chevron_left
chevron_right
Todo
Apuntes
Ejercicios
Exámenes
Otros
Prácticas
Test
chevron_left
chevron_right

examenes

-

EXAMENES RESUELTOS

He publicado nuevos examenes de 1º Álgebra y Geometría: EXAMENES RESUELTOS

CONTROL-ALGEBRA-06-07-RESUELTO.pdf
CONTROL-ALGEBRA-09-10-RESUELTO.pdf
CONTROL-ALGEBRA-10-11-RESUELTO.pdf
CONTROL-ALGEBRA-11-12-RESUELTO.pdf
CONTROL-GEOMETRIA-11-12-RESUELTO.pdf
FALSO-FINAL-10-11-RESUELTO.pdf

He publicado nuevos examenes de 1º Álgebra y Geometría: EXAMENES-ALGEBRA-ULTIMOS-ANOS.pdf

10 páginas

He publicado nuevos examenes de 1º Álgebra y Geometría: EXAMENES-GEOMETRIA-ULTIMOS-ANOS.pdf

10 páginas

EXAMEN ALGEBRA SEPTIEMBRE 2023

1 página

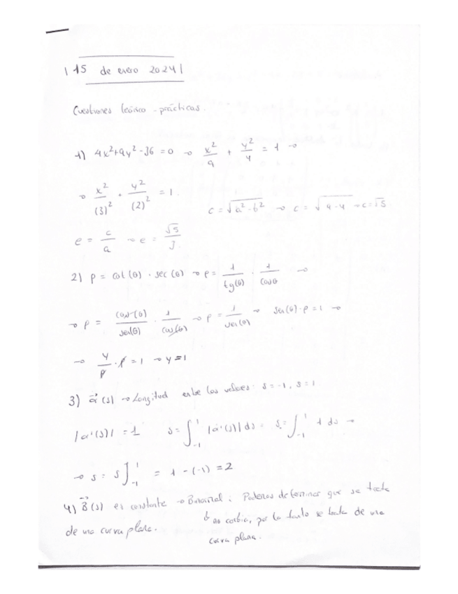
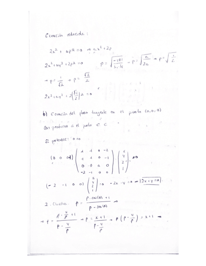
EXAMEN GEOMETRIA ENERO 2024

1 página

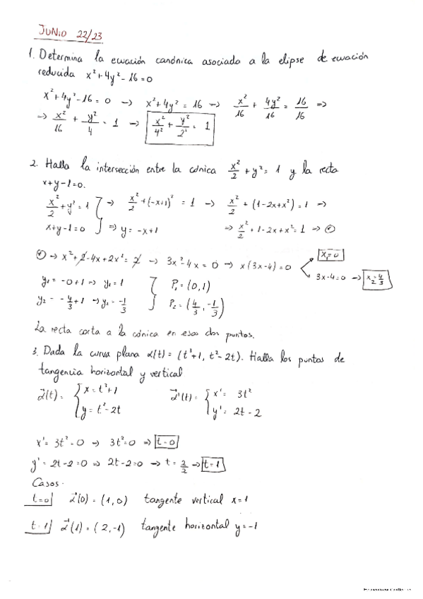
EXAMEN ALGEBRA JUNIO 2023

1 página

EXAMEN ALGEBRA ENERO 2024

1 página

RESOLUCIÓN EXAMEN GEOMETRIA ENERO 2024

6 páginas

RESOLUCIÓN EXAMEN GEOMETRIA SEPTIEMBRE 2023

6 páginas

RESOLUCIÓN EXAMEN GEOMETRIA JUNIO 2023

6 páginas

RESOLUCIÓN PARCIAL GEOMETRIA 2023

7 páginas

EXAMEN GEOMETRÍA 2019

3 páginas

EXAMEN GEOMETRIA JUNIO 2018

6 páginas

EXAMEN GEOMETRIA MARZO 2018

5 páginas

EXAMEN GEOMETRIA FEBRERO 2018

6 páginas

EXAMEN GEOMETRIA SEPTIEMBRE 2017

7 páginas

EXAMEN GEOMETRIA FEBRERO 2017

5 páginas

EXAMEN GEOMETRIA JUNIO 2016

4 páginas

EXAMEN GEOMETRIA ENERO 2016

5 páginas

EXAMEN GEOMETRIA FEBRERO 2015

4 páginas

EXAMEN GEOMETRIA JUNIO 2014

4 páginas

EXAMEN GEOMETRIA FEBRERO 2013

4 páginas

APUNTES ESPACIO VECTORIAL

10 páginas

ejercicios resueltos con aclaraciones y formulas de por medio

30 páginas

ejercicios de examen resueltos con aclaraciones de por medio

13 páginas

apuntes

-

Algebra

He publicado nuevos apuntes de 1º Álgebra y Geometría: Algebra

Algebra-1.pdf

He publicado nuevos apuntes de 1º Álgebra y Geometría: curvas-planas-teoria-y-problemas-A.pdf

21 páginas

He publicado nuevos apuntes de 1º Álgebra y Geometría: curvas-alabeadas-teoria-y-problemas-A.pdf

39 páginas

He publicado nuevos apuntes de 1º Álgebra y Geometría: Examenes-Algebra-2.pdf

17 páginas

He publicado nuevos apuntes de 1º Álgebra y Geometría: Examenes-Algebra-1.pdf

19 páginas

He publicado nuevos apuntes de 1º Álgebra y Geometría: Formulario-Geometria.pdf

1 página

He publicado nuevos apuntes de 1º Álgebra y Geometría: Cuestiones-teorico-practicas-Geometria.pdf

4 páginas

He publicado nuevos apuntes de 1º Álgebra y Geometría: Examenes-Geometria-desde-2018-a-2023.pdf

24 páginas

He publicado nuevos apuntes de 1º Álgebra y Geometría: Examenes-Geometria-20162017.pdf

21 páginas

He publicado nuevos apuntes de 1º Álgebra y Geometría: Examenes-Geometria-desde-2013-a-2015.pdf

21 páginas

He publicado nuevos apuntes de 1º Álgebra y Geometría: Ejercicios-Diagonalizacion.pdf

22 páginas

He publicado nuevos apuntes de 1º Álgebra y Geometría: Tema-6-geometriaGITI.pdf

10 páginas

He publicado nuevos apuntes de 1º Álgebra y Geometría: LECCION-1-FORMULARIO-DERIVADAS-PARCIALES.pdf

2 páginas

He publicado nuevos apuntes de 1º Álgebra y Geometría: EJERCICIOS-GEOMETRIA-SEPARADOS-POR-TEMAS.pdf

15 páginas

He publicado nuevos apuntes de 1º Álgebra y Geometría: EXAMENES-GEOMETRIA-RESUELTOS.pdf

16 páginas

He publicado nuevos examenes de 1º Álgebra y Geometría: Examen-geometria-enero-2024.pdf

2 páginas

He publicado nuevos examenes de 1º Álgebra y Geometría: Septiembre1213Ind2vuelta.pdf

3 páginas

He publicado nuevos examenes de 1º Álgebra y Geometría: Septiembre1112Industriales.pdf

2 páginas

He publicado nuevos examenes de 1º Álgebra y Geometría: Septiembre1112AeroDis.pdf

2 páginas

He publicado nuevos examenes de 1º Álgebra y Geometría: sep1314.pdf

3 páginas

He publicado nuevos examenes de 1º Álgebra y Geometría: septA1617.pdf

3 páginas

He publicado nuevos examenes de 1º Álgebra y Geometría: ResolucionfebreroT1011.pdf

9 páginas

He publicado nuevos examenes de 1º Álgebra y Geometría: RJunioInd1112.pdf

8 páginas

He publicado nuevos examenes de 1º Álgebra y Geometría: RFebreroIndust1112.pdf

12 páginas

He publicado nuevos examenes de 1º Álgebra y Geometría: RControlGeoDiseno1112.pdf

4 páginas

He publicado nuevos examenes de 1º Álgebra y Geometría: RControlGeoAeroespacial1112.pdf

5 páginas

He publicado nuevos examenes de 1º Álgebra y Geometría: RControlAlgIndus1112.pdf

9 páginas

He publicado nuevos examenes de 1º Álgebra y Geometría: pruebaalgebranov2014.pdf

2 páginas

He publicado nuevos examenes de 1º Álgebra y Geometría: RControlAlgAeroespacial1112.pdf

8 páginas

He publicado nuevos examenes de 1º Álgebra y Geometría: RControlAlgDisenol1112.pdf

9 páginas

He publicado nuevos examenes de 1º Álgebra y Geometría: parcialB1617.pdf

1 página

He publicado nuevos examenes de 1º Álgebra y Geometría: parcialC1617.pdf

1 página

He publicado nuevos examenes de 1º Álgebra y Geometría: parcialD1617.pdf

1 página

He publicado nuevos examenes de 1º Álgebra y Geometría: junioA1617.pdf

3 páginas

He publicado nuevos examenes de 1º Álgebra y Geometría: junio1314diseno.pdf

3 páginas