Álgebra y Geometría

chevron_left
chevron_right
Todo
Apuntes
Ejercicios
Exámenes
Prácticas
chevron_left
chevron_right

examenes

-

EXAMENES RESUELTOS

He publicado nuevos examenes de 1º Álgebra y Geometría: EXAMENES RESUELTOS

CONTROL-ALGEBRA-06-07-RESUELTO.pdf
CONTROL-ALGEBRA-09-10-RESUELTO.pdf
CONTROL-ALGEBRA-10-11-RESUELTO.pdf
CONTROL-ALGEBRA-11-12-RESUELTO.pdf
CONTROL-GEOMETRIA-11-12-RESUELTO.pdf
FALSO-FINAL-10-11-RESUELTO.pdf

He publicado nuevos apuntes de 1º Álgebra y Geometría: EXAMENES-ALGEBRA-ULTIMOS-ANOS.pdf

11 páginas

He publicado nuevos examenes de 1º Álgebra y Geometría: EXAMENES-GEOMETRIA-ULTIMOS-ANOS.pdf

11 páginas

examenes

-

Examenes resueltos de geometriai

He publicado nuevos examenes de 1º Álgebra y Geometría: Examenes resueltos de geometriai

Parcial-geometria-2022.pdf
Parcial-geometria-20222023.pdf
Parcial-geometria-2019.pdf
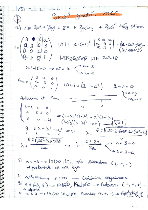
Parcial-geometria-2016.pdf
Parcial-geometria-Febrero-2018.pdf
Parcial-geometria-2018.pdf

examenes

-

Exámenes Geometría álgebra (no resueltos)

Poco a poco iré subiendo en otra carpeta estos mismos exámenes con sus soluciones (solo resolveré la parte de GEOMETRÍA)

2018-febrero.pdf
2018-febrero-extraordinario.pdf
2018-junio.pdf
2022-parcialgeometria.pdf
2023-juniogeometria.pdf
Febrero-2013.pdf

apuntes

-

Temarios 6-7-8-9-10 algebra

Si no están subidos todos es porque van a ir subiéndose poco a poco :)

Tema-6-algebra.pdf
Tema-7-algebra.pdf

practicas

-

Prácticas Álgebra SageMath

He publicado nuevos practicas de 1º Álgebra y Geometría: Prácticas Álgebra SageMath

Practica-1-Introduccion-al-Algebra-de-Matrices-con-SAGE-Sage.pdf
Practica-2-Metodos-Directos-de-resolucion-de-sistemas-de-ecuaciones-lineales-I-Sage.pdf
Miniatura no disponible
Teoriaformatosagepracticasalgebra.zip
Practica-3-Metodos-Directos-de-resolucion-de-sistemas-de-ecuaciones-lineales-II-Sage.pdf
Practica-4-Descomposicion-QR-y-Metodos-Iterativos-Sage.pdf
Miniatura no disponible
PracticasAlgebraIMPORTANTE.zip

He publicado nuevos examenes de 1º Álgebra y Geometría: Examen-geometria-junio-2022-2023.pdf

5 páginas

He publicado nuevos examenes de 1º Álgebra y Geometría: Examen-algebra-junio-2022-2023.pdf

5 páginas

He publicado nuevos apuntes de 1º Álgebra y Geometría: curvas-planas-teoria-y-problemas-AA.pdf

22 páginas

He publicado nuevos apuntes de 1º Álgebra y Geometría: curvas-alabeadas-teoria-y-problemas-AA.pdf

40 páginas

He publicado nuevos ejercicios de 1º Álgebra y Geometría: PROBLEMAST1-9ALGYGEO.pdf

37 páginas

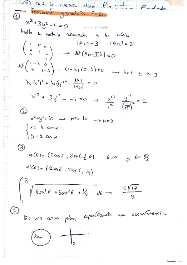
He publicado nuevos examenes de 1º Álgebra y Geometría: PARCIAL-ALGEBRA-2022.pdf

3 páginas

He publicado nuevos apuntes de 1º Álgebra y Geometría: RESUMEN-ALGEBRA.pdf

11 páginas

apuntes

-

RESUMEN-GEOMETRÍA

He publicado nuevos apuntes de 1º Álgebra y Geometría: RESUMEN-GEOMETRÍA

Imagen-de-WhatsApp-2024-08-06-a-las-14.06.40ce4d8063.jpg
Imagen-de-WhatsApp-2024-08-06-a-las-14.06.40d40c5de6.jpg
Imagen-de-WhatsApp-2024-08-06-a-las-14.06.40754aa6bf.jpg
Imagen-de-WhatsApp-2024-08-06-a-las-14.06.4061ded74b.jpg
Imagen-de-WhatsApp-2024-08-06-a-las-14.06.410c972608.jpg
Imagen-de-WhatsApp-2024-08-06-a-las-14.06.415fcb3338.jpg

examenes

-

EXÁMENES-ÁLGEBRA-GEOMETRÍA

He publicado nuevos examenes de 1º Álgebra y Geometría: EXÁMENES-ÁLGEBRA-GEOMETRÍA

2017-11-17.-Noviembre-B.pdf
2017-11-17.-Noviembre-C.pdf
2017-11-17.-Noviembre-D.pdf
2018-12-03A-Parcial.pdf
2018-12-03B-Parcial.pdf
2019-06-17.-Junio.pdf

He publicado nuevos apuntes de 1º Álgebra y Geometría: Tema-6-geometria-GIE.pdf

12 páginas

He publicado nuevos apuntes de 1º Álgebra y Geometría: Apuntes-Tema-9-Algebra-y-Geometria.pdf

14 páginas

He publicado nuevos apuntes de 1º Álgebra y Geometría: Apuntes-Tema-8-Algebra-y-Geometria.pdf

11 páginas

He publicado nuevos apuntes de 1º Álgebra y Geometría: Apuntes-Tema-7-Algebra-y-Geometria.pdf

16 páginas

He publicado nuevos apuntes de 1º Álgebra y Geometría: Apuntes-Tema-6-Algebra-y-Geometria.pdf

17 páginas

He publicado nuevos apuntes de 1º Álgebra y Geometría: Apuntes-Tema-5-Algebra-y-Geometria.pdf

9 páginas

He publicado nuevos apuntes de 1º Álgebra y Geometría: Apuntes-Tema-4-Algebra-y-Geometria.pdf

8 páginas

He publicado nuevos apuntes de 1º Álgebra y Geometría: Apuntes-Tema-3-Algebra-y-Geometria.pdf

13 páginas

He publicado nuevos apuntes de 1º Álgebra y Geometría: Apuntes-Tema-2-Algebra-y-Geometria.pdf

6 páginas

He publicado nuevos apuntes de 1º Álgebra y Geometría: Apuntes-Tema-1-Algebra-y-Geometria.pdf

9 páginas

He publicado nuevos examenes de 1º Álgebra y Geometría: Febrero-2011-geometria.pdf

6 páginas

He publicado nuevos examenes de 1º Álgebra y Geometría: Junio-2023-geometria.pdf

6 páginas

He publicado nuevos examenes de 1º Álgebra y Geometría: Julio-2011-geometria.pdf

5 páginas

He publicado nuevos examenes de 1º Álgebra y Geometría: Examen-Noviembre-2021.pdf

7 páginas

He publicado nuevos examenes de 1º Álgebra y Geometría: Examen-noviembre-2020-resuelto.pdf

7 páginas

He publicado nuevos ejercicios de 1º Álgebra y Geometría: Ejercicios-y-apuntes-Algebra.pdf

8 páginas

He publicado nuevos ejercicios de 1º Álgebra y Geometría: Ejercicios-tema-8.pdf

9 páginas

He publicado nuevos ejercicios de 1º Álgebra y Geometría: Ejercicios-tema-9.pdf

9 páginas

He publicado nuevos apuntes de 1º Álgebra y Geometría: Tema-7-Cuadricas.pdf

3 páginas

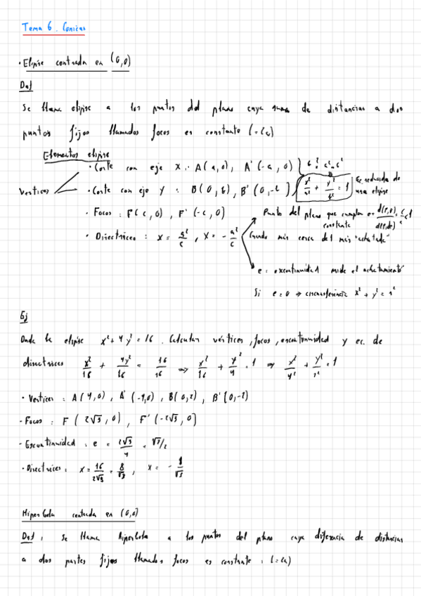
He publicado nuevos apuntes de 1º Álgebra y Geometría: Tema-6-Conicas.pdf

5 páginas

He publicado nuevos apuntes de 1º Álgebra y Geometría: Tema-5-Diagonalizacion-de-una-matriz.pdf

4 páginas

He publicado nuevos apuntes de 1º Álgebra y Geometría: Tema-4-Espacio-Vectorial-Euclideo.pdf

2 páginas

He publicado nuevos apuntes de 1º Álgebra y Geometría: T3-Espacios-Vectoriales.pdf

4 páginas

He publicado nuevos apuntes de 1º Álgebra y Geometría: Tema-2-Sist-de-ecuaciones-lineales.pdf

1 página

He publicado nuevos apuntes de 1º Álgebra y Geometría: TEMA-1-Matrices-y-determinantes.pdf

4 páginas

ejercicios

-

ejercicios con solucion

He publicado nuevos ejercicios de 1º Álgebra y Geometría: ejercicios con solucion

al5.pdf
al6.pdf
al7.pdf
al8.pdf
al9.pdf
al10.pdf

He publicado nuevos examenes de 1º Álgebra y Geometría: Algebra-Parcial-2021.pdf

3 páginas

He publicado nuevos examenes de 1º Álgebra y Geometría: Examen-resuelto-febrero-2016.pdf

2 páginas

He publicado nuevos examenes de 1º Álgebra y Geometría: EXAMEN-ALGEBRA-Y-GEOMETRIA-2014-RESUELTO.pdf

16 páginas

He publicado nuevos examenes de 1º Álgebra y Geometría: EXAMEN-ALGEBRA-NOV-2020-RESUELTO.pdf

11 páginas

He publicado nuevos examenes de 1º Álgebra y Geometría: EXAMEN-GEOMETRIA-FEB-2015-RESUELTO.pdf

12 páginas

He publicado nuevos examenes de 1º Álgebra y Geometría: PARCIAL-ALGEBRA-NOV-2022-RESUELTO.pdf

9 páginas

He publicado nuevos apuntes de 1º Álgebra y Geometría: TM-6-CONICAS-G..pdf

5 páginas

He publicado nuevos apuntes de 1º Álgebra y Geometría: TM-7-CUADRICAS-G..pdf

3 páginas

He publicado nuevos examenes de 1º Álgebra y Geometría: EXAMEN-RESUELTO-GEOMETRIA-ENERO-2016.pdf

8 páginas

He publicado nuevos examenes de 1º Álgebra y Geometría: EXAMEN RESUELTO-GEOMETRIA-JUNIO-2015.pdf

9 páginas

He publicado nuevos examenes de 1º Álgebra y Geometría: GEOMETRIA-EXAMEN-FEB-2018-EXTRA-RESUELTO.pdf

4 páginas

He publicado nuevos examenes de 1º Álgebra y Geometría: GEOMETRIA-EXAMEN-FEB-2018-RESUELTO.pdf

8 páginas

He publicado nuevos apuntes de 1º Álgebra y Geometría: Repaso-conceptos-Algebra.pdf

3 páginas

examenes

-

EXAMENES GEOMETRIA RESUELTO 2022

He publicado nuevos examenes de 1º Álgebra y Geometría: EXAMENES GEOMETRIA RESUELTO 2022

EXAMENES-GEOMETRIA-RESUELTO-2021.pdf

He publicado nuevos examenes de 1º Álgebra y Geometría: Examen-algebra.pdf

4 páginas
Anónimo

@Anónimo

He publicado nuevos apuntes de 1º Álgebra y Geometría: apuntes.pdf

26 páginas
Anónimo

@Anónimo

He publicado nuevos apuntes de 1º Álgebra y Geometría: Examen-algebra-Septiembre-2021.pdf

1 página
Anónimo

@Anónimo

examenes

-

Examen Septiembre 2021

He publicado nuevos examenes de 1º Álgebra y Geometría: Examen Septiembre 2021

CamScanner-09-07-2021-18.pdf
geometria-sep.pdf