Álgebra I
Resumen del tema 3 de Álgebra I: Divisibilidad en dominios euclideos
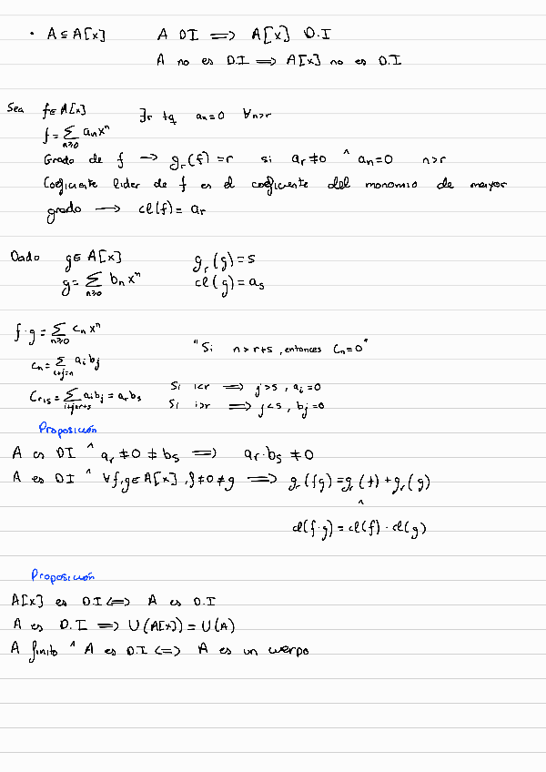
Dejo por aquí el tema 4 de Álgebra I: Dominios de Integridad.
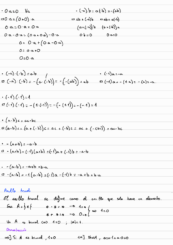
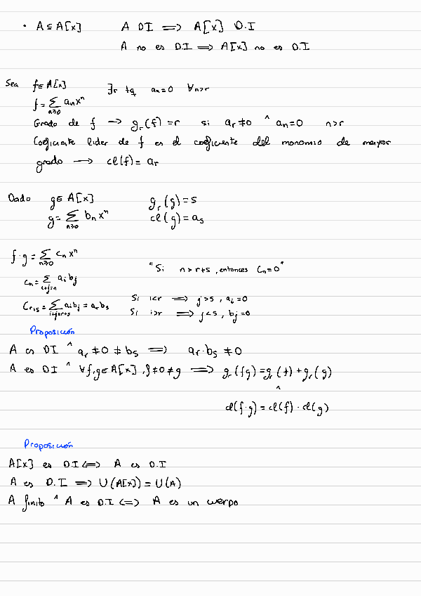
Resumen del tema de anillos. Contiene: - Anillos conmutativos - Teorema de Euclides - Restos - Unidades - Subanillos - Anillos enteros cuadráticos - Sumas y productos reiterados - Polinomios - Homomorfismos
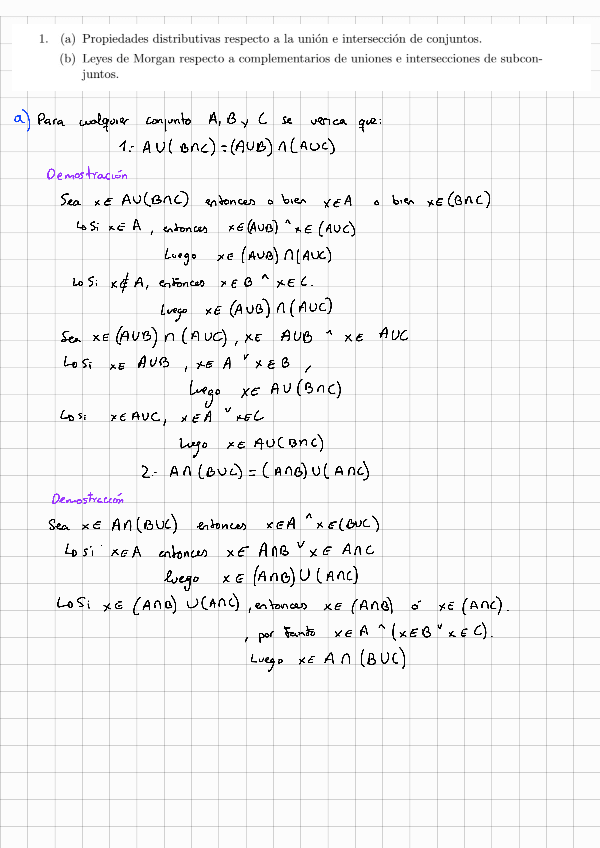
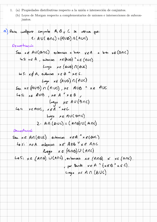
Resumen del tema de lenguaje básico de conjuntos de Álgebra I que contiene: - Conjuntos - Proposiciones matemáticas. Demostraciones - Aplicaciones - Relaciones de equivalencia
resolución de ejercicios de la relación 1.4 de Álgebra I con Antonio Martínez Cegarra
examenes
-
Parciales
He publicado nuevos examenes de 1º Álgebra I: Parciales
INICIO DE CURSO ÁLGEBRA I ACADEMIA UNIVERSITARIA FORMACIÓN MANUEL POZO Clases modalidad online y presencial. Todas tus CLASES GRABADAS PARA QUE PUEDAS VISUALIZARLAS HASTA EL DÍA DEL EXAMEN Resolución de todos tus ejercicios y exámenes de convocatorias anteriores. Profesores especialidados y temario propio. Acceso a PLATAFORMA VIRTUAL CON CONTENIDO EXCLUSIVO ¡Solicita tu clase de prueba en grupo sin compromiso!

examenes
-
Examenes
He publicado nuevos examenes de 1º Álgebra I: Examenes
procedimientos prácticos explicados por pasos
He publicado nuevos apuntes de 1º Álgebra I: Apuntes-algebra-I-temas-1-y-2.pdf
Preguntas teóricas para el examen extraordinario de 2025
He publicado nuevos ejercicios de 1º Álgebra I: Algebra-I.-Matematicas.-GRABACION.mov
He publicado nuevos apuntes de 1º Álgebra I: Tema-2-Anillos-Conmutativos.pdf
He publicado nuevos apuntes de 1º Álgebra I: Tema-1-El-lenguaje-de-los-conjuntos.pdf
ejercicios
-
Relaciones
He publicado nuevos ejercicios de 1º Álgebra I: Relaciones
ejercicios
-
Cuestionarios
He publicado nuevos ejercicios de 1º Álgebra I: Cuestionarios
apuntes
-
ApuntesÁlgebra_I
He publicado nuevos apuntes de 1º Álgebra I: ApuntesÁlgebra_I
He publicado nuevos examenes de 1º Álgebra I: RESUELTO-Parcial-1-2022.pdf
apuntes
-
Todos los Apuntes con Ejemplos
He publicado nuevos apuntes de 1º Álgebra I: Todos los Apuntes con Ejemplos
He publicado nuevos apuntes de 1º Álgebra I: parcial-1-ejercicios-RESUELTO.pdf
He publicado nuevos apuntes de 1º Álgebra I: parcial-2-ejercicios-RESUELTO.pdf
He publicado nuevos apuntes de 1º Álgebra I: parcial-1-cuestiones-RESUELTO.pdf
He publicado nuevos apuntes de 1º Álgebra I: parcial-2-cuestiones-RESUELTO.pdf
He publicado nuevos ejercicios de 1º Álgebra I: Cuestionario-4-Soluciones.pdf
He publicado nuevos ejercicios de 1º Álgebra I: ejerciciosdiofanticasresueltos.pdf
He publicado nuevos ejercicios de 1º Álgebra I: Cuestionario-3-Soluciones.pdf
He publicado nuevos ejercicios de 1º Álgebra I: Cuestionario-2-Soluciones.pdf
He publicado nuevos ejercicios de 1º Álgebra I: Cuestionario-1-Soluciones.pdf
He publicado nuevos apuntes de 1º Álgebra I: Notas-practica-algebra.pdf
He publicado nuevos apuntes de 1º Álgebra I: Final-algebra-demostraciones.pdf
He publicado nuevos apuntes de 1º Álgebra I: Esquemas-demostraciones-ALGEBRA-I.pdf
He publicado nuevos apuntes de 1º Álgebra I: Demostraciones-final-para-el-10.pdf
examenes
-
Parcial 2
He publicado nuevos examenes de 1º Álgebra I: Parcial 2
apuntes
-
Parcial 1
He publicado nuevos apuntes de 1º Álgebra I: Parcial 1
apuntes
-
Cuestionarios y relaciones con anotaciones
He publicado nuevos apuntes de 1º Álgebra I: Cuestionarios y relaciones con anotaciones
apuntes
-
Álgebra 1
He publicado nuevos apuntes de 1º Álgebra I: Álgebra 1
He publicado nuevos apuntes de 1º Álgebra I: Algebra-I-Teoria-Final.pdf