Álgebra Lineal y Matemática Discreta
He creado unos tests con IA en proxus.es y van muy bien, os lo recomiendo! Sirven un montón para repasar y darte cuenta de lo que aún no controlas, hay varios modos de generar y puedes resolver luego las falladas.
apuntes
-
RESUMEN ALGEBRA
He publicado nuevos apuntes de 1º Álgebra Lineal y Matemática Discreta: RESUMEN ALGEBRA
examenes
-
EXAMENES RESUELTOS
He publicado nuevos examenes de 1º Álgebra Lineal y Matemática Discreta: EXAMENES RESUELTOS
He publicado nuevos apuntes de 1º Álgebra Lineal y Matemática Discreta: T3-Espacios-vectoriales.pdf
He publicado nuevos apuntes de 1º Álgebra Lineal y Matemática Discreta: Practica-2-ejercicios-para-entrega.pdf
Recuperación Primer Parcial de Algebra Lineal 2024-2025
Curso 0 - Matemáticas - Funciones, derivadas e integrales
He publicado nuevos ejercicios de 1º Álgebra Lineal y Matemática Discreta: MD-Ejercicios-Tipo.pdf
He publicado nuevos ejercicios de 1º Álgebra Lineal y Matemática Discreta: MD-Ejercicios-Relaciones.pdf
He publicado nuevos apuntes de 1º Álgebra Lineal y Matemática Discreta: MD-T.4-GRAFOS.pdf
He publicado nuevos apuntes de 1º Álgebra Lineal y Matemática Discreta: MD-T.3-RETICULOS.pdf
He publicado nuevos apuntes de 1º Álgebra Lineal y Matemática Discreta: MD-T.-2-NATURALES-Y-ENTEROS.pdf
He publicado nuevos apuntes de 1º Álgebra Lineal y Matemática Discreta: MD-T.-1-CONJUNTOS-Y-RELACIONES.pdf
He publicado nuevos apuntes de 1º Álgebra Lineal y Matemática Discreta: Aritmetica-Entera-Modular.-Teoria-De-Conjuntos.pdf
examenes
-
Parcial-13/12/2024
He publicado nuevos examenes de 1º Álgebra Lineal y Matemática Discreta: Parcial-13/12/2024
apuntes
-
Tema 4 - Apuntes y ejercicios resueltos
Curso 2024-25
apuntes
-
Tema 3 - Apuntes y ejercicios resueltos
Curso 2024-25
apuntes
-
Tema 2 - Apuntes y ejercicios resueltos
Curso 2024-25
apuntes
-
Tema 1 - Apuntes y ejercicios resueltos
Curso 2024-25
He publicado nuevos ejercicios de 1º Álgebra Lineal y Matemática Discreta: EJERCICIOS-ALGEBRA-LINEAL.pdf
He publicado nuevos examenes de 1º Álgebra Lineal y Matemática Discreta: 2º-Parcial-Mat-Discreta-2025.pdf
He publicado nuevos examenes de 1º Álgebra Lineal y Matemática Discreta: 1º-Parcial-Algebra-Lineal-i-MD-2025.pdf
He publicado nuevos ejercicios de 1º Álgebra Lineal y Matemática Discreta: Algebra-parte-1.pdf
He publicado nuevos ejercicios de 1º Álgebra Lineal y Matemática Discreta: Tema2-Ejercicios.pdf
He publicado nuevos ejercicios de 1º Álgebra Lineal y Matemática Discreta: Tema1-Ejercicios.pdf
He publicado nuevos ejercicios de 1º Álgebra Lineal y Matemática Discreta: Tema2-Ejercicios.pdf
He publicado nuevos apuntes de 1º Álgebra Lineal y Matemática Discreta: Resumen-T1.pdf
He publicado nuevos ejercicios de 1º Álgebra Lineal y Matemática Discreta: Problemas-1.pdf
He publicado nuevos apuntes de 1º Álgebra Lineal y Matemática Discreta: Apuntes-algebra-lineal.pdf
Examen convocatoria extraordinaria Algebra Lineal curso 2024/2025
Examen ordinario y extraordinario de matemática discreta curso 2024/2025
examenes
-
Exámenes Resueltos Paso a Paso
PLAN 2023
He publicado nuevos apuntes de 1º Álgebra Lineal y Matemática Discreta: Resumen-Importante-Procedimientos.pdf
He publicado nuevos examenes de 1º Álgebra Lineal y Matemática Discreta: Examen-Enero-2025.pdf
He publicado nuevos examenes de 1º Álgebra Lineal y Matemática Discreta: EXAMEN-JULIO-2022.pdf
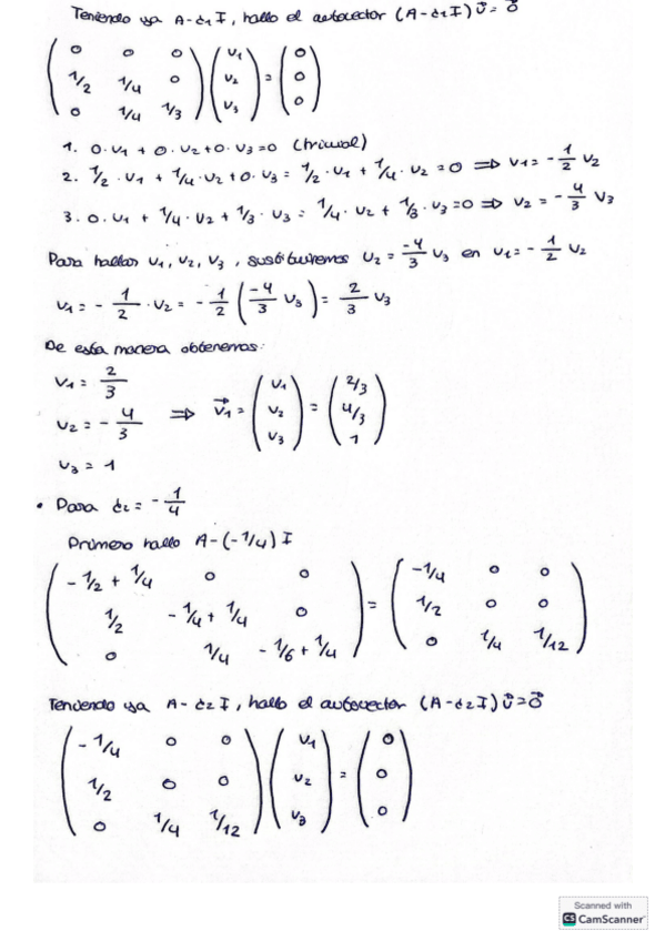
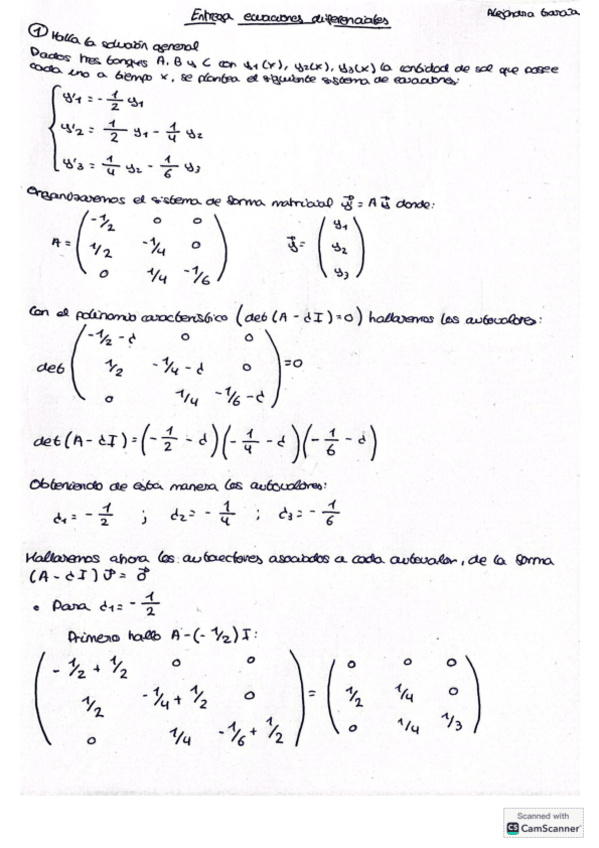
He publicado nuevos apuntes de 1º Álgebra Lineal y Matemática Discreta: EntregaEcuacionesDiferenciales.pdf
He publicado nuevos apuntes de 1º Álgebra Lineal y Matemática Discreta: Algebra-Parte-2.pdf
