Álgebra Lineal y Geometría
Son las 4 prácticas calificadas que en total equivalen al 30% de la calificación de la asignatura, todas ellas desarrolladas en Jupiter - anaconda (python)
Son denominadas "prácticas" pero no son calificadas, ya que solo sirven para aprender a usar el programa Júpiter - Anacondade en lenguaje Python
He publicado nuevos examenes de 1º Álgebra Lineal y Geometría: Convocatoria_Ordinaria_25-26_Solucionario_Algebra_Lineal_y_Geometria-DOBLE-GRADO-INGENIERIA-CIVIL-ADMINISTRACION-Y-DIRECCION-DE-EMPRESAS.pdf.pdf
He publicado nuevos examenes de 1º Álgebra Lineal y Geometría: Primer_Parcial_25-26_Solucionario_Algebra_Lineal_y_Geometria-25-26-Solucionario-DOBLE-GRADO-INGENIERIA-CIVIL-ADMINSITRACION-Y-DIRECCION-DE-EMPRESAS.pdf.pdf.pdf.pdf.pdf
He publicado nuevos apuntes de 1º Álgebra Lineal y Geometría: CivilADERel12526.pdf
He publicado nuevos apuntes de 1º Álgebra Lineal y Geometría: CivilADERel32526-1.pdf
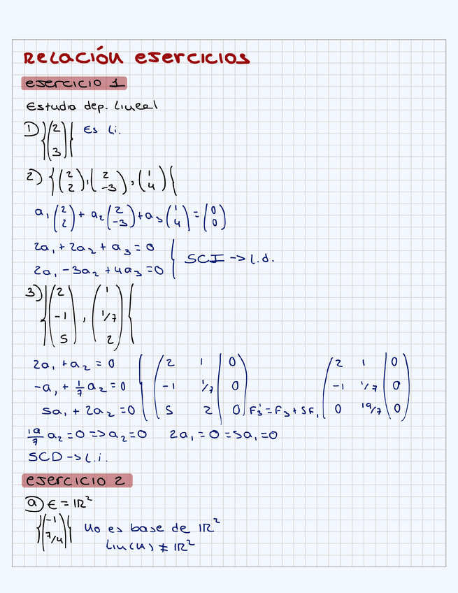
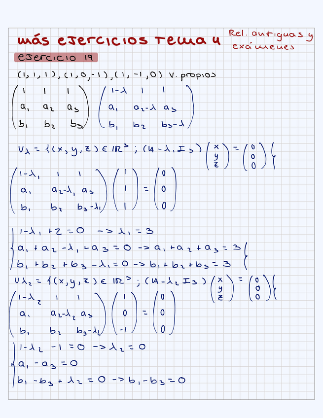
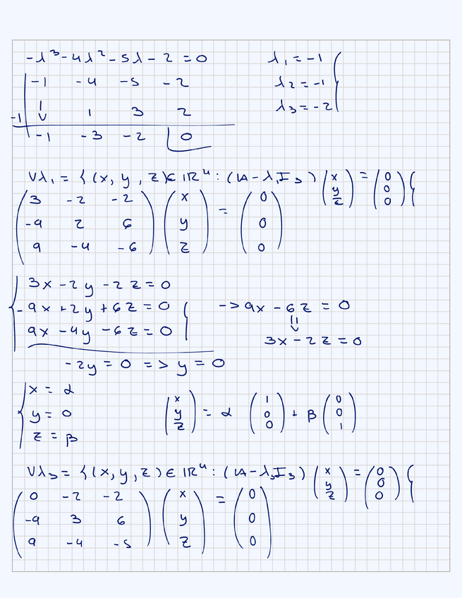
He publicado nuevos apuntes de 1º Álgebra Lineal y Geometría: CivilADERel42526-1.pdf
He publicado nuevos apuntes de 1º Álgebra Lineal y Geometría: CivilADERel52526-1.pdf
He publicado nuevos apuntes de 1º Álgebra Lineal y Geometría: CivilADERel22526.pdf
He publicado nuevos apuntes de 1º Álgebra Lineal y Geometría: CivilADERel62425-2.pdf
apuntes
-
APUNTES ALGEBRA
He publicado nuevos apuntes de 1º Álgebra Lineal y Geometría: APUNTES ALGEBRA
Ejercicios para calcular la ecuacion reducida de una conica sacados del ejercicio 6 del practica y razona 6
He publicado nuevos ejercicios de 1º Álgebra Lineal y Geometría: Practica-y-razona-Tema5.pdf
He publicado nuevos apuntes de 1º Álgebra Lineal y Geometría: Teoria-y-ejemplos-tema-3-4.pdf
apuntes
-
Temas3-al-6
He publicado nuevos apuntes de 1º Álgebra Lineal y Geometría: Temas3-al-6
He publicado nuevos apuntes de 1º Álgebra Lineal y Geometría: Apuntes-Tema-2.pdf
He publicado nuevos apuntes de 1º Álgebra Lineal y Geometría: Apuntes-Tema-1.pdf
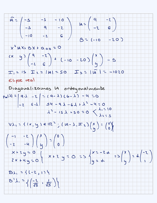
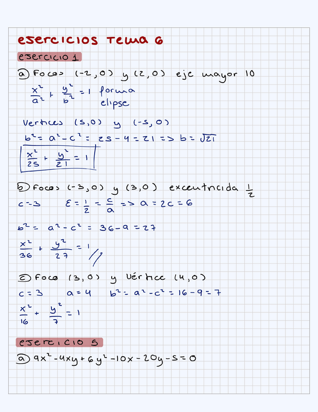
He publicado nuevos apuntes de 1º Álgebra Lineal y Geometría: Formulario-Tema-6-Conicas.pdf
He publicado nuevos examenes de 1º Álgebra Lineal y Geometría: Segundo-parcial-Algebra-2425.pdf
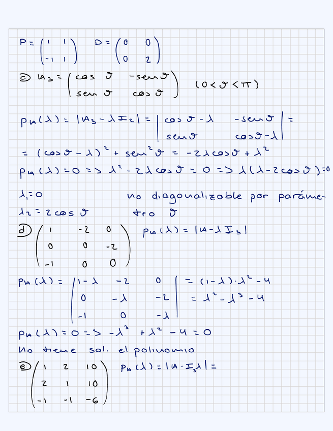
He publicado nuevos apuntes de 1º Álgebra Lineal y Geometría: Formulario-Tema-4-Diagonalizacion.pdf
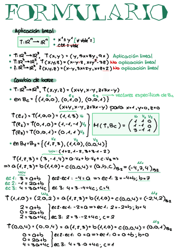
He publicado nuevos apuntes de 1º Álgebra Lineal y Geometría: Formulario-Tema-3-Aplicaciones-lineales-e-isometrias.pdf
Examen resuelto y explicado paso a paso por mi profesor de matemáticas (particular) y pasado a ordenador. Está perfecto 10/10. He quitado anuncio
He publicado nuevos apuntes de 1º Álgebra Lineal y Geometría: Formulario-Tema-2-Espacios-Vectoriales.pdf
He publicado nuevos apuntes de 1º Álgebra Lineal y Geometría: Tema-2-Espacios-vectoriales.pdf
He publicado nuevos apuntes de 1º Álgebra Lineal y Geometría: Tema-1-Matrices.pdf
INICIO DE CURSO ÁLGEBRA LINEAL Y GEOMÉTRICA ACADEMIA UNIVERSITARIA FORMACIÓN MANUEL POZO Clases modalidad online y presencial. Todas tus CLASES GRABADAS PARA QUE PUEDAS VISUALIZARLAS HASTA EL DÍA DEL EXAMEN Resolución de todos tus ejercicios y exámenes de convocatorias anteriores. Profesores especialidados y temario propio. Acceso a PLATAFORMA VIRTUAL CON CONTENIDO EXCLUSIVO ¡Solicita tu clase de prueba en grupo sin compromiso!

INICIO DE CURSO ÁLGEBRA LINEAL Y GEOMÉTRICA ACADEMIA UNIVERSITARIA FORMACIÓN MANUEL POZO Clases modalidad online y presencial. Todas tus CLASES GRABADAS PARA QUE PUEDAS VISUALIZARLAS HASTA EL DÍA DEL EXAMEN Resolución de todos tus ejercicios y exámenes de convocatorias anteriores. Profesores especialidados y temario propio. Acceso a PLATAFORMA VIRTUAL CON CONTENIDO EXCLUSIVO ¡Solicita tu clase de prueba en grupo sin compromiso!
apuntes
-
EJERCICIOS RESUELTOS EXAMEN
Ejercicios resueltos y exámenes Academia Universitaria Formación Manuel Pozo
apuntes
-
Prontuarios por Parciales
He publicado nuevos apuntes de 1º Álgebra Lineal y Geometría: Prontuarios por Parciales
He aquí un documento con todos los temas de Álgebra Lineal y Geometría, del primer semestre del primer curso del doble grado en ICADE
¿Más motivos para matricularte en nuestra academia?
Si te matriculas con nosotros te REGALAMOS el PLAN PRO+ para que navegues por Wuolah SIN ANUNCIOS y SIN ESPERAS. 🎉🎉 *Promoción Válida hasta el 03 de Marzo.

He publicado nuevos apuntes de 1º Álgebra Lineal y Geometría: Practica-8.wxmx
He publicado nuevos apuntes de 1º Álgebra Lineal y Geometría: Practica-7.wxmx
He publicado nuevos apuntes de 1º Álgebra Lineal y Geometría: Practica-6.wxmx
He publicado nuevos apuntes de 1º Álgebra Lineal y Geometría: Practica-5.wxmx
He publicado nuevos apuntes de 1º Álgebra Lineal y Geometría: Practica-3.wxmx
He publicado nuevos apuntes de 1º Álgebra Lineal y Geometría: Practica-2.wxmx
He publicado nuevos apuntes de 1º Álgebra Lineal y Geometría: Practica-1.wxmx
He publicado nuevos apuntes de 1º Álgebra Lineal y Geometría: EXAMEN-TEMA-2-PRACTICAS.wxmx
He publicado nuevos apuntes de 1º Álgebra Lineal y Geometría: EXAMEN-TEMA-1-PRACTICAS.wxmx
He publicado nuevos apuntes de 1º Álgebra Lineal y Geometría: Tema-4-Apuntes-y-Ejercicios-resueltos.pdf
He publicado nuevos apuntes de 1º Álgebra Lineal y Geometría: Teoria-tema-3-y-4.pdf
He publicado nuevos apuntes de 1º Álgebra Lineal y Geometría: Resumen-Tema-6.pdf
He publicado nuevos apuntes de 1º Álgebra Lineal y Geometría: Tema-3-resumen-y-relacion-hechas.pdf
He publicado nuevos ejercicios de 1º Álgebra Lineal y Geometría: Mas-ejercicios-Tema-2.pdf
He publicado nuevos ejercicios de 1º Álgebra Lineal y Geometría: Ejercicios-resueltos-Tema-4.pdf
He publicado nuevos ejercicios de 1º Álgebra Lineal y Geometría: Ejercicios-tema-3.pdf
He publicado nuevos ejercicios de 1º Álgebra Lineal y Geometría: EJERCICIOS-TEMA-6.pdf
He publicado nuevos apuntes de 1º Álgebra Lineal y Geometría: RESUMEN-TEMA-4-5-6-ALGEBRA.pdf
He publicado nuevos apuntes de 1º Álgebra Lineal y Geometría: RESUMEN-ALGEBRA-LINEAL-Y-GEOMETRIA-TEMA-12-Y-3.pdf
He publicado nuevos ejercicios de 1º Álgebra Lineal y Geometría: Mas-ejercicios-Tema-5.pdf
He publicado nuevos ejercicios de 1º Álgebra Lineal y Geometría: Ejercicios-Tema-5.pdf
He publicado nuevos ejercicios de 1º Álgebra Lineal y Geometría: Ejercicios-Tema-4.pdf
He publicado nuevos ejercicios de 1º Álgebra Lineal y Geometría: Ejercicios-Tema-4.pdf
He publicado nuevos ejercicios de 1º Álgebra Lineal y Geometría: Ejercicios-Tema-2.pdf
He publicado nuevos ejercicios de 1º Álgebra Lineal y Geometría: Ejercicios-Tema-2.pdf