Álgebra Lineal II

chevron_left
chevron_right
Todo
Apuntes
Ejercicios
Exámenes
chevron_left
chevron_right

examenes

-

Exámenes

He publicado nuevos examenes de 1º Álgebra Lineal II: Exámenes

Enunciados-Bloque-I-Matrices-de-Jordan.pdf
Solucionario-Bloque-I-Matrices-de-Jordan.pdf
Enunciados-Bloque-II-Formas-bilineales-cuadraticas-y-espacios-euclideos.pdf
Solucionario-Bloque-II-Formas-bilineales-cuadraticas-y-espacios-euclideos.pdf

ejercicios

-

Tema 11 Endomorfismos autoadjuntos y normales

He publicado nuevos ejercicios de 1º Álgebra Lineal II: Tema 11 Endomorfismos autoadjuntos y normales

Enunciados.pdf
Solucionario.pdf

ejercicios

-

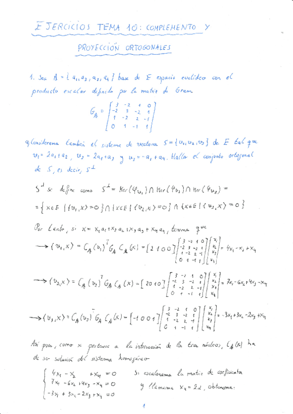
Tema 10: Complemento y proyección ortogonal

He publicado nuevos ejercicios de 1º Álgebra Lineal II: Tema 10: Complemento y proyección ortogonal

Enunciados.pdf
Solucionario.pdf

ejercicios

-

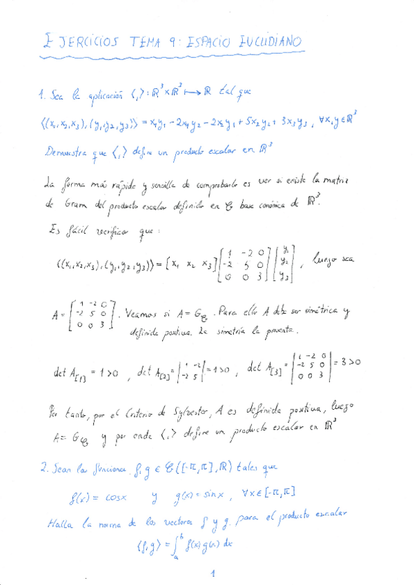
Tema 9: Espacios euclídeos

He publicado nuevos ejercicios de 1º Álgebra Lineal II: Tema 9: Espacios euclídeos

Enunciados.pdf
Solucionario.pdf

ejercicios

-

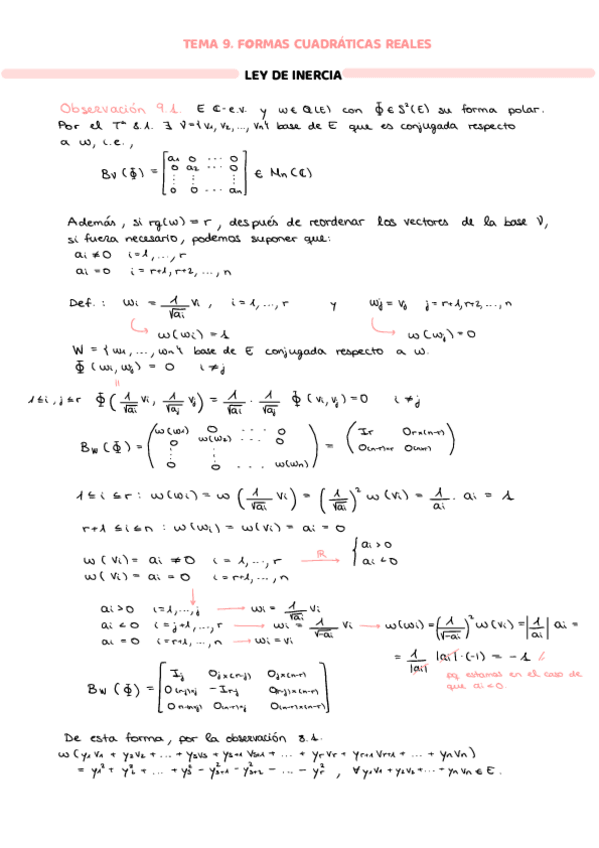
Tema 8: Formas cuadráticas reales

He publicado nuevos ejercicios de 1º Álgebra Lineal II: Tema 8: Formas cuadráticas reales

Enunciados.pdf
Solucionario.pdf

ejercicios

-

Tema 7: Diagonalización de formas cuadráticas

He publicado nuevos ejercicios de 1º Álgebra Lineal II: Tema 7: Diagonalización de formas cuadráticas

Enunciados.pdf
Solucionario.pdf

ejercicios

-

Tema 6: Formas cuadráticas

He publicado nuevos ejercicios de 1º Álgebra Lineal II: Tema 6: Formas cuadráticas

Enunciados.pdf
Solucionario.pdf

apuntes

-

Resumen temario

He publicado nuevos apuntes de 1º Álgebra Lineal II: Resumen temario

Resumen-asignatura.pdf
Bloque-I-Diagonalizacion-y-Formas-de-Jordan.pdf
Bloque-II-Formas-bilineales-y-cuadraticas.pdf

ejercicios

-

Tema 5: Formas bilineales

He publicado nuevos ejercicios de 1º Álgebra Lineal II: Tema 5: Formas bilineales

Enunciados.pdf
Solucionario.pdf

ejercicios

-

Tema 4: Forma canónica de Jordan para f

He publicado nuevos ejercicios de 1º Álgebra Lineal II: Tema 4: Forma canónica de Jordan para f

Enunciados.pdf
Solucionario.pdf

ejercicios

-

Tema 3: Forma canónica de Jordan, para f nilpotente

He publicado nuevos ejercicios de 1º Álgebra Lineal II: Tema 3: Forma canónica de Jordan, para f nilpotente

Enunciados.pdf
Solucionario.pdf

ejercicios

-

Tema 2: Polinomio mínimo y descomposición primaria

He publicado nuevos ejercicios de 1º Álgebra Lineal II: Tema 2: Polinomio mínimo y descomposición primaria

Enunciados.pdf
Solucionario.pdf

ejercicios

-

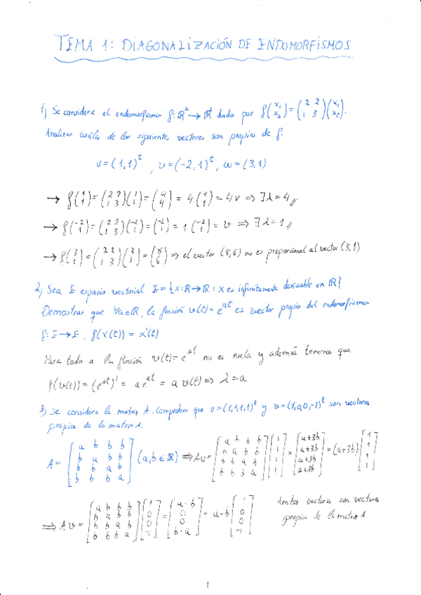
Tema 1: Diagonalización de endomorfismos

He publicado nuevos ejercicios de 1º Álgebra Lineal II: Tema 1: Diagonalización de endomorfismos

Solucionario.pdf
Enunciados.pdf

He publicado nuevos apuntes de 1º Álgebra Lineal II: Formas-y-endomorfismos.pdf

71 páginas

He publicado nuevos apuntes de 1º Álgebra Lineal II: Jordan.pdf

64 páginas

He publicado nuevos apuntes de 1º Álgebra Lineal II: Tema-2.-Diagonalizacion-De-Endomorfismos.pdf

9 páginas

He publicado nuevos apuntes de 1º Álgebra Lineal II: Tema-10.-Espacio-Euclideo.pdf

11 páginas

He publicado nuevos apuntes de 1º Álgebra Lineal II: Tema-7.-Formas-Cuadraticas.pdf

6 páginas

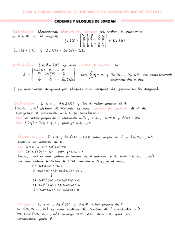
He publicado nuevos apuntes de 1º Álgebra Lineal II: Tema-4.-Forma-Canonica-De-Jordan-De-Un-Endomorfismo-Nilpotente.pdf

9 páginas

He publicado nuevos apuntes de 1º Álgebra Lineal II: Tema-3.-Polinomio-Minimo.-Descomposicion-Primaria.pdf

6 páginas

He publicado nuevos apuntes de 1º Álgebra Lineal II: Tema-11.-Complemento-y-proyeccion-ortogonal.pdf

5 páginas

He publicado nuevos apuntes de 1º Álgebra Lineal II: Tema-9.-Formas-cuadraticas-reales.pdf

10 páginas

He publicado nuevos apuntes de 1º Álgebra Lineal II: Tema-8.-Diagonalizacion-de-formas-cuadraticas.pdf

4 páginas

He publicado nuevos apuntes de 1º Álgebra Lineal II: Tema-5.-Forma-Canonica-De-Jordan-De-Un-Endomorfismo.pdf

7 páginas

He publicado nuevos apuntes de 1º Álgebra Lineal II: Tema-6.-Formas-Bilineales.pdf

4 páginas

He publicado nuevos apuntes de 1º Álgebra Lineal II: Tema-1.-Preliminares.pdf

2 páginas

He publicado nuevos apuntes de 1º Álgebra Lineal II: ALIIResumenT12.pdf

4 páginas

He publicado nuevos apuntes de 1º Álgebra Lineal II: ALIIResumenT11.pdf

4 páginas

He publicado nuevos apuntes de 1º Álgebra Lineal II: ALIIResumenT8.pdf

2 páginas

He publicado nuevos apuntes de 1º Álgebra Lineal II: ALIIResumenT10.pdf

5 páginas

He publicado nuevos apuntes de 1º Álgebra Lineal II: ALIIResumenT6.pdf

4 páginas

He publicado nuevos apuntes de 1º Álgebra Lineal II: ALIIResumenT7.pdf

4 páginas

He publicado nuevos apuntes de 1º Álgebra Lineal II: ALIIResumen-T13.pdf

4 páginas

He publicado nuevos apuntes de 1º Álgebra Lineal II: ALII-Resumen-T4.pdf

8 páginas

He publicado nuevos apuntes de 1º Álgebra Lineal II: ALII-ResumenT9.pdf

4 páginas
Anónimo

@Anónimo

examenes

-

Exámenes

He publicado nuevos examenes de 1º Álgebra Lineal II: Exámenes

Control-Algebra-Lineal-II-2016.pdf
Examen-Final-Algebra-Lineal-II-Julio-2015.pdf
Examen-Final-Algebra-Lineal-II-Junio-2016.pdf
Examen-Final-Algebra-Lineal-II-Junio-2015.pdf
Control-Algebra-Lineal-II-2015.pdf
¡Estás al día!

¡Estás al día!

Has visto todos los archivos