Álgebra Lineal y Geometría II

chevron_left
chevron_right
Todo
Apuntes
Ejercicios
Exámenes
chevron_left
chevron_right

He publicado nuevos apuntes de 1º Álgebra Lineal y Geometría II: Teoria-tema-2-algebra-2.pdf

6 páginas

He publicado nuevos apuntes de 1º Álgebra Lineal y Geometría II: Demostraciones-tema-1-algebra-2.pdf

6 páginas

He publicado nuevos apuntes de 1º Álgebra Lineal y Geometría II: Teoria-Algebra-2-Tema-1.pdf

6 páginas

Parte de teoría del examen final de convocatoria ordinaria de algebra 2 del curso 24-25

1 página

Parcial de Algebra 2 del curso 24-25

1 página

Este documento contiene apuntes sobre triangulación junto con la intuición detrás del proceso de buscar una base para triangular. Además se encuentra el ejercicio 51 de la hoja de problemas y una corrección profunda del pdf enviado por el profesor sobre l

10 páginas

He publicado nuevos apuntes de 1º Álgebra Lineal y Geometría II: Examen-final-de-junio-de-2024-conv.-ordinaria.pdf

1 página

He publicado nuevos examenes de 1º Álgebra Lineal y Geometría II: Examen-parcial-de-abril-de-2024.pdf

1 página

He publicado nuevos examenes de 1º Álgebra Lineal y Geometría II: extraordinaria-2024.pdf

1 página

He publicado nuevos examenes de 1º Álgebra Lineal y Geometría II: Examen-parcial-2024.pdf

1 página
Anónimo

@Anónimo

apuntes

-

algebra problemas

He publicado nuevos apuntes de 1º Álgebra Lineal y Geometría II: algebra problemas

3.pdf
4.pdf
1.pdf
6.pdf
5.pdf
3.pdf

apuntes

-

Studium

He publicado nuevos apuntes de 1º Álgebra Lineal y Geometría II: Studium

PROGRAMA-ALGEBRA-LINEAL-I.pdf
CursoALgLineal.pdf
Alfabeto-Griego.pdf
Dual.pdf
Ecuacioneslineales-VarAfin.pdf
Matrices.pdf

ejercicios

-

Ejercicios

He publicado nuevos ejercicios de 1º Álgebra Lineal y Geometría II: Ejercicios

Problemas-Espacio-dual.pdf
ColecProbAlgLinGeom-I.pdf

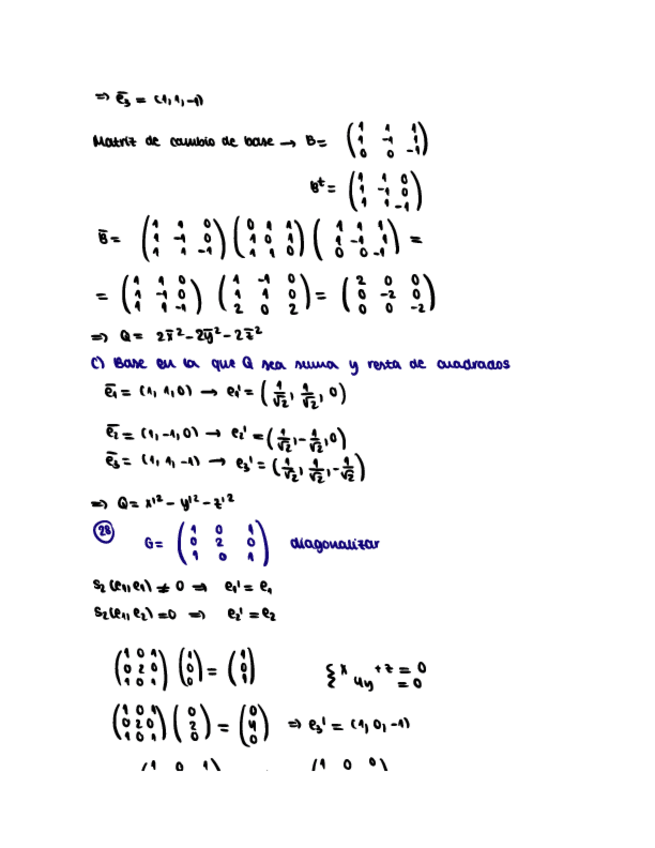
He publicado nuevos apuntes de 1º Álgebra Lineal y Geometría II: Diagonalizar-matrices.pdf

3 páginas

He publicado nuevos examenes de 1º Álgebra Lineal y Geometría II: ejercicios-tensores.pdf

10 páginas

He publicado nuevos ejercicios de 1º Álgebra Lineal y Geometría II: Ejercicios-metricas-y-formas-cuadraticas.pdf

16 páginas

He publicado nuevos ejercicios de 1º Álgebra Lineal y Geometría II: Ejercicios-diagonalizacion-y-espacios-euclideos.pdf

7 páginas

He publicado nuevos apuntes de 1º Álgebra Lineal y Geometría II: Definiciones-espacio-euclideo.pdf

7 páginas

He publicado nuevos apuntes de 1º Álgebra Lineal y Geometría II: Tensores-.pdf

21 páginas

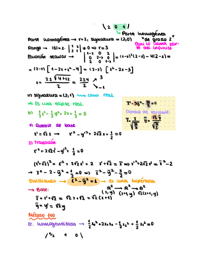
He publicado nuevos apuntes de 1º Álgebra Lineal y Geometría II: Metricas-y-formas-cuadraticas.pdf

12 páginas

He publicado nuevos apuntes de 1º Álgebra Lineal y Geometría II: Conicas.pdf

8 páginas

He publicado nuevos apuntes de 1º Álgebra Lineal y Geometría II: Clasificacion-de-metricas-simetricas-sobre-los-numeros-reales.pdf

4 páginas

He publicado nuevos apuntes de 1º Álgebra Lineal y Geometría II: Preguntas-cortas-diagonalizacion.pdf

5 páginas

He publicado nuevos apuntes de 1º Álgebra Lineal y Geometría II: Preguntas-cortas-Espacios-euclideos.pdf

13 páginas

He publicado nuevos apuntes de 1º Álgebra Lineal y Geometría II: Preguntas-cortas-formas-cuadraticas-.pdf

8 páginas

He publicado nuevos apuntes de 1º Álgebra Lineal y Geometría II: Algebra-2.pdf

32 páginas

He publicado nuevos apuntes de 1º Álgebra Lineal y Geometría II: Algebra-2-1.pdf

6 páginas

He publicado nuevos apuntes de 1º Álgebra Lineal y Geometría II: Algebra-2.pdf

3 páginas

He publicado nuevos apuntes de 1º Álgebra Lineal y Geometría II: formas-cuadraticas-.pdf

5 páginas

He publicado nuevos apuntes de 1º Álgebra Lineal y Geometría II: Algebra-2.pdf

3 páginas

He publicado nuevos apuntes de 1º Álgebra Lineal y Geometría II: Euclideos.pdf

8 páginas

He publicado nuevos apuntes de 1º Álgebra Lineal y Geometría II: Algebra-2-1.pdf

5 páginas

He publicado nuevos apuntes de 1º Álgebra Lineal y Geometría II: Teoria.docx

word
¡Estás al día!

¡Estás al día!

Has visto todos los archivos