Álgebra I
Todo
Apuntes
chevron_left
chevron_right
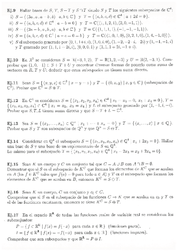
He publicado nuevos apuntes de 1º Álgebra I: Ejercicios-Algebra-Lineal.pdf
apuntes
-
Álgebra I
He publicado nuevos apuntes de 1º Álgebra I: Álgebra I
¡Estás al día!
Has visto todos los archivos
He publicado nuevos apuntes de 1º Álgebra I: Ejercicios-Algebra-Lineal.pdf
apuntes
-
Álgebra I
He publicado nuevos apuntes de 1º Álgebra I: Álgebra I
¡Estás al día!
Has visto todos los archivos