Algebra Superior

chevron_left
chevron_right
Todo
Apuntes
Preguntas
Ejercicios
Exámenes
publication
Trabajos
chevron_left
chevron_right

He publicado nuevos apuntes de 1º Algebra Superior: final008.Documento.pdf

12 páginas

He publicado nuevos ejercicios de 1º Algebra Superior: Ejercicios-repaso.-Algebra.pdf

12 páginas

He publicado nuevos ejercicios de 1º Algebra Superior: Preparacion-examen-final.-Algebra.pdf

19 páginas

He publicado nuevos ejercicios de 1º Algebra Superior: Ley-de-senos.pdf

1 página

He publicado nuevos apuntes de 1º Algebra Superior: Ecuacion-Canonica-de-la-Elipse-1.pdf

1 página

He publicado nuevos apuntes de 1º Algebra Superior: Elementos-de-la-Parabola-1.pdf

1 página

He publicado nuevos apuntes de 1º Algebra Superior: Ecuacion-general-de-la-Recta.pdf

1 página

He publicado nuevos apuntes de 1º Algebra Superior: Areas-de-Poligonos.pdf

3 páginas

He publicado nuevos apuntes de 1º Algebra Superior: Tablas-de-identidades-trigonometricas.pdf

2 páginas

He publicado nuevos apuntes de 1º Algebra Superior: Geometria-analitica.pdf

3 páginas

He publicado nuevos examenes de 1º Algebra Superior: Metodo-de-Evaluacion-de-ecuaciones-polinomiales.pdf

4 páginas

He publicado nuevos ejercicios de 1º Algebra Superior: Ecuaciones-de-Primer-Grado.pdf

1 página

He publicado nuevos ejercicios de 1º Algebra Superior: Division-de-Monomios-y-Polinomios.pdf

1 página

He publicado nuevos apuntes de 1º Algebra Superior: Cuaderno.-Algebra.pdf

145 páginas

Este documento es una introducción a los monoides, una estructura algebraica fundamental en matemáticas. Explica qué es un monoide, sus propiedades principales y presenta ejemplos concretos, como los números naturales con la suma y la multiplicación.

7 páginas

En este documento se aborda la definición de función, su clasificación, sus reglas y algunos ejemplos para una mejor explicación.

21 páginas

Este documento es una guía completa sobre la forma exponencial de los números complejos. Explica desde los conceptos básicos de números complejos hasta su relación con exponentes, raíces y logaritmos, incluyendo referencias a figuras como Euler y Napier.

20 páginas

He publicado nuevos trabajos de 1º Algebra Superior: Taller-de-Algebra-Lineal.pdf

10 páginas

He publicado nuevos apuntes de 1º Algebra Superior: Guia-Combinatoria.pdf

2 páginas

Grupos Cocientes

Alguien tiene apuntes de como generar las clases laterales y el conjunto cociente de un grupo? De manera aplicativo

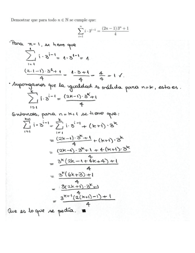
He publicado nuevos apuntes de 1º Algebra Superior: Algunos-ejercicios-de-Induccion.pdf

3 páginas

He publicado nuevos apuntes de 1º Algebra Superior: Sumatorias-Algebra-I.pdf

8 páginas

He publicado nuevos apuntes de 1º Algebra Superior: Desigualdad-de-las-Medias-Algebra-I.pdf

8 páginas

He publicado nuevos apuntes de 1º Algebra Superior: Funcion-Cuadratica-Algebra-I.pdf

10 páginas

He publicado nuevos apuntes de 1º Algebra Superior: Numeros-Naturales-e-Induccion-Algebra-I.pdf

4 páginas

He publicado nuevos apuntes de 1º Algebra Superior: Teoria-de-Conjuntos-Algebra-I.pdf

4 páginas

He publicado nuevos apuntes de 1º Algebra Superior: Polinomios-parte-2-Algebra.pdf

6 páginas

He publicado nuevos apuntes de 1º Algebra Superior: Polinomios-Algebra.pdf

10 páginas

He publicado nuevos apuntes de 1º Algebra Superior: 1er-Semestre.pdf

32 páginas

Primer clase. Argumentos, qué son, tipos y proposiciones

2 páginas

He publicado nuevos apuntes de 1º Algebra Superior: conjuntos1.3.pdf

1 página

He publicado nuevos apuntes de 1º Algebra Superior: conjuntos1.2.pdf

1 página

He publicado nuevos apuntes de 1º Algebra Superior: conjuntos1.1.pdf

1 página

He publicado nuevos apuntes de 1º Algebra Superior: conjuntos1.pdf

1 página

He publicado nuevos apuntes de 1º Algebra Superior: CalculocompletoVol1y29naEdicionR.pdf

Miniatura no disponible
pdf

He publicado nuevos apuntes de 1º Algebra Superior: ENSAYOAGENDA2030POPOSITO13..pdf

13 páginas

He publicado nuevos apuntes de 1º Algebra Superior: arreglos-unidimensionales.pdf

9 páginas

He publicado nuevos apuntes de 1º Algebra Superior: repaso-matrices.pdf

16 páginas

He publicado nuevos apuntes de 1º Algebra Superior: Tarea-1Algebra.pdf

2 páginas

He publicado nuevos apuntes de 1º Algebra Superior: Tarea-2.pdf

6 páginas

He publicado nuevos apuntes de 1º Algebra Superior: Tarea-3.pdf

6 páginas

He publicado nuevos apuntes de 1º Algebra Superior: Tarea-4.pdf

8 páginas

He publicado nuevos apuntes de 1º Algebra Superior: Logica-matematica.pdf

10 páginas
Anónimo

@Anónimo

He publicado nuevos apuntes de 1º Algebra Superior: LogicaAlgebra-Superior.pdf

8 páginas
Anónimo

@Anónimo

He publicado nuevos apuntes de 1º Algebra Superior: Leyes-de-Inferencia-e-IgualdadAlgebra-Superior.pdf

6 páginas
Anónimo

@Anónimo

He publicado nuevos apuntes de 1º Algebra Superior: CuantificadoresAlgebra-Superior.pdf

4 páginas

He publicado nuevos apuntes de 1º Algebra Superior: TAREAEXAMEN3.DPCM.pdf

9 páginas

He publicado nuevos apuntes de 1º Algebra Superior: Teoria-de-conjuntos.pdf

6 páginas

He publicado nuevos apuntes de 1º Algebra Superior: Polinomios.pdf

4 páginas

He publicado nuevos apuntes de 1º Algebra Superior: Numeros-complejo.pdf

4 páginas

He publicado nuevos apuntes de 1º Algebra Superior: Teoria-de-Numeros-I.pdf

4 páginas

He publicado nuevos apuntes de 1º Algebra Superior: Tablas-de-verdad.pdf

4 páginas

He publicado nuevos apuntes de 1º Algebra Superior: LgicaMatemtica.pdf

4 páginas

He publicado nuevos apuntes de 1º Algebra Superior: EsfuerzosporFlexionGOESA.pdf

16 páginas

He publicado nuevos apuntes de 1º Algebra Superior: EsfuerzosCortantesGOESA.pdf

7 páginas

He publicado nuevos apuntes de 1º Algebra Superior: TorsionPuraGOEA.pdf

10 páginas

matriz

decifrar matrices

Anónimo

@Anónimo

He publicado nuevos apuntes de 1º Algebra Superior: Leyes-de-equivalencia.pdf

2 páginas
Anónimo

@Anónimo

He publicado nuevos apuntes de 1º Algebra Superior: Argumento-y-leyes-de-inferencia.pdf

3 páginas
Anónimo

@Anónimo

He publicado nuevos apuntes de 1º Algebra Superior: Tablas-de-verdad.pdf

4 páginas
¡Estás al día!

¡Estás al día!

Has visto todos los archivos