Todo
Apuntes
Ejercicios
Exámenes
Trabajos
chevron_left
chevron_right

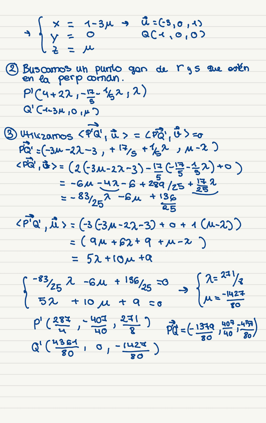
Ejercicios, posiblemente correspondan a un examen.

4 páginas

Últimos exámenes finales (resueltos)

31 páginas

He publicado nuevos ejercicios de 1º Álgebra Lineal: TAREA-4.-Espacio-vectorial-euclideo.pdf

4 páginas

He publicado nuevos ejercicios de 1º Álgebra Lineal: TAREA-3.-Aplicaciones-lineales-y-diagonalizacion.pdf

2 páginas

He publicado nuevos ejercicios de 1º Álgebra Lineal: Ejercicios-Tema-2.pdf

4 páginas

He publicado nuevos apuntes de 1º Álgebra Lineal: Apuntes-tema-4.pdf

1 página

He publicado nuevos apuntes de 1º Álgebra Lineal: Apuntes-tema-5.pdf

5 páginas

He publicado nuevos apuntes de 1º Álgebra Lineal: Apuntes-tema6.pdf

3 páginas
Anónimo

@Anónimo

He publicado nuevos examenes de 1º Álgebra Lineal: 2024-enero-hecho.pdf

4 páginas

He publicado nuevos examenes de 1º Álgebra Lineal: 2023-enero-hecho.pdf

2 páginas
Anónimo

@Anónimo

He publicado nuevos apuntes de 1º Álgebra Lineal: 2024-febrero-hecho.pdf

3 páginas

He publicado nuevos examenes de 1º Álgebra Lineal: 2024-octubre-hecho.pdf

2 páginas

He publicado nuevos examenes de 1º Álgebra Lineal: 2023-septiembre-hecho.pdf

2 páginas

He publicado nuevos examenes de 1º Álgebra Lineal: 2022-julio-hecho.pdf

2 páginas

He publicado nuevos examenes de 1º Álgebra Lineal: 2021-diciembre-hecho.pdf

2 páginas

apuntes

-

Resueltos de exámenes

He publicado nuevos apuntes de 1º Álgebra Lineal: Resueltos de exámenes

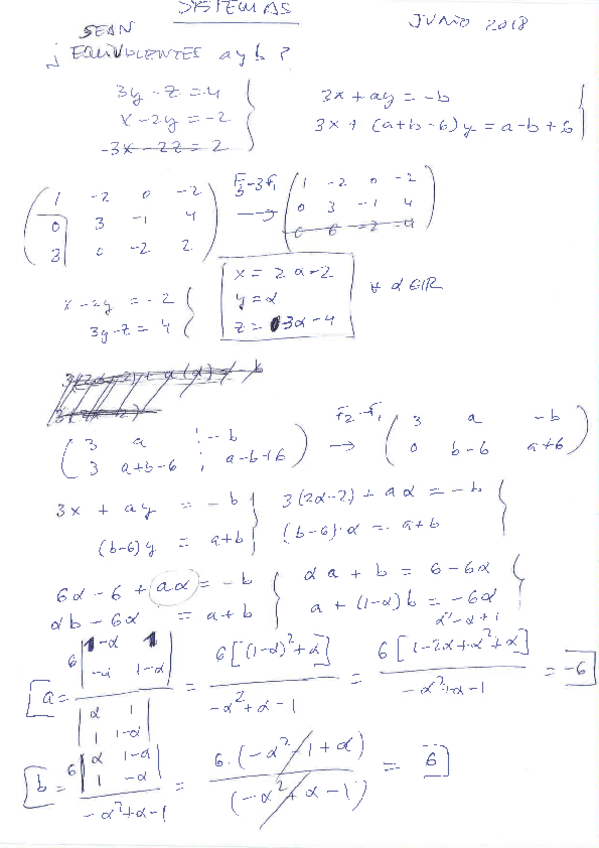
RESUELTO-SISTEMAS-EQUIVALENTES.pdf

He publicado nuevos apuntes de 1º Álgebra Lineal: Apuntes-T1-4.pdf

4 páginas

He publicado nuevos trabajos de 1º Álgebra Lineal: Tarea-T5.pdf

10 páginas

He publicado nuevos apuntes de 1º Álgebra Lineal: ALGEBRA-T5-apuntes-y-ejemplos.pdf

8 páginas

He publicado nuevos apuntes de 1º Álgebra Lineal: ALGEBRA-T4-apuntes-y-ejemplos.pdf

9 páginas

He publicado nuevos apuntes de 1º Álgebra Lineal: ALGEBRA-T3-apuntes-y-ejemplos.pdf

5 páginas

He publicado nuevos apuntes de 1º Álgebra Lineal: ALGEBRA-T1-T2-apuntes-y-ejem.pdf

12 páginas

examenes

-

Examenes Resuletos con enunciado

Corregidos por profesor

Julio2022.pdf
Febrero2022.pdf
Enero2023.pdf
Septiembre2023.pdf
Septiembre2021.pdf
Septiembre2019.pdf

examenes

-

Exámenes

He publicado nuevos examenes de 1º Álgebra Lineal: Exámenes

2012-febrero.jpeg
2013-febrero.jpg
Miniatura no disponible
2013-septiembre.jpeg
2014-febrero.jpeg
2015-febrero.jpeg
2016-febrero.jpeg

He publicado nuevos apuntes de 1º Álgebra Lineal: Tema-4-ESPACIO-VECTORIAL-EUCLIDEO.pdf

11 páginas

He publicado nuevos apuntes de 1º Álgebra Lineal: Tema-3-APLICACIONES-LINEALES-Y-DIAGONALIZACION.pdf

10 páginas

Nota: 9

11 páginas

He publicado nuevos apuntes de 1º Álgebra Lineal: TEMA-1-SISTEMAS-DE-ECUACIONES-LINEALES.pdf

4 páginas

He publicado nuevos apuntes de 1º Álgebra Lineal: TEMA-2-ESPACIOS-VECTORIALES.pdf

5 páginas

He publicado nuevos examenes de 1º Álgebra Lineal: SEP-2023-CORREGIDO.pdf

9 páginas

He publicado nuevos examenes de 1º Álgebra Lineal: EXAMEN-SEP19-RESUELTO.pdf

5 páginas

He publicado nuevos examenes de 1º Álgebra Lineal: EXAMEN-FEB19-RESUELTO.pdf

5 páginas

He publicado nuevos apuntes de 1º Álgebra Lineal: Tema2.Algebra-lineal..pdf

26 páginas

He publicado nuevos apuntes de 1º Álgebra Lineal: Tema3.Algebra-lineal..pdf

44 páginas

He publicado nuevos apuntes de 1º Álgebra Lineal: Tema-5-Algebra.pdf

16 páginas

Apuntes completos de clase y teoría 2022-2023

20 páginas

Apuntes completos de clase y teoría 2022-2023

17 páginas

Apuntes completos de clase y teoría 2022-2023

23 páginas

Apuntes completos de clase y teoría 2022-2023

16 páginas

examenes

-

EXÁMENES

He publicado nuevos examenes de 1º Álgebra Lineal: EXÁMENES

2022-julio.pdf
2022-febrero.pdf
2021-septiembre.pdf
2021-diciembre.pdf
2020-febrero.pdf
2023-enero.pdf

apuntes

-

Resumen cada tema

He publicado nuevos apuntes de 1º Álgebra Lineal: Resumen cada tema

Aplicaciones-Lineales-T3.pdf
Espacios-Vectoriales-T2.pdf
fEspacio-Vectorial-Euclideo-T4.pdf
Geometria-Afin-Y-Euclidea-T5.pdf
Grafos.pdf

He publicado nuevos ejercicios de 1º Álgebra Lineal: T6-Ejercicios-Resueltos.pdf

5 páginas

He publicado nuevos ejercicios de 1º Álgebra Lineal: Ejercicio-3.1-Examen-FEB20.pdf

1 página

He publicado nuevos ejercicios de 1º Álgebra Lineal: T5-Ejercicios-Resueltos.pdf

6 páginas

He publicado nuevos examenes de 1º Álgebra Lineal: EXAMEN-FEB20-RESUELTO.pdf

5 páginas
Anónimo

@Anónimo

He publicado nuevos examenes de 1º Álgebra Lineal: EXAMEN-FEBRERO-2020-RESUELTO-COMPLETO.pdf

4 páginas

He publicado nuevos examenes de 1º Álgebra Lineal: EXAMEN-SEP21-RESUELTO.pdf

6 páginas

He publicado nuevos examenes de 1º Álgebra Lineal: EXAMEN-DIC21-RESUELTO.pdf

6 páginas

He publicado nuevos examenes de 1º Álgebra Lineal: EXAMEN-RESUELTO-FEB-22.pdf

8 páginas
Anónimo

@Anónimo

He publicado nuevos examenes de 1º Álgebra Lineal: EXAMEN RESUELTO JULIO 22'.pdf

3 páginas
Anónimo

@Anónimo

He publicado nuevos examenes de 1º Álgebra Lineal: EXAMEN RESUELTO FEBRERO 22' COMPLETO.pdf

4 páginas

He publicado nuevos ejercicios de 1º Álgebra Lineal: T4-Ejercicios-Resueltos.pdf

8 páginas

He publicado nuevos examenes de 1º Álgebra Lineal: EXAMEN-RESUELTO-JULIO-2022.pdf

7 páginas
Anónimo

@Anónimo

He publicado nuevos apuntes de 1º Álgebra Lineal: RESUMEN COMPLETO EN UN FOLIO(T1-T6).pdf

3 páginas

He publicado nuevos ejercicios de 1º Álgebra Lineal: T3-Ejercicios-Resueltos.pdf

8 páginas
Anónimo

@Anónimo

Apuntes para aprobar Algebra Lineal. Sistemas de ecuaciones, espacios vectoriales, diagonalizacion, grafos...

10 páginas
Anónimo

@Anónimo

He publicado nuevos apuntes de 1º Álgebra Lineal: resumen-tema-5-algebra.pdf

6 páginas
Anónimo

@Anónimo

He publicado nuevos apuntes de 1º Álgebra Lineal: resumen-y-ejercicios-tema-4.pdf

10 páginas
Anónimo

@Anónimo

He publicado nuevos apuntes de 1º Álgebra Lineal: ejercicios-tema-3-algebra.pdf

10 páginas
Anónimo

@Anónimo

He publicado nuevos apuntes de 1º Álgebra Lineal: ejercicios-tema-2-algebra.pdf

10 páginas