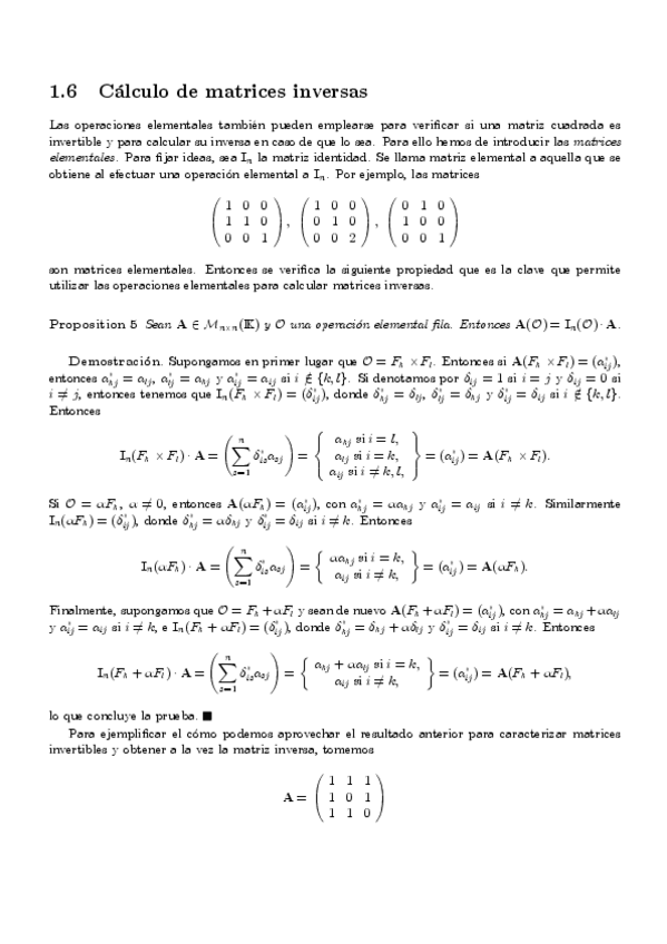
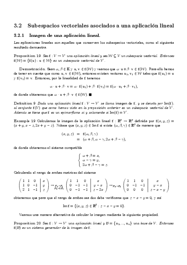
Algebra Linea

chevron_left
chevron_right
Todo
Apuntes
chevron_left
chevron_right

He publicado nuevos apuntes de 2º Algebra Linea: 10.-Guia-No.-10-Funciones-polinomicas.pdf

11 páginas

He publicado nuevos apuntes de 2º Algebra Linea: 9.-Guia-No.-9-Algebra-de-funciones.pdf

11 páginas

He publicado nuevos apuntes de 2º Algebra Linea: 8.-Guia-No.-8-Funciones.pdf

14 páginas
Anónimo

@Anónimo

He publicado nuevos apuntes de 1º Algebra Linea: Algebra-lineal-5.pdf

1 página
Anónimo

@Anónimo

He publicado nuevos apuntes de 1º Algebra Linea: Algebra-lineal-4.pdf

1 página
Anónimo

@Anónimo

He publicado nuevos apuntes de 1º Algebra Linea: Algebra-lineal-3.pdf

1 página
Anónimo

@Anónimo

He publicado nuevos apuntes de 1º Algebra Linea: Algebra-lineal-2.pdf

1 página
Anónimo

@Anónimo

He publicado nuevos apuntes de 1º Algebra Linea: Algebra-lineal-1.pdf

1 página
¡Estás al día!

¡Estás al día!

Has visto todos los archivos