Todo
Apuntes
Ejercicios
Exámenes
chevron_left
chevron_right

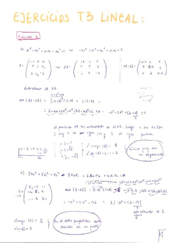
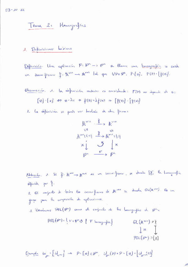
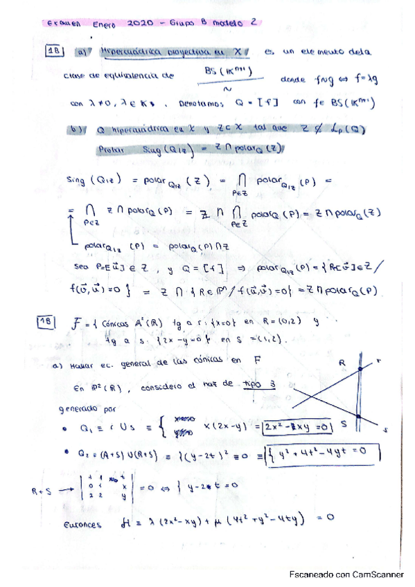
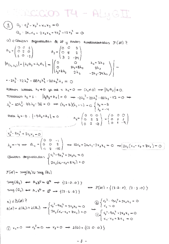
ejercicios

-

Algunos EJERCICIOS RESUELTOS

He publicado nuevos ejercicios de 3º Álgebra Lineal y Geometría II: Algunos EJERCICIOS RESUELTOS

Problemas-U2watermarked.pdf
Problemas-U2watermarked.pdf
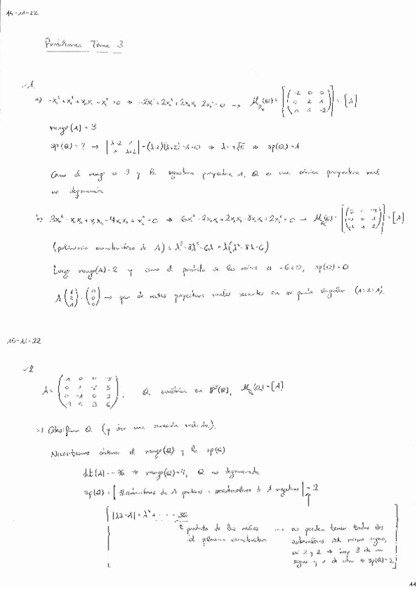
Problemas-U3watermarked.pdf
Problemas-U3watermarked.pdf
Problemas-U4watermarked.pdf
Problemas-U4watermarked.pdf

He publicado nuevos apuntes de 3º Álgebra Lineal y Geometría II: Resumen-todos-los-temas-ALGII.pdf

12 páginas

He publicado nuevos examenes de 3º Álgebra Lineal y Geometría II: Ejercicios-de-examenes.pdf

33 páginas

He publicado nuevos apuntes de 3º Álgebra Lineal y Geometría II: ALGII-Tema-1.pdf

13 páginas

He publicado nuevos apuntes de 3º Álgebra Lineal y Geometría II: ALGII-Tema-5.pdf

8 páginas

He publicado nuevos apuntes de 3º Álgebra Lineal y Geometría II: ALGII-Tema-4.pdf

10 páginas

He publicado nuevos apuntes de 3º Álgebra Lineal y Geometría II: ALGII-Tema-3.pdf

20 páginas

ejercicios

-

Problemas resueltos

He publicado nuevos ejercicios de 3º Álgebra Lineal y Geometría II: Problemas resueltos

ALGII-Problemas-Tema-1.pdf
ALGII-Problemas-Tema-1.pdf
ALGII-Problemas-Tema-2.pdf
ALGII-Problemas-Tema-2.pdf
ALGII-Problemas-Tema-3.pdf
ALGII-Problemas-Tema-3.pdf

apuntes

-

Clasificación hipercuádricas

He publicado nuevos apuntes de 3º Álgebra Lineal y Geometría II: Clasificación hipercuádricas

ALGII-Clasificacion-hipercuadricas.pdf
ALGII-Clasificacion-hipercuadricas.pdf

apuntes

-

Apuntes Temas 1-2

He publicado nuevos apuntes de 3º Álgebra Lineal y Geometría II: Apuntes Temas 1-2

ALGII-Apuntes-Tema-1.pdf
ALGII-Apuntes-Tema-1.pdf
ALGII-Apuntes-Tema-2.pdf
ALGII-Apuntes-Tema-2.pdf

apuntes

-

Apuntes - Resúmenes LATEX ALG2

He publicado nuevos apuntes de 3º Álgebra Lineal y Geometría II: Apuntes - Resúmenes LATEX ALG2

Tema-1-ALG2-JMS.pdf
Tema-1-ALG2-JMS.pdf
Tema-2-ALG2-JMS.pdf
Tema-2-ALG2-JMS.pdf
Tema-3-ALG2-JMS.pdf
Tema-3-ALG2-JMS.pdf

apuntes

-

Resumenes por Tema Latex

He publicado nuevos apuntes de 3º Álgebra Lineal y Geometría II: Resumenes por Tema Latex

Tema-1-ALG2-JMS.pdf
Tema-1-ALG2-JMS.pdf
Tema-2-ALG2-JMS.pdf
Tema-2-ALG2-JMS.pdf

ejercicios

-

EJERCICIOS RESUELTOS TEMAS 1-5

He publicado nuevos ejercicios de 3º Álgebra Lineal y Geometría II: EJERCICIOS RESUELTOS TEMAS 1-5

EJERCICIOS-TEMA-4-ALYGII.pdf
EJERCICIOS-TEMA-4-ALYGII.pdf
EJERCICIOS-TEMA-5-ALYGII.pdf
EJERCICIOS-TEMA-5-ALYGII.pdf
EJERCICIOS-TEMA-2-ALYGII.pdf
EJERCICIOS-TEMA-2-ALYGII.pdf

He publicado nuevos apuntes de 3º Álgebra Lineal y Geometría II: ESQUEMA-CLASIFICACION-HIPERCUADRICAS.pdf

2 páginas

examenes

-

RESUELTOS EXÁMENES

He publicado nuevos examenes de 3º Álgebra Lineal y Geometría II: RESUELTOS EXÁMENES

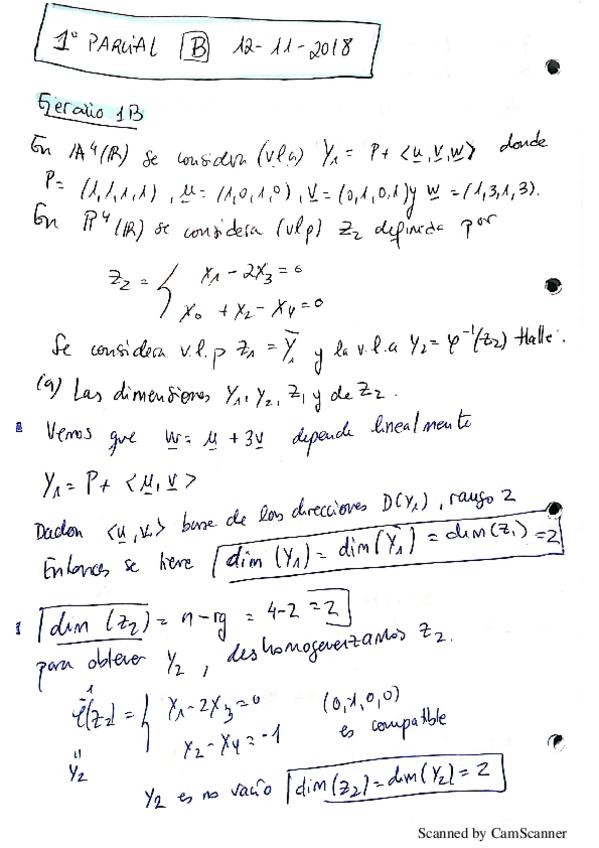
1-Parcial-B-12-11-2018.pdf
1-Parcial-B-12-11-2018.pdf
1Parcial-A-14-11-2018-2.pdf
1Parcial-A-14-11-2018-2.pdf
Convocatoria-Septiembre-3-9-2019.pdf
Convocatoria-Septiembre-3-9-2019.pdf

ejercicios

-

RESUELTOS Boletines

He publicado nuevos ejercicios de 3º Álgebra Lineal y Geometría II: RESUELTOS Boletines

RESUELTO-TEMA-1-LINEAL-II.pdf
RESUELTO-TEMA-1-LINEAL-II.pdf
Tema-2.pdf
Tema-2.pdf

ejercicios

-

RESUELTOS POR TEMAS

He publicado nuevos ejercicios de 3º Álgebra Lineal y Geometría II: RESUELTOS POR TEMAS

RESUELTOSEjercicios-Tema-1II.pdf
RESUELTOSEjercicios-Tema-1II.pdf
RESUELTOS-Ejercicios-Tema-2-II.pdf
RESUELTOS-Ejercicios-Tema-2-II.pdf
RESUELTOS-Ejercicios-Tema-3.pdf
RESUELTOS-Ejercicios-Tema-3.pdf