Todo
Apuntes
Ejercicios
Exámenes
chevron_left
chevron_right

He publicado nuevos examenes de 2º Álgebra I: Teorico-Diciembre.pdf

1 página

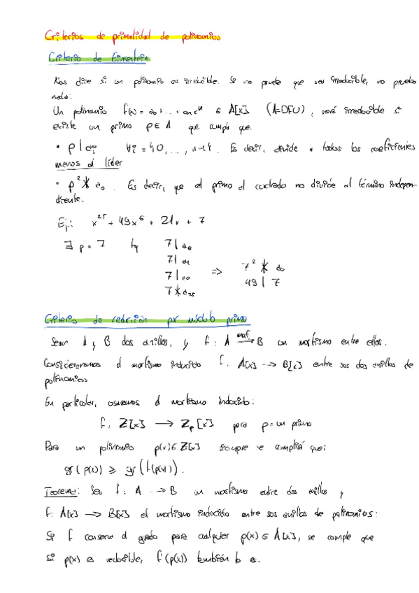
He publicado nuevos apuntes de 2º Álgebra I: polinomios.pdf

1 página

He publicado nuevos apuntes de 2º Álgebra I: matrices.pdf

1 página

He publicado nuevos apuntes de 2º Álgebra I: gruposabelianos.pdf

1 página

He publicado nuevos examenes de 2º Álgebra I: Examen20141.pdf

1 página

He publicado nuevos examenes de 2º Álgebra I: ExamenSeptiembre2013.pdf

1 página

He publicado nuevos examenes de 2º Álgebra I: Examen-Nov-2013.pdf

2 páginas

He publicado nuevos apuntes de 2º Álgebra I: euclideos-cuadraticos-resuelto.pdf

1 página

He publicado nuevos apuntes de 2º Álgebra I: euclideos-cuadraticos.pdf

1 página

He publicado nuevos apuntes de 2º Álgebra I: ALGEBRA-I.pdf

4 páginas

ejercicios

-

Cuestionarios Solucion 2023 Algebra I

Cuestionarios 1-8 y soluciones

Cuestionarios-1-8.pdf
Cuestionarios-1-8.pdf
Cuestionarios-1-8-Soluciones.pdf
Cuestionarios-1-8-Soluciones.pdf

He publicado nuevos examenes de 2º Álgebra I: Parcial-Algebra-I-Solucion-2023.pdf

3 páginas

He publicado nuevos examenes de 2º Álgebra I: Final-Ordinaria-19-20.pdf

10 páginas

He publicado nuevos examenes de 2º Álgebra I: Final-Extraordinaria-19-20.pdf

5 páginas

Resumen del tema en las primeras hojas

62 páginas

ejercicios

-

Tema 3 Divisibilidad en Dominios Euclídeos

Relacion 4 y 5. Amarillo=fácil, verde=medio, azul=dificil

Relacion-4.pdf
Relacion-4.pdf

He publicado nuevos examenes de 2º Álgebra I: SOLUCIONESExamen.pdf

12 páginas

apuntes

-

Álgebra I

He publicado nuevos apuntes de 2º Álgebra I: Álgebra I

Anillos-Conmutativos.pdf
Anillos-Conmutativos.pdf
Teoria-de-Conjuntos-y-Anillos-Conmutativ.pdf
Teoria-de-Conjuntos-y-Anillos-Conmutativ.pdf
Dominios-Euclideos.pdf
Dominios-Euclideos.pdf

examenes

-

EXAMENES RESUELTOS

He publicado nuevos examenes de 2º Álgebra I: EXAMENES RESUELTOS

ENE18solucion.pdf
ENE18solucion.pdf
ENE19solucion.pdf
ENE19solucion.pdf
FEB17solucion.pdf
FEB17solucion.pdf

He publicado nuevos apuntes de 2º Álgebra I: Nuevo-doc-2020-01-07-10.pdf

26 páginas

examenes

-

Parcial/Final/Extra 2017/18

He publicado nuevos examenes de 2º Álgebra I: Parcial/Final/Extra 2017/18

Enero-2018.pdf
Enero-2018.pdf
Febrero-2018.pdf
Febrero-2018.pdf
AI-nov-2017.pdf
AI-nov-2017.pdf

ejercicios

-

Relaciones de ejercicios

He publicado nuevos ejercicios de 2º Álgebra I: Relaciones de ejercicios

Rel-4.pdf
Rel-4.pdf
Rel-1.pdf
Rel-1.pdf
Rel-3.pdf
Rel-3.pdf

apuntes

-

Teoría completa (extensa/resumen)

He publicado nuevos apuntes de 2º Álgebra I: Teoría completa (extensa/resumen)

AI-Teoria-extensa-completa.pdf
AI-Teoria-extensa-completa.pdf
AI-Teoria-compacta-completa.pdf
AI-Teoria-compacta-completa.pdf
Anónimo

@Anónimo

apuntes

-

Relaciones de ejercicios

He publicado nuevos apuntes de 2º Álgebra I: Relaciones de ejercicios

Ejercicios8B.pdf
Ejercicios8B.pdf
Ejercicios2.pdf
Ejercicios2.pdf
Ejercicios7B.pdf
Ejercicios7B.pdf
Anónimo

@Anónimo

apuntes

-

Apuntes Álgebra I

He publicado nuevos apuntes de 2º Álgebra I: Apuntes Álgebra I

Apuntes.pdf
Apuntes.pdf
MCD-MCM.pdf
MCD-MCM.pdf
Sumas-productos-potencias.pdf
Sumas-productos-potencias.pdf

He publicado nuevos apuntes de 2º Álgebra I: Algebra.pdf

20 páginas

He publicado nuevos apuntes de 2º Álgebra I: TEORIA-DE-ALGEBRA.pdf

3 páginas

ejercicios

-

EJER ALGEBRA

He publicado nuevos ejercicios de 2º Álgebra I: EJER ALGEBRA

rel2-con-marca-de-agua-con-marca-de-agua.pdf
rel2-con-marca-de-agua-con-marca-de-agua.pdf
rel4-con-marca-de-agua-con-marca-de-agua.pdf
rel4-con-marca-de-agua-con-marca-de-agua.pdf
rel3-con-marca-de-agua-con-marca-de-agua.pdf
rel3-con-marca-de-agua-con-marca-de-agua.pdf

He publicado nuevos apuntes de 2º Álgebra I: Diagonalizacion-.pdf

pdf

He publicado nuevos ejercicios de 2º Álgebra I: ALGEBRA-EJERCICIOS-RESUELTOS.pdf

7 páginas

He publicado nuevos apuntes de 2º Álgebra I: Polinomios.pdf

4 páginas

He publicado nuevos apuntes de 2º Álgebra I: Cuentas.pdf

6 páginas