Álgebra y Fundamentos de Análisis

chevron_left
chevron_right
Todo
Apuntes
Ejercicios
Exámenes
Prácticas
Test
chevron_left
chevron_right

He publicado nuevos apuntes de 1º Álgebra y Fundamentos de Análisis: Matrices-apuntes.pdf

4 páginas

He publicado nuevos apuntes de 1º Álgebra y Fundamentos de Análisis: PRACTICA-ESPACIOS-VECTORIALES.pdf

3 páginas

He publicado nuevos apuntes de 1º Álgebra y Fundamentos de Análisis: PRACTICA-3-COMPLETA.pdf

5 páginas

He publicado nuevos apuntes de 1º Álgebra y Fundamentos de Análisis: EXAMEN-RESUELTO-2022.pdf

8 páginas

He publicado nuevos apuntes de 1º Álgebra y Fundamentos de Análisis: EXAMEN-RESUELTO-2.pdf

6 páginas

He publicado nuevos apuntes de 1º Álgebra y Fundamentos de Análisis: EXAMEN-RESUELTO-1.pdf

7 páginas

He publicado nuevos apuntes de 1º Álgebra y Fundamentos de Análisis: Algunos-ejercicios-de-todos-los-temas.pdf

19 páginas

apuntes

-

Apuntes por temas

He publicado nuevos apuntes de 1º Álgebra y Fundamentos de Análisis: Apuntes por temas

Apuntes-tema-1.pdf
Apuntes-tema-2.pdf
Apuntes-tema-3.pdf
Apuntes-tema-4.pdf

ejercicios

-

PROBLEMAS

He publicado nuevos ejercicios de 1º Álgebra y Fundamentos de Análisis: PROBLEMAS

T2ALGEBRA.pdf
T3ALGEBRA.pdf
T4ALGEBRA.pdf

ejercicios

-

PROBLEMAS Y APUNTES

He publicado nuevos ejercicios de 1º Álgebra y Fundamentos de Análisis: PROBLEMAS Y APUNTES

T4.pdf
T3.pdf
T2.pdf
T1.pdf

He publicado nuevos apuntes de 1º Álgebra y Fundamentos de Análisis: PRACTICA-3.-Wolfram.nb

Miniatura no disponible

He publicado nuevos apuntes de 1º Álgebra y Fundamentos de Análisis: PRACTICA-2.-Wolfram..nb

Miniatura no disponible

He publicado nuevos apuntes de 1º Álgebra y Fundamentos de Análisis: PRACTICA-1.-Wolfram..nb

Miniatura no disponible

apuntes

-

Teoría 24-25

He publicado nuevos apuntes de 1º Álgebra y Fundamentos de Análisis: Teoría 24-25

teoriatema1.pdf
teoriatema2.pdf
teoriatema3.pdf
teoriatema4.pdf

Teoría y comandos básicos para examen de wolfram

5 páginas

He publicado nuevos apuntes de 1º Álgebra y Fundamentos de Análisis: Wolfram-Resumen.pdf

4 páginas

practicas

-

Prácticas de Wolfram

He publicado nuevos practicas de 1º Álgebra y Fundamentos de Análisis: Prácticas de Wolfram

Miniatura no disponible
examen-I-de-Wolfram.nb
Miniatura no disponible
examen-II-de-Wolfram.nb
Miniatura no disponible
examen-de-Wolfram-de-2022.nb
Miniatura no disponible
Practica-4-y-5-Wolfram.nb
Miniatura no disponible
Practica-2-Wolfram.nb
Miniatura no disponible
Practica-1-Wolfram.nb

ejercicios

-

problemas de álgebra

He publicado nuevos ejercicios de 1º Álgebra y Fundamentos de Análisis: problemas de álgebra

repaso-del-tema-1.pdf
repaso-del-tema-4.pdf
repaso-del-tema-3.pdf
repaso-del-tema-2.pdf

practicas

-

Prácticas Wolfram

He publicado nuevos practicas de 1º Álgebra y Fundamentos de Análisis: Prácticas Wolfram

practica-1-wolfram.pdf
practica-2-wolfram.pdf
practica-3-wolfram.pdf

examenes

-

Exámenes resueltos álgebra

He publicado nuevos examenes de 1º Álgebra y Fundamentos de Análisis: Exámenes resueltos álgebra

1-Examen-resuelto-algebra.pdf
2-Examen-resuelto-algebra.pdf
Ejercicios-teoria-resueltos.pdf

apuntes

-

Problemas+Teoría-Álgebra

Problemas y ejercicios teóricos resueltos

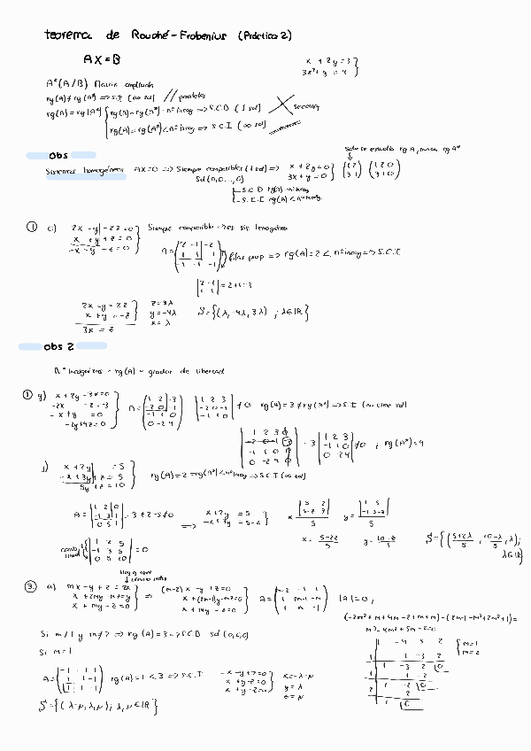
T2-Sistemas-de-ecuaciones.pdf
T3-esp-vectoriales-problemas.pdf
T4-aplicaciones-lineales-problemas.pdf
T4-Aplicaciones-lineales-teoria.pdf

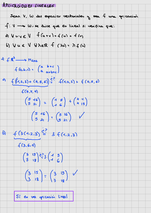
He publicado nuevos apuntes de 1º Álgebra y Fundamentos de Análisis: 4.-APLICACIONES-LINEALES.pdf

5 páginas

He publicado nuevos apuntes de 1º Álgebra y Fundamentos de Análisis: 3.-ESPACIOS-VECTORIALES.pdf

4 páginas

Resumen del temario de todo el cuatrimestre y guía para utilizar Wolfram

14 páginas
Anónimo

@Anónimo

He publicado nuevos apuntes de 1º Álgebra y Fundamentos de Análisis: 2.-SISTEMAS-DE-ECUACIONES-LINEALES.pdf

3 páginas
Anónimo

@Anónimo

He publicado nuevos apuntes de 1º Álgebra y Fundamentos de Análisis: 1.-MATRICES.pdf

8 páginas

apuntes

-

TODOS LOS APUNTES DE CLASE ÁLGEBRA 2023

Cada vez que el profesor acabe un tema, los iré subiendo :)

Tema-1-Matrices-APUNTES-CLASE-ALGEBRA.pdf
Tema-2-Sistemas-APUNTES-CLASE-ALGEBRA.pdf

He publicado nuevos examenes de 1º Álgebra y Fundamentos de Análisis: Ejercicios tipo examen Wolfram álgebra.pdf

3 páginas

apuntes

-

WOLFRAM (EPDS+EXÁMENES)

Soluciones explicadas de las EPDS y Exámenes propuestos

Miniatura no disponible
Examen-Resuelto-Entero-WOLFRAM-2018-2019.nb
Miniatura no disponible
Examen-Resuelto-Entero-WOLFRAM-2019-2020.nb
Miniatura no disponible
Examen-Resuelto-Entero-WOLFRAM-2020-2021.nb
Miniatura no disponible
WOLFRAM-Practica-1.nb
Miniatura no disponible
WOLFRAM-Practica-2-Parte-1.nb
Miniatura no disponible
WOLFRAM-Practica-2-Parte-2.nb
Anónimo

@Anónimo

apuntes

-

Resumen de fórmulas

He publicado nuevos apuntes de 1º Álgebra y Fundamentos de Análisis: Resumen de fórmulas

wolfram.pdf
resumen-teoria.pdf

apuntes

-

Practicas Wolfram (apuntes)

He publicado nuevos apuntes de 1º Álgebra y Fundamentos de Análisis: Practicas Wolfram (apuntes)

Practica-2.pdf
Practica-3.pdf

apuntes

-

Apuntes álgebra

Apuntes de todos los temas y resumen general

Resumen.pdf
T.4-Aplicaciones-Lineales.pdf
T.3-Espacios-Vectoriales.pdf
T.2-Sistemas-De-Ecuaciones-Lineales.pdf
T.1-Matrices.pdf

examenes

-

EXAMENES WOLFRAM

He publicado nuevos examenes de 1º Álgebra y Fundamentos de Análisis: EXAMENES WOLFRAM

EXAMEN-2020.pdf
EXAMEN-2018.pdf
EXAMEN-2021.pdf

apuntes

-

Ejercicios Wolfram

He publicado nuevos apuntes de 1º Álgebra y Fundamentos de Análisis: Ejercicios Wolfram

Miniatura no disponible
wuolah.nb
Miniatura no disponible
oracticar-examen.nb
Miniatura no disponible
practica-2.nb
Miniatura no disponible
Practica-3.nb
Miniatura no disponible
practica-1.nb
Miniatura no disponible
problemas-examen-todos.nb
Anónimo

@Anónimo

He publicado nuevos examenes de 1º Álgebra y Fundamentos de Análisis: EJERCICIOS-EXAMEN.pdf

2 páginas
Anónimo

@Anónimo

He publicado nuevos examenes de 1º Álgebra y Fundamentos de Análisis: EXAMEN-ALGEBRA.pdf

2 páginas
Anónimo

@Anónimo

examenes

-

EXAMENES

He publicado nuevos examenes de 1º Álgebra y Fundamentos de Análisis: EXAMENES

EXAMEN-2.pdf
EXAMEN-1.pdf

apuntes

-

Teoría esencial

He publicado nuevos apuntes de 1º Álgebra y Fundamentos de Análisis: Teoría esencial

Tema-2.pdf
Tema-1.pdf
Tema-3.pdf
Puntos-clave-para-tener-en-cuenta.pdf

examenes

-

Exámenes de Wolfram resueltos

He publicado nuevos examenes de 1º Álgebra y Fundamentos de Análisis: Exámenes de Wolfram resueltos

Examen1819.pdf
Examen4.pdf
Examen2.pdf
Examen1.pdf

apuntes

-

Prácticas resueltas de Wolfram

He publicado nuevos apuntes de 1º Álgebra y Fundamentos de Análisis: Prácticas resueltas de Wolfram

Practica-2.pdf
Practica-3.pdf
Practica-1.pdf

examenes

-

Examen

He publicado nuevos examenes de 1º Álgebra y Fundamentos de Análisis: Examen

Control-1.pdf

apuntes

-

Teoría

He publicado nuevos apuntes de 1º Álgebra y Fundamentos de Análisis: Teoría

Problemas.pdf
UD-1.pdf
UD-5.pdf
Cuestiones-teoricas.pdf
UD-3.pdf
Problemas.pdf

He publicado nuevos apuntes de 1º Álgebra y Fundamentos de Análisis: Resumen-completo-Algebra-y-fundamentos-de-analisis.pdf

8 páginas

He publicado nuevos practicas de 1º Álgebra y Fundamentos de Análisis: Práctica 3 resuelta.pdf

3 páginas

He publicado nuevos practicas de 1º Álgebra y Fundamentos de Análisis: Práctica 2 resuelta.pdf

6 páginas

He publicado nuevos examenes de 1º Álgebra y Fundamentos de Análisis: ExamenPráctica3.pdf

6 páginas

He publicado nuevos examenes de 1º Álgebra y Fundamentos de Análisis: Examen Wolfram 3 resuelto.pdf

8 páginas

He publicado nuevos practicas de 1º Álgebra y Fundamentos de Análisis: Práctica 1 resuelta.pdf

9 páginas

He publicado nuevos examenes de 1º Álgebra y Fundamentos de Análisis: Examen Wolfram 1.pdf

4 páginas

He publicado nuevos examenes de 1º Álgebra y Fundamentos de Análisis: Examen Wolfram 2.pdf

6 páginas

apuntes

-

Apuntes de teoría explicados

Combino los apuntes tomados en las EB y en las EPD. Los explico y explico ejemplos. (Apuntes para todos los niveles)

t.1 matrices.pdf
t.2 sistemas de ecuaciones lineales.pdf
t.3 espacios vectoriales.pdf
t.4 aplicaciones lineales.pdf

apuntes

-

TEORÍA

He publicado nuevos apuntes de 1º Álgebra y Fundamentos de Análisis: TEORÍA

APUNTES TEMA 1 MATRICES Y DETERMINANTES.pdf
APUNTES TEMA 2 SISTEMAS DE ECUACIONES Y GAUSS.pdf
APUNTES TEMA 3 DIAGONALIZACIÓN DE MATRICES.pdf
APUNTES TEMA 4 ESPACIOS Y SUBESPACIOS VECTORIALES.pdf
APUNTES TEMA 4 APLICACIONES LINEALES.pdf

He publicado nuevos apuntes de 1º Álgebra y Fundamentos de Análisis: EXAMEN 2011_2012.pdf

12 páginas

apuntes

-

WOLFRAM (TEORÍA)

Teoría necesaria de cómo usar el programa para llevar a cabo todas las prácticas

USO DEL WOLFRAM PRÁCTICA 1 .pdf
USO DEL WOLFRAM PRÁCTICA 2.docx
USO DEL WOLFRAM PRÁCTICA 3.pdf

practicas

-

WOLFRAM (PRÁCTICAS)

He publicado nuevos practicas de 1º Álgebra y Fundamentos de Análisis: WOLFRAM (PRÁCTICAS)

PRACTICA 1 WOLFRAM 2.pdf
PRACTICA 1 WOLFRAM 1.pdf
PRACTICA 2 DIAGONALIZACIÓN DE MATRICES.pdf
PRÁCTICA 3 WOLFRAM.pdf

practicas

-

EPD WOLFRAM

En esta carpeta voy a subir las prácticas de Wolfram en las que voy poniendo todo lo que se necesita saber para hacerlas (a modo de apuntes) y detalles que se nos pueden olvidar a la hora de hacer los ejercicios. Creo que estos archivos pueden ser muy úti

Práctica 1 wolfram.pdf
practica 2 wolfram espacios vectoriales y diagonalización de matrices.pdf
practica 3 resuelta.pdf

He publicado nuevos test de 1º Álgebra y Fundamentos de Análisis: 2013-10-17 CONTROL1.pdf

2 páginas

He publicado nuevos examenes de 1º Álgebra y Fundamentos de Análisis: Control_1.pdf

2 páginas

He publicado nuevos examenes de 1º Álgebra y Fundamentos de Análisis: Control_3.pdf

2 páginas

He publicado nuevos examenes de 1º Álgebra y Fundamentos de Análisis: Enunciados examen.pdf

4 páginas
¡Estás al día!

¡Estás al día!

Has visto todos los archivos