Todo
Apuntes
Ejercicios
Exámenes
Otros
publication
Test
chevron_left
chevron_right

apuntes

-

Álgebra y geometría I

He publicado nuevos apuntes de 1º Álgebra y Geometría I: Álgebra y geometría I

Tema-1.-Numeros-complejos..pdf
Tema-1-Sistemas-de-ecuaciones-lineales.pdf
Algebra-Tema-3.-Determinantes.pdf
Tema-4-Espacio-vectorial.pdf

apuntes

-

Apuntes álgebra I

He publicado nuevos apuntes de 1º Álgebra y Geometría I: Apuntes álgebra I

algebra-I-tema-1.pdf
algebra-I-tema-2.pdf
algebra-I-tema-3.pdf
algebra-I-tema-4.pdf
algebra-I-tema-5.pdf

He publicado nuevos examenes de 1º Álgebra y Geometría I: EXAMEN-RESUELTO-2019-PROB-ENERO.pdf

15 páginas

He publicado nuevos examenes de 1º Álgebra y Geometría I: EXAMEN-RESUELTO-2011-PROB-ENERO.pdf

10 páginas

He publicado nuevos examenes de 1º Álgebra y Geometría I: EXAMEN-RESUELTO-2010-PROB-ENERO.pdf

11 páginas

He publicado nuevos ejercicios de 1º Álgebra y Geometría I: BOLETIN-T5-ESP.-PREHIBLERT.pdf

12 páginas

He publicado nuevos ejercicios de 1º Álgebra y Geometría I: BOLETIN-T4-APL.-LINEALES.pdf

10 páginas

He publicado nuevos ejercicios de 1º Álgebra y Geometría I: BOLETIN-T2-ESTRUCT.-ALGBRCS.pdf

13 páginas

He publicado nuevos ejercicios de 1º Álgebra y Geometría I: BOLETIN-T3-ESP.-VECTORIALES.pdf

20 páginas

He publicado nuevos ejercicios de 1º Álgebra y Geometría I: BOLETIN-T1-NUM.-COMPLEJOS.pdf

4 páginas

Resumen Álgebra todos los temas

5 páginas

Resúmenes de la teoría de Álgebra

32 páginas

apuntes

-

Apuntes Álgebra I

He publicado nuevos apuntes de 1º Álgebra y Geometría I: Apuntes Álgebra I

ALG-ITema-1-Numeros-Complejos.pdf
ALG-ITema-2-Estructuras-Algebraicas.pdf
ALG-ITema-3-Espacios-Vectoriales.pdf
ALG-ITema-4-Aplicaciones-Lineales.pdf
ALG-ITema-5-Espacios-preHilbertpdf.pdf

apuntes

-

EXÁMENES

He publicado nuevos apuntes de 1º Álgebra y Geometría I: EXÁMENES

Cuestiones-Enero15.pdf
Cuestiones-Enero16.pdf
Cuestiones-Enero17.pdf
Enero18.pdf
Enero20.pdf
Enero21.pdf

apuntes

-

Apuntes T4,5

He publicado nuevos apuntes de 1º Álgebra y Geometría I: Apuntes T4,5

Apuntes-T5.pdf
Apuntes-T4.pdf

apuntes

-

Boletines castellano 21/22

He publicado nuevos apuntes de 1º Álgebra y Geometría I: Boletines castellano 21/22

Cuestiones-T1.pdf
Problemas-T1.pdf
Cuestiones-T2.pdf
Problemas-T2.pdf
Boletin-3C.pdf
Boletin-3P.pdf

Hechos en clase

8 páginas

Apuntes del primer tema, con ejemplos y demostraciones hechas en clase. Material revisado, con anotaciones prácticas, limpio y ordenado.

9 páginas

He publicado nuevos examenes de 1º Álgebra y Geometría I: Examen-ordinario.pdf

1 página

He publicado nuevos examenes de 1º Álgebra y Geometría I: Examen-extraordinario.pdf

2 páginas

He publicado nuevos apuntes de 1º Álgebra y Geometría I: Resum-àlgebra-I--falta-part-del-T.5.pdf

13 páginas

ejercicios

-

TOTS els exercicis d'Àlgebra I

He publicado nuevos ejercicios de 1º Álgebra y Geometría I: TOTS els exercicis d'Àlgebra I

BUTLLETI-2.pdf
BUTLLETI-3.pdf
BUTLLETI-4.pdf
BUTLLETI-5.pdf

apuntes

-

TOTS els apunts d'Àlgebra I

He publicado nuevos apuntes de 1º Álgebra y Geometría I: TOTS els apunts d'Àlgebra I

TEMA-1.pdf
TEMA-2.pdf
TEMA-3.pdf
TEMA-4.pdf

He publicado nuevos apuntes de 1º Álgebra y Geometría I: Tema-5-Espacios-preHilbertianos.pdf

10 páginas

He publicado nuevos apuntes de 1º Álgebra y Geometría I: Tema-1-Números complejos.pdf

2 páginas

He publicado nuevos apuntes de 1º Álgebra y Geometría I: Tema-3-espacios-vectoriales.pdf

8 páginas

He publicado nuevos apuntes de 1º Álgebra y Geometría I: Tema-4-Aplicaciones-lineales.pdf

6 páginas

He publicado nuevos apuntes de 1º Álgebra y Geometría I: Tema-2-estructuras-algebraicas.pdf

6 páginas

He publicado nuevos apuntes de 1º Álgebra y Geometría I: Megaresumen-AG1.pdf

6 páginas

He publicado nuevos apuntes de 1º Álgebra y Geometría I: Algebra-y-geometria-ITodos-los-temas.pdf

pdf

ejercicios

-

butlletins tutelades ÀLGEBRA I

He publicado nuevos ejercicios de 1º Álgebra y Geometría I: butlletins tutelades ÀLGEBRA I

alg1-but-t1.pdf
alg1-but-t2.pdf
alg1-but-t3.pdf
alg1-but-t4.pdf
alg1-but-t5.pdf

He publicado nuevos apuntes de 1º Álgebra y Geometría I: AyG1Teoria.pdf

96 páginas

ejercicios

-

TUTELADAS (y cuestiones) ÁLGI

He publicado nuevos ejercicios de 1º Álgebra y Geometría I: TUTELADAS (y cuestiones) ÁLGI

TUTELADAS-1-ALGI.pdf
TUTELADAS-2-ALGI.pdf
TUTELADAS-3-ALGI.pdf
TUTELADAS-4-ALGI.pdf
TUTELADAS-5-ALGI.pdf

apuntes

-

TEORÍA ÁLGI

He publicado nuevos apuntes de 1º Álgebra y Geometría I: TEORÍA ÁLGI

TEORIA-1-ALGI.pdf
TEORIA-2-FISI.pdf
TEORIA-3-ALGI.pdf
TEORIA-4-ALGI.pdf
TEORIA-5-ALGI.pdf

ejercicios

-

Ejercicios Álgebra I Castellano

He publicado nuevos ejercicios de 1º Álgebra y Geometría I: Ejercicios Álgebra I Castellano

Ejercicios-Tema-1.pdf
Ejercicios-Tema-2.pdf
Ejercicios-Tema-3.pdf
Ejercicios-Tema-4.pdf
Ejercicios-Tema-5.pdf

apuntes

-

Apuntes Álgebra I Castellano

He publicado nuevos apuntes de 1º Álgebra y Geometría I: Apuntes Álgebra I Castellano

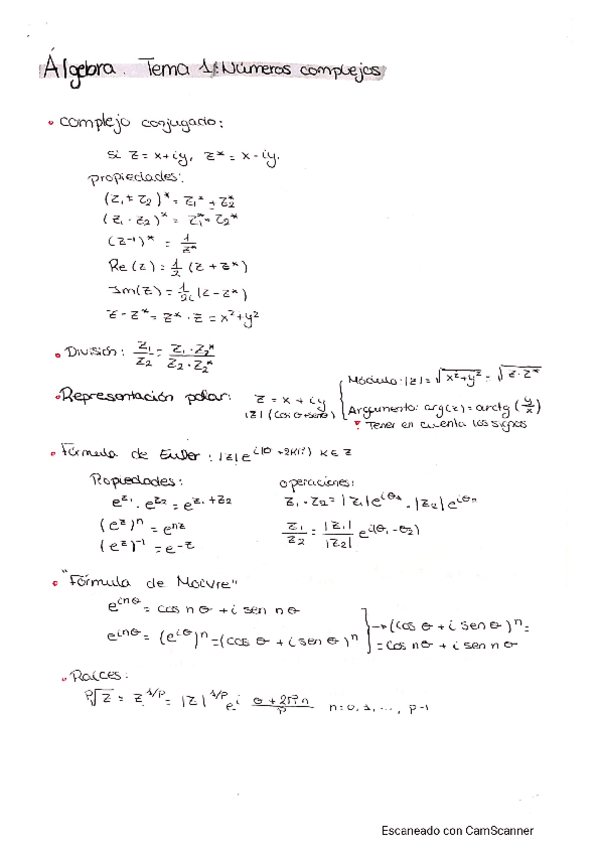
Tema-1-Numeros-complejos.pdf
Tema-2-Estructuras-algebraicas.pdf
Tema-3-Espacios-vectoriales.pdf
Tema-4-Aplicaciones-lineales.pdf
Tema-5-Espacios-prehilbertianos.pdf

He publicado nuevos examenes de 1º Álgebra y Geometría I: examen-problemas.pdf

9 páginas

He publicado nuevos ejercicios de 1º Álgebra y Geometría I: Problema-3-t5entregable.pdf

3 páginas

He publicado nuevos apuntes de 1º Álgebra y Geometría I: RESUMENextendido.pdf

6 páginas

He publicado nuevos apuntes de 1º Álgebra y Geometría I: ResumenEXAMEN.pdf

8 páginas

ejercicios

-

BOLETINES ALGEBRA 1

He publicado nuevos ejercicios de 1º Álgebra y Geometría I: BOLETINES ALGEBRA 1

Boletin-Tema-4-A1.pdf
Boletin-Tema-3-A1.pdf
Boletin-Tema-2-A1.pdf
Boletin-Tema-1-A1.pdf
Boletin-Tema-5-A1.pdf

apuntes

-

Apuntes 2023

He publicado nuevos apuntes de 1º Álgebra y Geometría I: Apuntes 2023

Tema-2.pdf
Tema-3.pdf
Tema-4.pdf
Tema-5.pdf

He publicado nuevos ejercicios de 1º Álgebra y Geometría I: ejemplos-examen.pdf

5 páginas

He publicado nuevos ejercicios de 1º Álgebra y Geometría I: alg-i-tuteladas.pdf

33 páginas

He publicado nuevos ejercicios de 1º Álgebra y Geometría I: Problemes-Resolts-dAlgebra-I.pdf

45 páginas

Todos los teoremas en los 5 temas de Algebra I

3 páginas

esquema de com es resolen els problemes més freqüents

4 páginas

apuntes

-

resums per tema ÀLGEBRA I

He publicado nuevos apuntes de 1º Álgebra y Geometría I: resums per tema ÀLGEBRA I

alg-t1.pdf
alg-t2.pdf
alg-t3.pdf
alg-t4.pdf
alg-t5.pdf

ejercicios

-

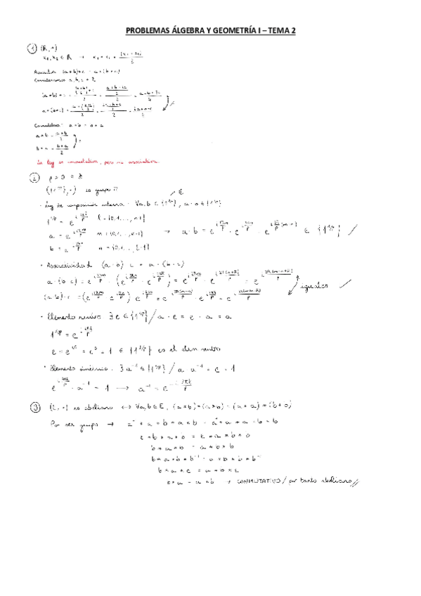
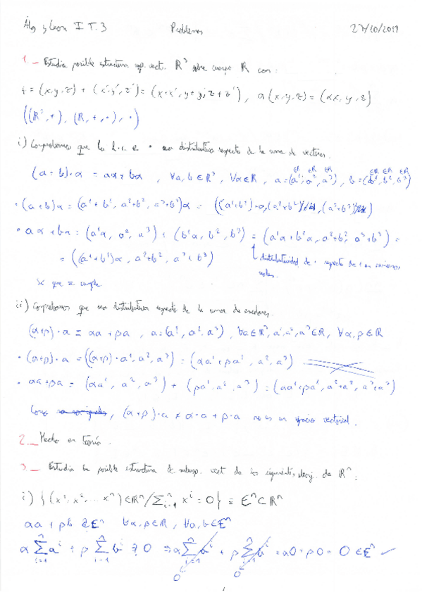
Problemas Álgebra y Geometría I

He publicado nuevos ejercicios de 1º Álgebra y Geometría I: Problemas Álgebra y Geometría I

Problemas-T1.pdf
Problemas-T2.pdf
Problemas-T3.pdf
Problemas-T4.pdf
Problemas-T5.pdf

apuntes

-

Apuntes Álgebra y Geometría 1

He publicado nuevos apuntes de 1º Álgebra y Geometría I: Apuntes Álgebra y Geometría 1

EC5A9E9D-72A2-4423-BA5D-067BF1E5ECD2.pdf
Tema-2-Apuntes-2.pdf
Apuntes-Tema-3.pdf

ejercicios

-

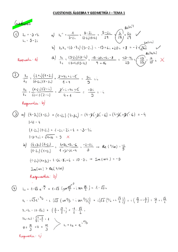
Cuestiones Álgebra y Geometría I

He publicado nuevos ejercicios de 1º Álgebra y Geometría I: Cuestiones Álgebra y Geometría I

Cuestiones-T1.pdf
Cuestiones-T2.pdf
Cuestiones-T3.pdf
Cuestiones-T4.pdf
Cuestiones-T5.pdf
Anónimo

@Anónimo

apuntes

-

TEMA 2 (estructuras algebraicas)

He publicado nuevos apuntes de 1º Álgebra y Geometría I: TEMA 2 (estructuras algebraicas)

Apuntes-tema-2.pdf

He publicado nuevos apuntes de 1º Álgebra y Geometría I: Teoria.pdf

17 páginas

He publicado nuevos apuntes de 1º Álgebra y Geometría I: Bloque-3-Algebra-lineal-I.pdf

78 páginas

He publicado nuevos apuntes de 1º Álgebra y Geometría I: Bloque-2-Geometria.pdf

28 páginas
Anónimo

@Anónimo

apuntes

-

TEMA 1 (números complejos)

He publicado nuevos apuntes de 1º Álgebra y Geometría I: TEMA 1 (números complejos)

Apuntes-tema-1.pdf

apuntes

-

Álgebra y geometría I

He publicado nuevos apuntes de 1º Álgebra y Geometría I: Álgebra y geometría I

Algebra-tema-1.pdf
Algebra-tema2.pdf
algebra-y-geometria-I-tema-3.pdf
algebratema4.pdf
Algebratema5.pdf
algebraresumenes.pdf

ejercicios

-

Tuteladas y cuestiones Álgebra I

He publicado nuevos ejercicios de 1º Álgebra y Geometría I: Tuteladas y cuestiones Álgebra I

ejer.al.tema1.pdf
ejer.al.tema2.pdf
ejer.al.tema3.pdf
ejer.al.tema4.pdf
ejer.al.tema5.pdf

apuntes

-

Resumen Algebra

He publicado nuevos apuntes de 1º Álgebra y Geometría I: Resumen Algebra

Resumen-Algebra-y-Geometria-I-Parte-1.pdf
Resumen-Algebra-y-Geometria-I-Parte-2.pdf