chevron_left
chevron_right
Todo
Apuntes
Ejercicios
chevron_left
chevron_right

He publicado nuevos apuntes de 2º Álgebra Lineal: ALResumenTransformaciones-Lineales.pdf

1 página

He publicado nuevos apuntes de 2º Álgebra Lineal: ALResumen-Producto-Interno.pdf

1 página

ejercicios

-

Algebra Líneal Tareas 21-28 Barrera

He publicado nuevos ejercicios de 2º Álgebra Lineal: Algebra Líneal Tareas 21-28 Barrera

AL-Tarea-23.pdf
AL-Tarea-25.pdf
AL-Tarea-26.pdf
AL-Tarea-27.pdf
AL-Tarea-28.pdf
AL-Tarea-21.pdf

He publicado nuevos ejercicios de 2º Álgebra Lineal: AL-Tarea-14.pdf

2 páginas

apuntes

-

Espacios Vectoriales

He publicado nuevos apuntes de 2º Álgebra Lineal: Espacios Vectoriales

tarea3.pdf
Tarea6.pdf
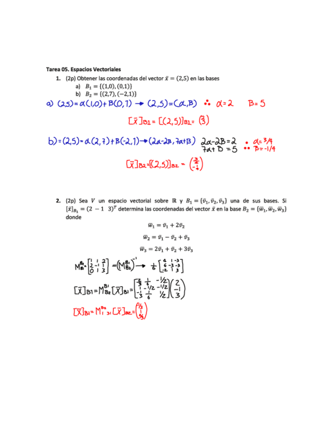
Tarea5.pdf
Tarea4.pdf

apuntes

-

Grupos y campos

He publicado nuevos apuntes de 2º Álgebra Lineal: Grupos y campos

Gruposycampos.pdf
Gruposycampos2.pdf
¡Estás al día!

¡Estás al día!

Has visto todos los archivos