Todo
Apuntes
Ejercicios
Exámenes
chevron_left
chevron_right

He publicado nuevos examenes de 1º Álgebra Lineal y Geometría I: Examenes-Lineal-Segundo-Cuatri.pdf

41 páginas

apuntes

-

APUNTES + EJERCICIOS DE TODOS LOS TEMAS DE ÁLGEBRA LINEAL Y GEOMETRÍA I

He publicado nuevos apuntes de 1º Álgebra Lineal y Geometría I: APUNTES + EJERCICIOS DE TODOS LOS TEMAS DE ÁLGEBRA LINEAL Y GEOMETRÍA I

ALG-TEMA-1-SISTEMAS-MATRICES-Y-DETERMINANTES-APUNTES-DE-CLASE--EJERCICIOS.pdf
ALG-TEMA-1-SISTEMAS-MATRICES-Y-DETERMINANTES-APUNTES-DE-CLASE--EJERCICIOS.pdf
ALG-TEMA-2-ESPACIOS-VECTORIALES-APUNTES-DE-CLASE--EJERCICIOS.pdf
ALG-TEMA-2-ESPACIOS-VECTORIALES-APUNTES-DE-CLASE--EJERCICIOS.pdf
ALG-TEMA-3-SUBESPACIOS-VECTORIALES-APUNTES-DE-CLASE--EJERCICIOS.pdf
ALG-TEMA-3-SUBESPACIOS-VECTORIALES-APUNTES-DE-CLASE--EJERCICIOS.pdf

Resumen Tema 10 de Álgebra Lineal y Geometría I

1 página

Resumen Tema 9 de Álgebra Lineal y Geometría I

1 página

Resumen Tema 8 de Álgebra Lineal y Geometría I

1 página

apuntes

-

TEMAS RESUMIDOS (ESENCIAL)

He publicado nuevos apuntes de 1º Álgebra Lineal y Geometría I: TEMAS RESUMIDOS (ESENCIAL)

T1-CONICAS-Y-CUADRICAS.pdf
T1-CONICAS-Y-CUADRICAS.pdf
T2-NUMEROS-COMPLEJOS.pdf
T2-NUMEROS-COMPLEJOS.pdf
T3-MATRICES-Y-SEL.pdf
T3-MATRICES-Y-SEL.pdf

examenes

-

EXAMENES RESUELTOS

He publicado nuevos examenes de 1º Álgebra Lineal y Geometría I: EXAMENES RESUELTOS

DICIEMBRE-2022-RESUELTO.pdf
DICIEMBRE-2022-RESUELTO.pdf
ENERO-2022-RESUELTO.pdf
ENERO-2022-RESUELTO.pdf
JUNIO-2022-RESUELTO.pdf
JUNIO-2022-RESUELTO.pdf

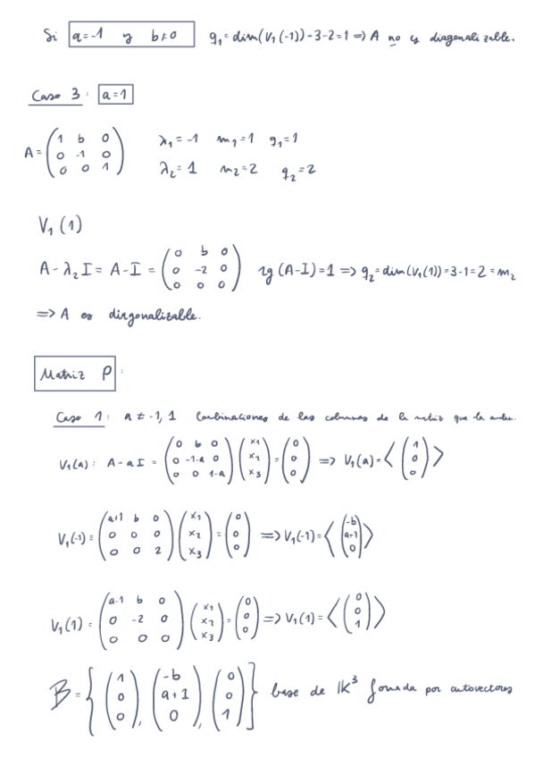
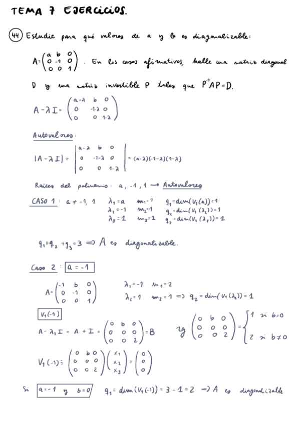
Resumen Tema 7 de Álgebra Lineal y Geometría I

1 página

Resumen Tema 6 de Álgebra Lineal y Geometría I

2 páginas

Resumen Temas 1, 2, 3, 4 y 5 de Álgebra Lineal y Geometría I

7 páginas

Resumen Temas 1 y 2 de Álgebra Lineal y Geometría I

4 páginas

He publicado nuevos apuntes de 1º Álgebra Lineal y Geometría I: Resumen-2-Cuatri.pdf

15 páginas

ejercicios

-

EJERCICIOS RESUELTOS de TODOS los temas

He publicado nuevos ejercicios de 1º Álgebra Lineal y Geometría I: EJERCICIOS RESUELTOS de TODOS los temas

Ejercicios-resueltos-Unidad-1.pdf
Ejercicios-resueltos-Unidad-1.pdf
Ejercicios-resueltos-Unidad-2.pdf
Ejercicios-resueltos-Unidad-2.pdf
Ejercicios-resueltos-Unidad-3.pdf
Ejercicios-resueltos-Unidad-3.pdf

He publicado nuevos apuntes de 1º Álgebra Lineal y Geometría I: Esquema-Estructuras-Algebraicas.pdf

1 página

apuntes

-

APUNTES de los últimos temas

He publicado nuevos apuntes de 1º Álgebra Lineal y Geometría I: APUNTES de los últimos temas

Apuntes-Unidad-10-Espacios-afines.pdf
Apuntes-Unidad-10-Espacios-afines.pdf
Apuntes-Unidad-11-Espacios-afines-euclideos.pdf
Apuntes-Unidad-11-Espacios-afines-euclideos.pdf
Apuntes-Unidad-12-Aplicaciones-afines.pdf
Apuntes-Unidad-12-Aplicaciones-afines.pdf

He publicado nuevos apuntes de 1º Álgebra Lineal y Geometría I: Tema-12-Aplicaciones-afines.pdf

1 página

He publicado nuevos apuntes de 1º Álgebra Lineal y Geometría I: Tema-11-Espacios-afines-euclideos.pdf

1 página

apuntes

-

Resúmenes todos los temas

He publicado nuevos apuntes de 1º Álgebra Lineal y Geometría I: Resúmenes todos los temas

ALGI-Resumenes-Temas-1-7.pdf
ALGI-Resumenes-Temas-1-7.pdf
ALGI-Resumenes-Temas-8-13.pdf
ALGI-Resumenes-Temas-8-13.pdf

He publicado nuevos apuntes de 1º Álgebra Lineal y Geometría I: Tema-7-Forma-canonica.jpeg

Imagen

He publicado nuevos apuntes de 1º Álgebra Lineal y Geometría I: Tema-6-Homomorfismos.jpeg

Imagen

He publicado nuevos apuntes de 1º Álgebra Lineal y Geometría I: Tema-5-Subespacios-vectoriales.jpeg

Imagen

apuntes

-

AGL

He publicado nuevos apuntes de 1º Álgebra Lineal y Geometría I: AGL

AGL-Tema-1.pdf
AGL-Tema-1.pdf
ALG1-Tema-2.pdf
ALG1-Tema-2.pdf
ALG1-Tema-3.pdf
ALG1-Tema-3.pdf
Anónimo

@Anónimo

apuntes

-

Apuntes Álgebra Lineal y Geometría I

He publicado nuevos apuntes de 1º Álgebra Lineal y Geometría I: Apuntes Álgebra Lineal y Geometría I

ALGI.pdf
ALGI.pdf
ALGI.pdf
ALGI.pdf
ALGI.pdf
ALGI.pdf

He publicado nuevos ejercicios de 1º Álgebra Lineal y Geometría I: Ejercicios-De-Diagonalizacion.pdf

7 páginas

He publicado nuevos ejercicios de 1º Álgebra Lineal y Geometría I: Ejercicios.pdf

6 páginas

He publicado nuevos apuntes de 1º Álgebra Lineal y Geometría I: Apuntes-De-Clase-Tema-13.pdf

25 páginas

He publicado nuevos apuntes de 1º Álgebra Lineal y Geometría I: Apuntes-Tema-12.pdf

15 páginas

apuntes

-

Tema 11. Aplicaciones Afines

He publicado nuevos apuntes de 1º Álgebra Lineal y Geometría I: Tema 11. Aplicaciones Afines

Apuntes-Tema-11-Aplicaciones-Afines.pdf
Apuntes-Tema-11-Aplicaciones-Afines.pdf
Apuntes-De-Clase-Tema-11.pdf
Apuntes-De-Clase-Tema-11.pdf

apuntes

-

Tema 9

He publicado nuevos apuntes de 1º Álgebra Lineal y Geometría I: Tema 9

Apuntes-Tema-9.pdf
Apuntes-Tema-9.pdf
Ejercicios-Tema-9.pdf
Ejercicios-Tema-9.pdf

apuntes

-

Tema 10. Espacios Afines

He publicado nuevos apuntes de 1º Álgebra Lineal y Geometría I: Tema 10. Espacios Afines

Apuntes-De-Clase-Tema-10.pdf
Apuntes-De-Clase-Tema-10.pdf
Apuntes-Tema-10.pdf
Apuntes-Tema-10.pdf
Ejercicios-Tema-10.pdf
Ejercicios-Tema-10.pdf

apuntes

-

Tema 8. Espacio vectorial

He publicado nuevos apuntes de 1º Álgebra Lineal y Geometría I: Tema 8. Espacio vectorial

Apuntes-De-Clase-Tema-8.pdf
Apuntes-De-Clase-Tema-8.pdf
Apuntes-Tema-8.pdf
Apuntes-Tema-8.pdf
Ejercicios-Tema-8.pdf
Ejercicios-Tema-8.pdf

He publicado nuevos apuntes de 1º Álgebra Lineal y Geometría I: Apuntes-Tema-7.pdf

23 páginas

He publicado nuevos ejercicios de 1º Álgebra Lineal y Geometría I: Ejercicios-Tema-5.pdf

16 páginas

apuntes

-

Tema 6. Homomorfismos

He publicado nuevos apuntes de 1º Álgebra Lineal y Geometría I: Tema 6. Homomorfismos

Ejercicios-Tema-6.pdf
Ejercicios-Tema-6.pdf
Apuntes-Tema-6.pdf
Apuntes-Tema-6.pdf

apuntes

-

CODIUS (2 Créditos fáciles)

He publicado nuevos apuntes de 1º Álgebra Lineal y Geometría I: CODIUS (2 Créditos fáciles)

5-LaGranPrueba.pdf
5-LaGranPrueba.pdf
4-LaCreacion.pdf
4-LaCreacion.pdf
3-LaExploracion.pdf
3-LaExploracion.pdf

apuntes

-

Resúmenes por tema

He publicado nuevos apuntes de 1º Álgebra Lineal y Geometría I: Resúmenes por tema

Esquema-tema-10-espacios-afines.pdf
Esquema-tema-10-espacios-afines.pdf
Esquema-tema-9-teoremas-espectrales.docx
Esquema-tema-9-teoremas-espectrales.docx
Esquema-tema-8-producto-escalar.pdf
Esquema-tema-8-producto-escalar.pdf

apuntes

-

Tema 13 ALG1

He publicado nuevos apuntes de 1º Álgebra Lineal y Geometría I: Tema 13 ALG1

Apuntes-T13-ALG1.pdf
Apuntes-T13-ALG1.pdf
Tema-13-ALG1.pdf
Tema-13-ALG1.pdf
Ejercicios-T13-ALG1.pdf
Ejercicios-T13-ALG1.pdf

apuntes

-

Tema 12 ALG1

He publicado nuevos apuntes de 1º Álgebra Lineal y Geometría I: Tema 12 ALG1

Ejercicios-T12-ALG1.pdf
Ejercicios-T12-ALG1.pdf
Tema-12-ALG1.pdf
Tema-12-ALG1.pdf

apuntes

-

Tema 11 ALG1

He publicado nuevos apuntes de 1º Álgebra Lineal y Geometría I: Tema 11 ALG1

Tema-11-ALG1.pdf
Tema-11-ALG1.pdf
Ejercicios-T11-ALG1.pdf
Ejercicios-T11-ALG1.pdf

apuntes

-

Tema 10 ALG1

He publicado nuevos apuntes de 1º Álgebra Lineal y Geometría I: Tema 10 ALG1

Ejercicios-T10-ALG1.pdf
Ejercicios-T10-ALG1.pdf
Tema-10-ALG1.pdf
Tema-10-ALG1.pdf

apuntes

-

Tema 9 ALG1

He publicado nuevos apuntes de 1º Álgebra Lineal y Geometría I: Tema 9 ALG1

Ejercicios-T9-ALG1.pdf
Ejercicios-T9-ALG1.pdf
Tema-9-ALG1.pdf
Tema-9-ALG1.pdf

apuntes

-

Tema 8 ALG1

He publicado nuevos apuntes de 1º Álgebra Lineal y Geometría I: Tema 8 ALG1

Ejercicios-T8-ALG1.pdf
Ejercicios-T8-ALG1.pdf
Tema-8-ALG1.pdf
Tema-8-ALG1.pdf

apuntes

-

Tema 7 ALG1

He publicado nuevos apuntes de 1º Álgebra Lineal y Geometría I: Tema 7 ALG1

Ejercicios-T7-ALG1.pdf
Ejercicios-T7-ALG1.pdf
T7-ALG1.pdf
T7-ALG1.pdf

apuntes

-

Tema 6 ALG1

He publicado nuevos apuntes de 1º Álgebra Lineal y Geometría I: Tema 6 ALG1

Ejercicios-T6-ALG1.pdf
Ejercicios-T6-ALG1.pdf
T6-ALG1.pdf
T6-ALG1.pdf

apuntes

-

Tema 5 ALG1

He publicado nuevos apuntes de 1º Álgebra Lineal y Geometría I: Tema 5 ALG1

T5-ALG1.pdf
T5-ALG1.pdf
Ejercicios-T5-ALG1.pdf
Ejercicios-T5-ALG1.pdf
Apuntes-T5-ALG1.pdf
Apuntes-T5-ALG1.pdf

apuntes

-

Tema 4 ALG1

He publicado nuevos apuntes de 1º Álgebra Lineal y Geometría I: Tema 4 ALG1

T4-ALG1.pdf
T4-ALG1.pdf
Ejercicios-T4-ALG1.pdf
Ejercicios-T4-ALG1.pdf
Apuntes-T4-ALG1.pdf
Apuntes-T4-ALG1.pdf

apuntes

-

Tema 3 ALG1

He publicado nuevos apuntes de 1º Álgebra Lineal y Geometría I: Tema 3 ALG1

Apuntes-T3-ALG1.pdf
Apuntes-T3-ALG1.pdf
T3-ALG1.pdf
T3-ALG1.pdf
Ejercicios-T3-ALG1.pdf
Ejercicios-T3-ALG1.pdf

apuntes

-

Tema 2 ALG1

He publicado nuevos apuntes de 1º Álgebra Lineal y Geometría I: Tema 2 ALG1

Apuntes-T2-ALG1.pdf
Apuntes-T2-ALG1.pdf
Ejercicios-T2-ALG1.pdf
Ejercicios-T2-ALG1.pdf
T2-ALG1.pdf
T2-ALG1.pdf

apuntes

-

Tema 1 ALG1

He publicado nuevos apuntes de 1º Álgebra Lineal y Geometría I: Tema 1 ALG1

Ejercicios-T1-ALG1.pdf
Ejercicios-T1-ALG1.pdf
Apuntes-T1-ALG1.pdf
Apuntes-T1-ALG1.pdf

examenes

-

Ejs de examen temas 10,11,12

He publicado nuevos examenes de 1º Álgebra Lineal y Geometría I: Ejs de examen temas 10,11,12

EJ22.pdf
EJ22.pdf
EJ1.pdf
EJ1.pdf
EJ4.pdf
EJ4.pdf

examenes

-

Ejs de examen temas 8 y 9

He publicado nuevos examenes de 1º Álgebra Lineal y Geometría I: Ejs de examen temas 8 y 9

CamScanner-04-06-2021-20.pdf
CamScanner-04-06-2021-20.pdf
ej2.pdf
ej2.pdf
ej1bueno.pdf
ej1bueno.pdf

examenes

-

Ejercicios de examen tema 8

He publicado nuevos examenes de 1º Álgebra Lineal y Geometría I: Ejercicios de examen tema 8

CamScanner-04-06-2021-20.pdf
CamScanner-04-06-2021-20.pdf
ej2.pdf
ej2.pdf
ej1bueno.pdf
ej1bueno.pdf

He publicado nuevos apuntes de 1º Álgebra Lineal y Geometría I: ALG-T9.pdf

3 páginas

He publicado nuevos apuntes de 1º Álgebra Lineal y Geometría I: ALG-T8.pdf

9 páginas

He publicado nuevos apuntes de 1º Álgebra Lineal y Geometría I: alt-tema7.pdf

35 páginas

He publicado nuevos apuntes de 1º Álgebra Lineal y Geometría I: Tema-5.pdf

21 páginas

ejercicios

-

Ejs de examen resueltos

He publicado nuevos ejercicios de 1º Álgebra Lineal y Geometría I: Ejs de examen resueltos

CamScanner-11-10-2020-19.pdf
CamScanner-11-10-2020-19.pdf
EJERCICIO-3.pdf
EJERCICIO-3.pdf
CamScanner-11-10-2020-19.pdf
CamScanner-11-10-2020-19.pdf

apuntes

-

tema 6 lineal

He publicado nuevos apuntes de 1º Álgebra Lineal y Geometría I: tema 6 lineal

tema-6-lineal.pdf
tema-6-lineal.pdf
ejercicios-tema-6-lineal.pdf
ejercicios-tema-6-lineal.pdf

He publicado nuevos apuntes de 1º Álgebra Lineal y Geometría I: Clase-Algebra-lineal-y-geomtria-Ac.mp4

video

He publicado nuevos apuntes de 1º Álgebra Lineal y Geometría I: EJEMPLO-FORMA-CANONICA-JORDAN.pdf

2 páginas