Álgebra Lineal y Geometría II

chevron_left
chevron_right
Todo
Apuntes
Preguntas
Ejercicios
Exámenes
chevron_left
chevron_right

ejercicios

-

Problemas resueltos

He publicado nuevos ejercicios de 2º Álgebra Lineal y Geometría II: Problemas resueltos

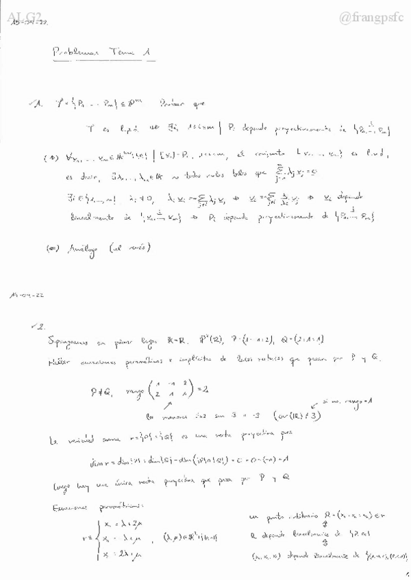
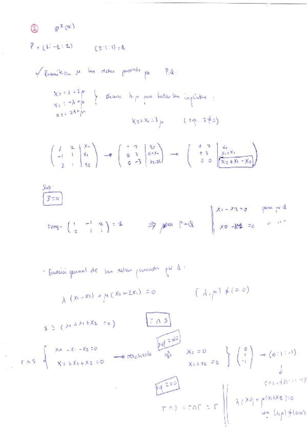
ALGIIProblemasTema1.pdf
ALGIIProblemasTema2.pdf
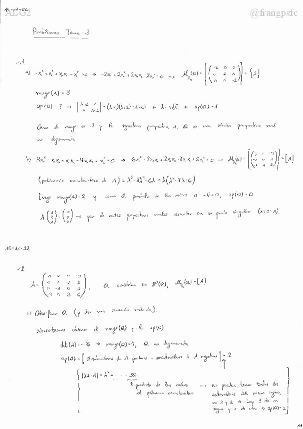
ALGIIProblemasTema3.pdf
ALGIIProblemasTema4.pdf
ALGIIProblemasTema5.pdf

apuntes

-

Apuntes Temas 1-2

He publicado nuevos apuntes de 2º Álgebra Lineal y Geometría II: Apuntes Temas 1-2

ALGIIApuntesTema1.pdf
ALGIIApuntesTema2.pdf

He publicado nuevos apuntes de 2º Álgebra Lineal y Geometría II: ALGIIClasificacionHipercuadricas.pdf

8 páginas

apuntes

-

Tema 5

He publicado nuevos apuntes de 2º Álgebra Lineal y Geometría II: Tema 5

Tema-5.pdf
Ejercicios-tema-5.pdf

apuntes

-

Tema 4

He publicado nuevos apuntes de 2º Álgebra Lineal y Geometría II: Tema 4

Tema-4.pdf
Ejercicios-tema-4.pdf

apuntes

-

Tema 3

He publicado nuevos apuntes de 2º Álgebra Lineal y Geometría II: Tema 3

Tema-3.pdf
Ejercicios-tema-3.pdf

He publicado nuevos apuntes de 2º Álgebra Lineal y Geometría II: El-cono.pdf

1 página

apuntes

-

Tema 2

He publicado nuevos apuntes de 2º Álgebra Lineal y Geometría II: Tema 2

Ejercicios-tema-2.pdf
Tema-2.pdf

apuntes

-

Tema 1

He publicado nuevos apuntes de 2º Álgebra Lineal y Geometría II: Tema 1

Tema-1.pdf
Ejercicios-tema-1.pdf

apuntes

-

Apuntes - Resúmenes LATEX ALG2

He publicado nuevos apuntes de 2º Álgebra Lineal y Geometría II: Apuntes - Resúmenes LATEX ALG2

Tema-1-ALG2-JMS.pdf
Tema-2-ALG2-JMS.pdf
Tema-3-ALG2-JMS.pdf
Tema-4-ALG2-JMS.pdf
Tema-5-ALG-2-JMS.pdf

ejercicios

-

EJERCICIOS RESUELTOS TEMAS 1-5

He publicado nuevos ejercicios de 2º Álgebra Lineal y Geometría II: EJERCICIOS RESUELTOS TEMAS 1-5

EJERCICIOS-TEMA-1-ALYGII.pdf
EJERCICIOS-TEMA-5-ALYGII.pdf
EJERCICIOS-TEMA-3-ALYGII.pdf
EJERCICIOS-TEMA-2-ALYGII.pdf
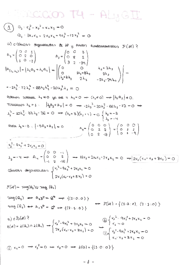
EJERCICIOS-TEMA-4-ALYGII.pdf

He publicado nuevos apuntes de 2º Álgebra Lineal y Geometría II: ESQUEMA-CLASIFICACION-HIPERCUADRICAS.pdf

2 páginas

examenes

-

RESUELTOS EXAMENES 1 PARCIAL

He publicado nuevos examenes de 2º Álgebra Lineal y Geometría II: RESUELTOS EXAMENES 1 PARCIAL

RESUELTO-1parte-examen-modelo-M1-sept-2019.pdf

examenes

-

RESUELTOS EXAMENES 2 PARCIAL

He publicado nuevos examenes de 2º Álgebra Lineal y Geometría II: RESUELTOS EXAMENES 2 PARCIAL

RESUELTO-Examen-final-2parte-2019.pdf
RESUELTO-Examen-Tercera-conv-2parte-2019.pdf
RESUELTO-Examen-2parte-Septiembre-2019.pdf
RESUELTO-Examen-2parte-grupo-b-2018.pdf

ejercicios

-

RESUELTOS Boletines

He publicado nuevos ejercicios de 2º Álgebra Lineal y Geometría II: RESUELTOS Boletines

RESUELTO-TEMA-1-LINEAL-II.pdf
Tema-2.pdf
RESUELTOS-Ejercicios-Tema-4-Lineal-II.pdf
RESUELTOS-Ejercicios-Tema-5-Lineal-II.pdf
RESUELTOS-Ejercicios-Tema-3-Lineal-II.pdf

examenes

-

RESUELTOS EXÁMENES

He publicado nuevos examenes de 2º Álgebra Lineal y Geometría II: RESUELTOS EXÁMENES

1-Parcial-B-12-11-2018.pdf
1Parcial-A-14-11-2018-2.pdf
Convocatoria-Septiembre-3-9-2019.pdf
1-parcial-grupo-B-3-11-2016.pdf
1-parcial-grupo-A-6-11-2017.pdf
1parcial-A-4-11-2016-1.pdf

ejercicios

-

RESUELTOS POR TEMAS

He publicado nuevos ejercicios de 2º Álgebra Lineal y Geometría II: RESUELTOS POR TEMAS

RESUELTOS-Ejercicios-Tema-1.pdf
RESUELTOS-Ejercicios-Tema-3-II.pdf
RESUELTOSEjercicios-Tema-1II.pdf
RESUELTOS-Ejercicios-Tema-2-II.pdf
RESUELTOS-Ejercicios-Tema-4.pdf
RESUELTOS-Ejercicios-Tema-2.pdf

EJERCICIOS RESUELTOS DE LINEAL II TEMAS 3-4-5

AYUDA!!!!

examenes

-

Pruebas solucionadas 1718

He publicado nuevos examenes de 2º Álgebra Lineal y Geometría II: Pruebas solucionadas 1718

sol-prueba-escrita.pdf
Sol-II-prueba-escrita.pdf
¡Estás al día!

¡Estás al día!

Has visto todos los archivos