Àlgebra i Geometria

chevron_left
chevron_right
Todo
Apuntes
Ejercicios
Exámenes
Trabajos
chevron_left
chevron_right

He publicado nuevos apuntes de 1º Àlgebra i Geometria: T6-Transformada-Laplac.pdf

5 páginas
Anónimo

@Anónimo

He publicado nuevos apuntes de 1º Àlgebra i Geometria: T5-Equacions-diferencials.pdf

6 páginas
Anónimo

@Anónimo

He publicado nuevos apuntes de 1º Àlgebra i Geometria: T4-Aplicacions-lineals.pdf

7 páginas
Anónimo

@Anónimo

He publicado nuevos apuntes de 1º Àlgebra i Geometria: T3-Espais-vectorials.pdf

4 páginas

He publicado nuevos apuntes de 1º Àlgebra i Geometria: T2-Matrius-determinants-i-sistemes.pdf

5 páginas

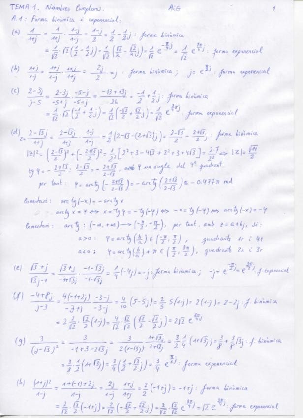
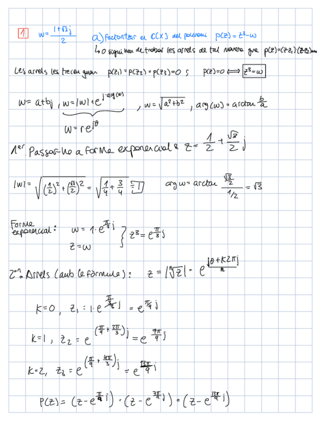
He publicado nuevos apuntes de 1º Àlgebra i Geometria: T1-Nombres-complexos.pdf

6 páginas
Anónimo

@Anónimo

Formulario Academia Álgebra & GEO GTIAE 240711 año 2024 - 2025

1 página

He publicado nuevos apuntes de 1º Àlgebra i Geometria: Algebra-y-Geometria.pdf

22 páginas

6.Transformadas de Laplace

6 páginas

5. Ecuaciones diferenciales ordinarias

7 páginas

4. Aplicaciones lineales

10 páginas

He publicado nuevos apuntes de 1º Àlgebra i Geometria: Apuntes-Numeros-Complejos.pdf

2 páginas

Formulas y teoria del T5: Ecuaciones diferenciales

1 página

Formulas y teoria del T6: Transformada de Laplace

1 página

Formulas y teoria del T1: Números complejos

1 página

Formulas y teoria del T4: Aplicaciones lineales

2 páginas

He publicado nuevos apuntes de 1º Àlgebra i Geometria: EXERCICIS-Equacions-diferencials-amb-passos.pdf

20 páginas

He publicado nuevos examenes de 1º Àlgebra i Geometria: CONTROL-1-algebra.pdf

14 páginas

He publicado nuevos apuntes de 1º Àlgebra i Geometria: APUNTS-Equacions-diferencials-EDOs.pdf

20 páginas

He publicado nuevos examenes de 1º Àlgebra i Geometria: EXAMEN-EFQ-ALGEBRA.pdf

38 páginas

He publicado nuevos examenes de 1º Àlgebra i Geometria: CONTROL-2-Edos-ALGEBRA.pdf

6 páginas

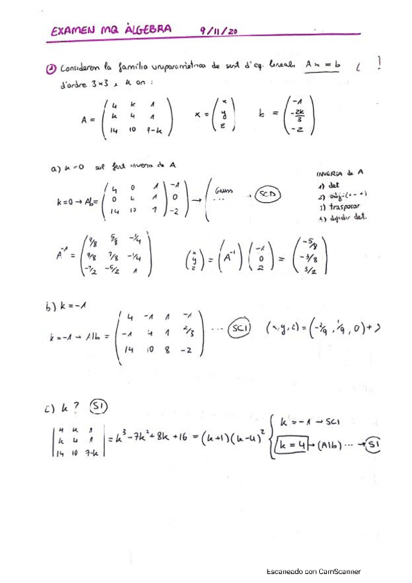
He publicado nuevos examenes de 1º Àlgebra i Geometria: EXAMENS-MQ-ALGEBRA.pdf

29 páginas

He publicado nuevos apuntes de 1º Àlgebra i Geometria: ESPAIS VECTORIALS, apunts.pdf

9 páginas

He publicado nuevos apuntes de 1º Àlgebra i Geometria: TRANSFORMADA DE LAPLACE, apunts.pdf

15 páginas

He publicado nuevos apuntes de 1º Àlgebra i Geometria: EDOS, apunts.pdf

20 páginas

He publicado nuevos apuntes de 1º Àlgebra i Geometria: APLICACIONS LINEAL, apunts.pdf

13 páginas

ejercicios

-

Solucions EDOs

He publicado nuevos ejercicios de 1º Àlgebra i Geometria: Solucions EDOs

EDOS-A1A2A5.pdf
EDOS-A7A10B6.pdf
EDOS-B1B20C7C13C15.pdf
Resolucio-Ex-EDOs--A1-20.pdf
Resolucio-Ex-EDOs-B-235610-13.pdf

He publicado nuevos ejercicios de 1º Àlgebra i Geometria: Solucions-Laplace.pdf

21 páginas

He publicado nuevos examenes de 1º Àlgebra i Geometria: Control-1-AiG.pdf

1 página

He publicado nuevos examenes de 1º Àlgebra i Geometria: Control-2-AiG.pdf

1 página

He publicado nuevos examenes de 1º Àlgebra i Geometria: FQ-AlgebraQT2021.pdf

2 páginas
Anónimo

@Anónimo

Finales de 2015-2018

49 páginas

examen resuelto de AiG

4 páginas

apuntes

-

Algebra i Geometria

He publicado nuevos apuntes de 1º Àlgebra i Geometria: Algebra i Geometria

FQ-AiG.pdf
examens-AiG.pdf
Anónimo

@Anónimo

examenes

-

Exámenes resueltos de otros años

He publicado nuevos examenes de 1º Àlgebra i Geometria: Exámenes resueltos de otros años

FQ-1415-1516-1617-1718-Q1-Q2.pdf
C1-1A5-12-Oct-2018.pdf
MQ-1415161718-Q1-Q2.pdf
control-1-AiG-151018-1pg.pdf
AiG-C2-1415-1516-1617-1718.pdf
control-1-AiG-151018-resolt.pdf

He publicado nuevos apuntes de 1º Àlgebra i Geometria: ag.pdf

15 páginas
Anónimo

@Anónimo

ejercicios

-

Exercises

He publicado nuevos ejercicios de 1º Àlgebra i Geometria: Exercises

EEVV-AL-RESOLTS-1819-Q1.pdf
DOSSIER-AiG-EETAC-1819-Q1-041118-PART-II.pdf
DOSSIER-AiG-EETAC-1819-Q1-110918-PART-I.pdf
Resolucio-Ex-Nombr-Complexos.pdf
Anónimo

@Anónimo

examenes

-

Exams

He publicado nuevos examenes de 1º Àlgebra i Geometria: Exams

AIG-C1-1314-1516-1617-1718.pdf
FQ-1415-1516-1617-1718-Q1-Q2.pdf
MAT-SEL-RESOLTS-1819-Q1.pdf
MQ-1415161718-Q1-Q2.pdf
control-1-AiG-151018-resolt.pdf
control-1-AiG-151018-1pg.pdf
Anónimo

@Anónimo

trabajos

-

ADs

He publicado nuevos trabajos de 1º Àlgebra i Geometria: ADs

AD1ProgramacioLineal1819QT.pdf
AD2MetodesNum1819-QT.pdf
Anónimo

@Anónimo

apuntes

-

FINAL QUADRI ÀLGEBRA 2021 + SOLUCIÓ

He publicado nuevos apuntes de 1º Àlgebra i Geometria: FINAL QUADRI ÀLGEBRA 2021 + SOLUCIÓ

EXAMEN-FQ-200121-RESOLT-vf.pdf
FQ-200121-AiG-1pg-vf.pdf
Anónimo

@Anónimo

apuntes

-

CONTROL 1 ÀLGEBRA 2020 + SOLUCIÓ

He publicado nuevos apuntes de 1º Àlgebra i Geometria: CONTROL 1 ÀLGEBRA 2020 + SOLUCIÓ

control-1-1A1-1AT-resolt-20-21.pdf
enunciatiresolucioC1grupA3.pdf
Resolucio-examen-Grup-A2.pdf

He publicado nuevos apuntes de 1º Àlgebra i Geometria: LaPlace.pdf

10 páginas

He publicado nuevos apuntes de 1º Àlgebra i Geometria: Equacions-diferencials.pdf

21 páginas

He publicado nuevos apuntes de 1º Àlgebra i Geometria: Aplicacions-lineals.pdf

14 páginas

He publicado nuevos apuntes de 1º Àlgebra i Geometria: Espais-vectorials.pdf

7 páginas

He publicado nuevos apuntes de 1º Àlgebra i Geometria: Matrius.pdf

9 páginas

He publicado nuevos apuntes de 1º Àlgebra i Geometria: Nombres-complexos.pdf

8 páginas
Anónimo

@Anónimo

He publicado nuevos apuntes de 1º Àlgebra i Geometria: quadre-resum-complexos.pdf

2 páginas

He publicado nuevos trabajos de 1º Àlgebra i Geometria: Activitat-dirigida-1.docx

word
Anónimo

@Anónimo

He publicado nuevos apuntes de 1º Àlgebra i Geometria: Tema3_Sistemas Vectoriales.pdf

43 páginas
Anónimo

@Anónimo

He publicado nuevos apuntes de 1º Àlgebra i Geometria: Tema6_Endomorfismos y Diagonalizacion.pdf

22 páginas
Anónimo

@Anónimo

He publicado nuevos apuntes de 1º Àlgebra i Geometria: Tema5_Aplicaciones Lineales.pdf

30 páginas

He publicado nuevos apuntes de 1º Àlgebra i Geometria: Tema 6. Autovalores y autovectores..pdf

26 páginas

He publicado nuevos apuntes de 1º Àlgebra i Geometria: Tema 5. Ortogonalidad..pdf

34 páginas

He publicado nuevos apuntes de 1º Àlgebra i Geometria: Tema 2. Números complejos..pdf

22 páginas

He publicado nuevos apuntes de 1º Àlgebra i Geometria: Tema 1. Cónicas y cuádricas..pdf

28 páginas

He publicado nuevos apuntes de 1º Àlgebra i Geometria: Resumen matemáticas 1.pdf

12 páginas

He publicado nuevos apuntes de 1º Àlgebra i Geometria: Tema 3. Matrices. Sistemas de ecuaciones lineales..pdf

38 páginas

He publicado nuevos apuntes de 1º Àlgebra i Geometria: Tema 4. El espacio vectorial R^n..pdf

32 páginas

apuntes

-

Apuntes àlgebra.

He publicado nuevos apuntes de 1º Àlgebra i Geometria: Apuntes àlgebra.

Tema 1 - Nombres Complexos.pdf
Tema 2 - Matrius.pdf