Álgebra Lineal

chevron_left
chevron_right
Todo
Apuntes
Ejercicios
Exámenes
Otros
publication
chevron_left
chevron_right

Primer Parcial de Algebra Lineal del tema 1 (espacios vectoriales) y del tema 2 (subespacios vectoriales)

4 páginas

He publicado nuevos apuntes de 1º Álgebra Lineal: Teoria-Completa-Clases-Algebra-Lineal-PARTE-1.pdf

62 páginas

He publicado nuevos apuntes de 1º Álgebra Lineal: Teoria-Completa-Clases-Algebra-Lineal-PARTE-2.pdf

57 páginas

apuntes

-

TEORÍA ÁLGEBRA LINEAL TEMAS 1 AL 7

He publicado nuevos apuntes de 1º Álgebra Lineal: TEORÍA ÁLGEBRA LINEAL TEMAS 1 AL 7

TEORIA-T1-AL.pdf
TEORIA-T2-AL.pdf
TEORIA-T3-AL.pdf
TEORIA-T4-AL.pdf
TEORIA-T5-AL.pdf
TEORIA-T6-AL.pdf

apuntes

-

Apuntes AL

He publicado nuevos apuntes de 1º Álgebra Lineal: Apuntes AL

T5.-ALGEBRA-LINEAL.pdf
T4.-ALGEBRA-LINEAL.pdf
T6.-ALGEBRA-LINEAL.pdf
T7.-ALGEBRA-LINEAL.pdf

apuntes

-

temario completo

He publicado nuevos apuntes de 1º Álgebra Lineal: temario completo

Bloque-1.pdf
Bloque-II.pdf
Bloque-III.pdf

ejercicios

-

Problemas t.1-t.7

He publicado nuevos ejercicios de 1º Álgebra Lineal: Problemas t.1-t.7

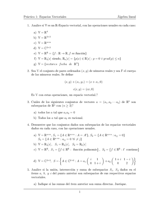
SubespaciosVectoriales.pdf
Formas-bilineales-y-formas-cuadraticas.pdf
Espacio-vectorial-euclideo.pdf
espacios-vectoriales.pdf
Diagonalizacion.pdf
Aplicaciones-lineales.pdf

apuntes

-

Teoría y ejercicios t.1-t.7

He publicado nuevos apuntes de 1º Álgebra Lineal: Teoría y ejercicios t.1-t.7

Tema-7.pdf
Tema-6.pdf
Tema-5.pdf
Tema-4.pdf
Tema-3.pdf
Tema-2.pdf

He publicado nuevos apuntes de 1º Álgebra Lineal: Algebra-lineal.nb

Miniatura no disponible

He publicado nuevos apuntes de 1º Álgebra Lineal: Algebra-lineal.pdf

14 páginas

He publicado nuevos apuntes de 1º Álgebra Lineal: ApuntesdeAlgebraLineal-1.pdf

50 páginas

He publicado nuevos apuntes de 1º Álgebra Lineal: Apuntes-algebra-lineal.pdf

45 páginas

He publicado nuevos apuntes de 1º Álgebra Lineal: AL-convocatoria240524120029.pdf

42 páginas

apuntes

-

Apuntes de clase GPP

He publicado nuevos apuntes de 1º Álgebra Lineal: Apuntes de clase GPP

Espacios-vectoriales-tema-1-GPP.pdf
Subespacios-vectoriales-tema-2-GPP.pdf
Aplicaciones-lineales-tema-4-GPP.pdf
Espacio-vectorial-EuclideoTema-3-GPP.pdf
Diagonalizacion-de-matrices-Tema-5240519104341.pdf
Formas-bilineales-y-cuadraticas.pdf

He publicado nuevos apuntes de 1º Álgebra Lineal: Tema-2-Subespacios-vectoriales.pdf

9 páginas

apuntes

-

Apuntes Álgebra Lineal

He publicado nuevos apuntes de 1º Álgebra Lineal: Apuntes Álgebra Lineal

Tema0ALMatrices.pdf
Tema1AL.pdf
Tema2ALSubespaciosVectoriales.pdf

He publicado nuevos apuntes de 1º Álgebra Lineal: Tema-1-Espacios-vectoriales.-Bases.pdf

9 páginas

He publicado nuevos apuntes de 1º Álgebra Lineal: Tema-2-AL.pdf

25 páginas

He publicado nuevos apuntes de 1º Álgebra Lineal: Tema-1-AL.pdf

25 páginas

He publicado nuevos apuntes de 1º Álgebra Lineal: ALGEBRA-LINEAL.pdf

63 páginas

He publicado nuevos apuntes de 1º Álgebra Lineal: Tema-3-y-4-Resumen-teoria.pdf

2 páginas

He publicado nuevos apuntes de 1º Álgebra Lineal: TEMA-1-Y-2-Resumen-teoria.pdf

3 páginas

He publicado nuevos examenes de 1º Álgebra Lineal: EXAMENES-RESUELTOS.pdf

8 páginas

He publicado nuevos ejercicios de 1º Álgebra Lineal: EJERCICIOS-TODOS-LOS-TEMAS.pdf

42 páginas

apuntes

-

APUNTES TODOS LOS TEMAS

He publicado nuevos apuntes de 1º Álgebra Lineal: APUNTES TODOS LOS TEMAS

TEMA-1.pdf
TEMA-2.pdf
TEMA-3.pdf
TEMA-4.pdf
TEMA-5.pdf
TEMA-6.pdf

He publicado nuevos examenes de 1º Álgebra Lineal: Examen-Septiembre-2023.pdf

2 páginas

He publicado nuevos examenes de 1º Álgebra Lineal: Examen2-Junio-2018-RESUELTO.pdf

7 páginas

He publicado nuevos examenes de 1º Álgebra Lineal: Examen-Septiembre-2019-RESUELTO.pdf

7 páginas

He publicado nuevos examenes de 1º Álgebra Lineal: Examen-Septiembre-2022-RESUELTO.pdf

6 páginas

He publicado nuevos examenes de 1º Álgebra Lineal: Examen-Junio-2018-RESUELTO.pdf

8 páginas

He publicado nuevos examenes de 1º Álgebra Lineal: Ejercicios-de-examenes-RESUELTOS.pdf

7 páginas

He publicado nuevos apuntes de 1º Álgebra Lineal: Definiciones-temas-1-5.pdf

5 páginas

He publicado nuevos examenes de 1º Álgebra Lineal: Examen-Junio-2023.pdf

1 página

He publicado nuevos apuntes de 1º Álgebra Lineal: Tema-4-Algebra-Lineal-Resumen.pdf

3 páginas

He publicado nuevos apuntes de 1º Álgebra Lineal: Tema-3-Algebra-Lineal-Resumen.pdf

4 páginas

He publicado nuevos apuntes de 1º Álgebra Lineal: Tema-2-Algebra-Lineal-Resumen.pdf

4 páginas

He publicado nuevos apuntes de 1º Álgebra Lineal: Algebra-Lineal-Resumen-Todo.pdf

19 páginas

He publicado nuevos apuntes de 1º Álgebra Lineal: Tema-1-Algebra-Lineal-Resumen.pdf

4 páginas

He publicado nuevos apuntes de 1º Álgebra Lineal: Tema-5-Algebra-Lineal-Resumen.pdf

4 páginas

apuntes

-

Apuntes Teoría

He publicado nuevos apuntes de 1º Álgebra Lineal: Apuntes Teoría

Teoria-primer-parcial.pdf
Teoria-segunda-parcial.pdf
Teoria-tercer-parcial.pdf
Teoria-super-resumida.pdf

He publicado nuevos apuntes de 1º Álgebra Lineal: Propiedades-y-demostraciones.pdf

13 páginas

He publicado nuevos examenes de 1º Álgebra Lineal: Algebra-Lineal.pdf

4 páginas

He publicado nuevos apuntes de 1º Álgebra Lineal: ejercicios-resueltos.pdf

8 páginas

He publicado nuevos ejercicios de 1º Álgebra Lineal: ejercicios-resueltos.pdf

10 páginas

He publicado nuevos ejercicios de 1º Álgebra Lineal: ejercicios.pdf

3 páginas

examen final 2021

3 páginas

Examen final 2021

examen para aprobar la asignatura álgebra lineal

He publicado nuevos examenes de 1º Álgebra Lineal: septiembre-2022.pdf

1 página

He publicado nuevos examenes de 1º Álgebra Lineal: Notebloc974F995A-E250-4EF3-BD10-F808227AE408-35526-000007939550BD50.pdf

5 páginas
Anónimo

@Anónimo

He publicado nuevos apuntes de 1º Álgebra Lineal: Notebloc9DF3786F-8996-44FD-98D4-8F46A3410FB0-430-000002744B9ECAF7.pdf

6 páginas
Anónimo

@Anónimo

He publicado nuevos examenes de 1º Álgebra Lineal: NoteblocF73BEA58-F1C8-406D-9968-9374C6E0EB4C-85545-00001CC3034E171F.pdf

4 páginas

He publicado nuevos examenes de 1º Álgebra Lineal: Tests.pdf

4 páginas

He publicado nuevos apuntes de 1º Álgebra Lineal: ALGEBRA-LINEAL-1.pdf

17 páginas

examenes

-

Exámenes AL RESUELTOS

He publicado nuevos examenes de 1º Álgebra Lineal: Exámenes AL RESUELTOS

FEB-2020.pdf
SEPT-2019.pdf
FINAL-AL.pdf

He publicado nuevos apuntes de 1º Álgebra Lineal: TEORIA-AL.pdf

46 páginas

He publicado nuevos examenes de 1º Álgebra Lineal: MERGED5FILES10-6-2020-21-36-49.pdf

7 páginas

He publicado nuevos apuntes de 1º Álgebra Lineal: TEMA-5-Masde160problemasresueltos.pdf

28 páginas

He publicado nuevos apuntes de 1º Álgebra Lineal: TEMA-4Masde160problemasresueltos.pdf

38 páginas

ejercicios

-

Álgebra Lineal TODO APUNTES Y EJERCICIOS

He publicado nuevos ejercicios de 1º Álgebra Lineal: Álgebra Lineal TODO APUNTES Y EJERCICIOS

Apuntes-Algebra-Lineal-Completos.pdf
Ejercicios-Algebra-Lineal-Completos.pdf

He publicado nuevos apuntes de 1º Álgebra Lineal: TEMA-3Masde160problemasresueltos.pdf

14 páginas