Álgebra Lineal y Geometría
He publicado nuevos apuntes de 1º Álgebra Lineal y Geometría: Formulario-Tema-3-Aplicaciones-e-isometrias-lineales.pdf
apuntes
-
Resúmenes
He publicado nuevos apuntes de 1º Álgebra Lineal y Geometría: Resúmenes
ejercicios
-
Ejercicios tipo
He publicado nuevos ejercicios de 1º Álgebra Lineal y Geometría: Ejercicios tipo
apuntes
-
Apuntes y Ejercicios Geometria
He publicado nuevos apuntes de 1º Álgebra Lineal y Geometría: Apuntes y Ejercicios Geometria
apuntes
-
Apuntes y Ejercicios Algebra Lineal
He publicado nuevos apuntes de 1º Álgebra Lineal y Geometría: Apuntes y Ejercicios Algebra Lineal
Examen resuelto y explicado paso a paso por mi profesor de matemáticas (particular) y pasado a ordenador. Está perfecto 10/10. He quitado anuncio
apuntes
-
RESUMEN ALGEBRA
He publicado nuevos apuntes de 1º Álgebra Lineal y Geometría: RESUMEN ALGEBRA
examenes
-
EXAMENES RESUELTOS
He publicado nuevos examenes de 1º Álgebra Lineal y Geometría: EXAMENES RESUELTOS
apuntes
-
Apuntes álgebra lineal y geometría (completos)
He publicado nuevos apuntes de 1º Álgebra Lineal y Geometría: Apuntes álgebra lineal y geometría (completos)
He publicado nuevos apuntes de 1º Álgebra Lineal y Geometría: Formulario-Tema-2-Espacios-Vectoriales.pdf
He publicado nuevos apuntes de 1º Álgebra Lineal y Geometría: TEMA-4-FORMAS-CANONICAS-DE-ENDOMORFISMOS-GEOMETRIA-I.pdf
He publicado nuevos apuntes de 1º Álgebra Lineal y Geometría: Definiciones-teoremas-y-preposiciones-algebra-lineal-y-geometria.pdf
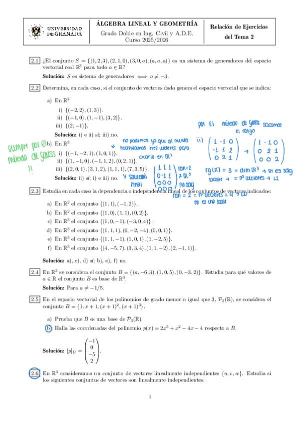
He publicado nuevos apuntes de 1º Álgebra Lineal y Geometría: Tema-2-Espacios-vectoriales.pdf
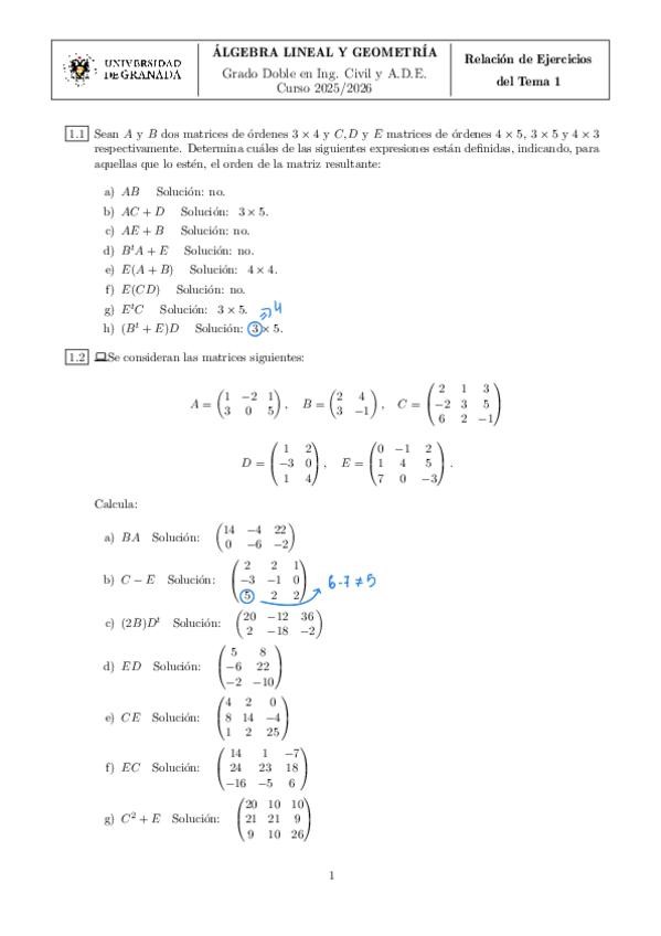
He publicado nuevos apuntes de 1º Álgebra Lineal y Geometría: Tema-1-Matrices.pdf
He publicado nuevos examenes de 1º Álgebra Lineal y Geometría: SolucionFebrero2025.pdf
He publicado nuevos ejercicios de 1º Álgebra Lineal y Geometría: EJERCICIOS-DE-HALLAR-FORMA-DE-JORDAN-Y-MATRIZ-DE-PASO.pdf
He publicado nuevos examenes de 1º Álgebra Lineal y Geometría: ExamenFebrero2025.pdf
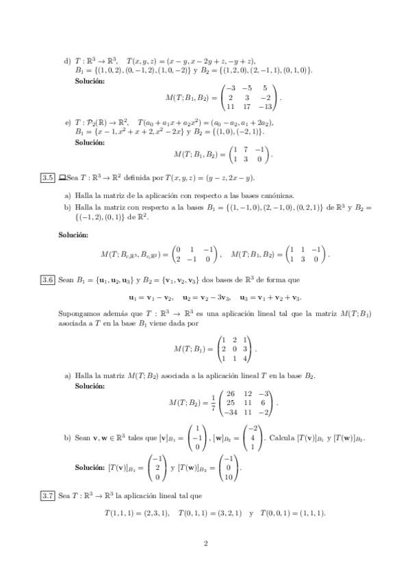
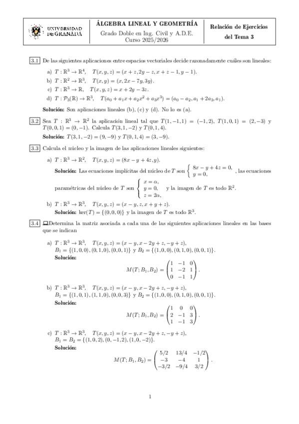
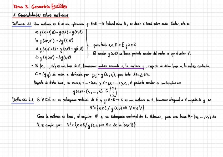
He publicado nuevos ejercicios de 1º Álgebra Lineal y Geometría: Ejercicios-resueltos-T3.pdf
He publicado nuevos ejercicios de 1º Álgebra Lineal y Geometría: Rel.-Problemas-T.3.pdf
He publicado nuevos ejercicios de 1º Álgebra Lineal y Geometría: Problemas-resueltos.pdf
He publicado nuevos examenes de 1º Álgebra Lineal y Geometría: Prueba-2-tema-2-2010-11.pdf
He publicado nuevos examenes de 1º Álgebra Lineal y Geometría: Parcial-t-2-y-3.pdf
He publicado nuevos examenes de 1º Álgebra Lineal y Geometría: Prueba-2-tema-2-2014-15.pdf
He publicado nuevos ejercicios de 1º Álgebra Lineal y Geometría: RP5-resuelta.pdf
He publicado nuevos ejercicios de 1º Álgebra Lineal y Geometría: Ejs-repaso-pre-examen251002121021.pdf
He publicado nuevos examenes de 1º Álgebra Lineal y Geometría: Prueba-2-tema-2-2012-13.pdf
He publicado nuevos ejercicios de 1º Álgebra Lineal y Geometría: ET2-resuelta.pdf
He publicado nuevos examenes de 1º Álgebra Lineal y Geometría: Prueba-t-2-y-3-2023-24-B25.pdf
He publicado nuevos ejercicios de 1º Álgebra Lineal y Geometría: RP2-resuelta.pdf
He publicado nuevos examenes de 1º Álgebra Lineal y Geometría: Prueba-2-tipo-A-2022-23.pdf
He publicado nuevos ejercicios de 1º Álgebra Lineal y Geometría: RP4-resuelta.pdf
He publicado nuevos apuntes de 1º Álgebra Lineal y Geometría: Libreta-semestre-1.pdf
He publicado nuevos examenes de 1º Álgebra Lineal y Geometría: Prueba-T1-2022.pdf
He publicado nuevos examenes de 1º Álgebra Lineal y Geometría: Prueba-T1-2023.pdf
He publicado nuevos ejercicios de 1º Álgebra Lineal y Geometría: Ejs-dificiles-R.-T1.pdf
He publicado nuevos examenes de 1º Álgebra Lineal y Geometría: prueba-tema-1.pdf
He publicado nuevos ejercicios de 1º Álgebra Lineal y Geometría: Ejercicios-tipo-tema-1.pdf
He publicado nuevos ejercicios de 1º Álgebra Lineal y Geometría: Relacion-tema-1.pdf
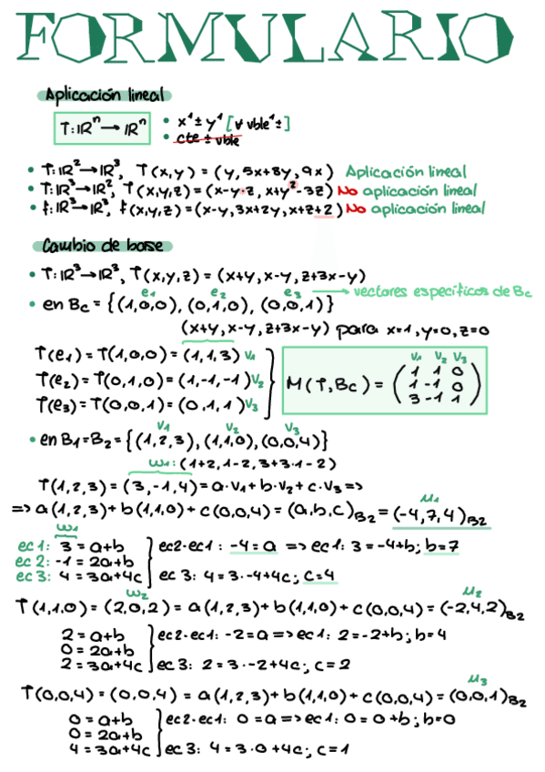
He publicado nuevos ejercicios de 1º Álgebra Lineal y Geometría: Formulario--Ejs-libro-resueltos.pdf
He publicado nuevos examenes de 1º Álgebra Lineal y Geometría: Extra-23-24.pdf
He publicado nuevos examenes de 1º Álgebra Lineal y Geometría: Extra-22-23.pdf
He publicado nuevos examenes de 1º Álgebra Lineal y Geometría: Ordinaria-2025.pdf
INICIO DE CURSO ÁLGEBRA LINEAL Y GEOMÉTRICA ACADEMIA UNIVERSITARIA FORMACIÓN MANUEL POZO Clases modalidad online y presencial. Todas tus CLASES GRABADAS PARA QUE PUEDAS VISUALIZARLAS HASTA EL DÍA DEL EXAMEN Resolución de todos tus ejercicios y exámenes de convocatorias anteriores. Profesores especialidados y temario propio. Acceso a PLATAFORMA VIRTUAL CON CONTENIDO EXCLUSIVO ¡Solicita tu clase de prueba en grupo sin compromiso!

INICIO DE CURSO ÁLGEBRA LINEAL Y GEOMÉTRICA ACADEMIA UNIVERSITARIA FORMACIÓN MANUEL POZO Clases modalidad online y presencial. Todas tus CLASES GRABADAS PARA QUE PUEDAS VISUALIZARLAS HASTA EL DÍA DEL EXAMEN Resolución de todos tus ejercicios y exámenes de convocatorias anteriores. Profesores especialidados y temario propio. Acceso a PLATAFORMA VIRTUAL CON CONTENIDO EXCLUSIVO ¡Solicita tu clase de prueba en grupo sin compromiso!