pdf

5 páginas
Anónimo

@Anónimo

He publicado nuevos examenes de 1º Algebra Computacional: RESOLUCION-EXAMENcontrol12016.pdf

6 páginas

He publicado nuevos practicas de 1º Algebra Computacional: Informe-Marketing.docx

word

He publicado nuevos ejercicios de 1º Algebra Computacional: problemas-diagonalizacion-2021.pdf

4 páginas

He publicado nuevos ejercicios de 1º Algebra Computacional: seminarios-12-marzo-2020.pdf

4 páginas

He publicado nuevos ejercicios de 1º Algebra Computacional: codigos-lineales-problemas-2020.pdf

5 páginas

He publicado nuevos apuntes de 1º Algebra Computacional: Problemas-tema-1-cuarentena.pdf

4 páginas

He publicado nuevos ejercicios de 1º Algebra Computacional: problemas-cuarentena-2020.pdf

6 páginas

He publicado nuevos examenes de 1º Algebra Computacional: final-junio-2021-algebrac.jpg

Imagen

He publicado nuevos examenes de 1º Algebra Computacional: final-junio-2021-algebra.jpg

Imagen

He publicado nuevos examenes de 1º Algebra Computacional: soluciones-control-1-2021.pdf

3 páginas

He publicado nuevos examenes de 1º Algebra Computacional: 2oexamen-parcial.pdf

2 páginas

He publicado nuevos examenes de 1º Algebra Computacional: 1oexamen-parcial.pdf

2 páginas

He publicado nuevos apuntes de 1º Algebra Computacional: Algebra-Computacional-JM.pdf

95 páginas
Anónimo

@Anónimo

He publicado nuevos apuntes de 1º Algebra Computacional: IMG20210622181514.pdf

2 páginas
Anónimo

@Anónimo

examenes

-

Controles B - 2020/2021

He publicado nuevos examenes de 1º Algebra Computacional: Controles B - 2020/2021

2do-ControlAlgebraComputacional2021.pdf
1er-Control-AlgebraComputacional2021.pdf
Anónimo

@Anónimo

He publicado nuevos examenes de 1º Algebra Computacional: Examenes.pdf

4 páginas

Apuntes + Resumen Ejercicios + Ejercicios

137 páginas

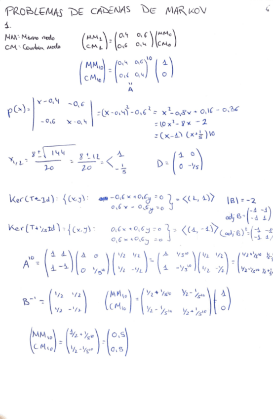
He publicado nuevos ejercicios de 1º Algebra Computacional: problemas-de-cadenas-de-markov.pdf

3 páginas

He publicado nuevos ejercicios de 1º Algebra Computacional: ejercicios-resueltos-diagonalizacion.pdf

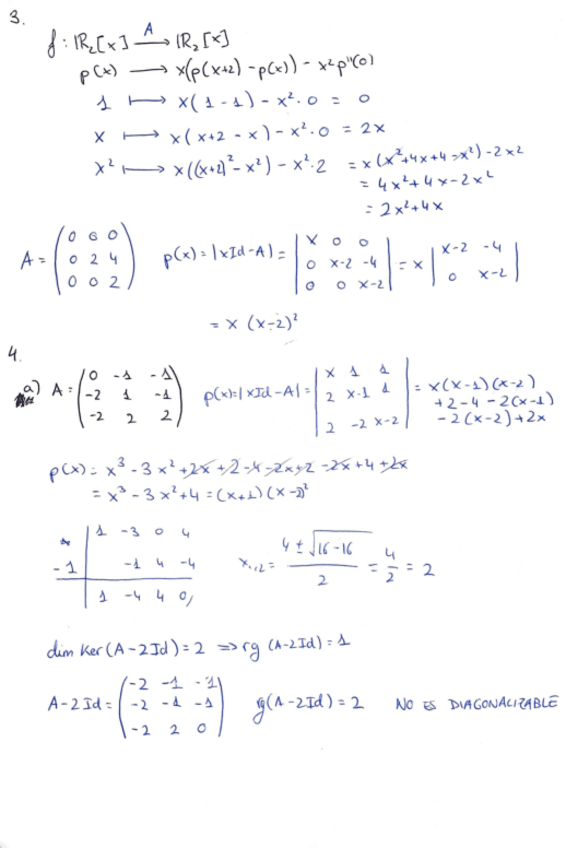
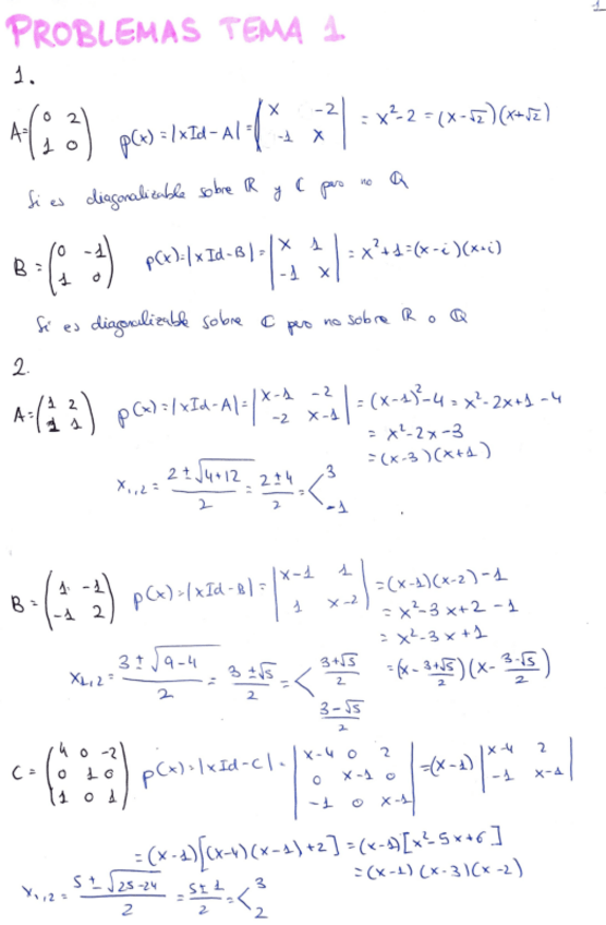
10 páginas