chevron_left
chevron_right
Todo
Apuntes
Exámenes
Test
Trabajos
chevron_left
chevron_right

apuntes

-

Temario Resumido de Álgebra

Varios resúmenes de la asignatura de Álgebra (Nota - Falta el Tema 8)

Tema-1-Metodos-de-prueba-Apuntes.pdf
Tema-2-Induccion-y-Recursion-Apuntes.pdf
Tema-3-y-4-Matrices-y-Sistemas-Lineales-Apuntes.pdf
Tema-5-Programacion-Lineal.-Algoritmo-Simplex-Apuntes.pdf
Tema-6-Aritmetica-Modular-Apuntes.pdf
Tema-7-Conjuntos-y-funciones-Apuntes.pdf

He publicado nuevos apuntes de 1º Álgebra y Matemática Discreta: Tema-10ArbolesFVC.pdf

22 páginas

He publicado nuevos apuntes de 1º Álgebra y Matemática Discreta: Tema-9GrafosFVC.pdf

41 páginas

He publicado nuevos apuntes de 1º Álgebra y Matemática Discreta: Tema-8RelacionesFVC.pdf

24 páginas

He publicado nuevos apuntes de 1º Álgebra y Matemática Discreta: Tema-7Conjuntos-y-funcionesFVC.pdf

29 páginas

He publicado nuevos apuntes de 1º Álgebra y Matemática Discreta: Tema-6.2-y-6.3Aplicaciones-de-la-aritmetica-modularFVC.pdf

28 páginas

He publicado nuevos apuntes de 1º Álgebra y Matemática Discreta: Tema-6.1Teoria-de-numeros-y-aritmetica-modularFVC.pdf

20 páginas

He publicado nuevos apuntes de 1º Álgebra y Matemática Discreta: Tema-5.2-y-5.3Algoritmo-SimplexFVC.pdf

39 páginas

He publicado nuevos apuntes de 1º Álgebra y Matemática Discreta: Tema-4Eliminacion-gaussianaFVC.pdf

18 páginas

He publicado nuevos apuntes de 1º Álgebra y Matemática Discreta: Tema-5.1Programacion-linealFVC.pdf

23 páginas

He publicado nuevos apuntes de 1º Álgebra y Matemática Discreta: Tema-1Metodos-de-pruebaFVC.pdf

18 páginas

He publicado nuevos apuntes de 1º Álgebra y Matemática Discreta: Tema-3Operaciones-con-matricesFVC.pdf

25 páginas

He publicado nuevos apuntes de 1º Álgebra y Matemática Discreta: Tema-2Induccion-y-recursionFVC.pdf

17 páginas

PROBLEMAS RESUELTOS TIPO EXAMEN DE ALGEBRA LINEAL I

39 páginas

test

-

Test Algebra y Matematica Discreta

He publicado nuevos test de 1º Álgebra y Matemática Discreta: Test Algebra y Matematica Discreta

Test-Tema-1-Algebra-y-Matematica-Discreta.pdf
Test-Tema-2-Algebra-y-Matematica-Discreta.pdf
Test-Tema-3-Algebra-y-Matematica-Discreta.pdf
Test-Tema-4-Algebra-y-Matematica-Discreta.pdf
Test-Tema-5-Algebra-y-Matematica-Discreta.pdf
Test-Tema-6-Algebra-y-Matematica-Discreta.pdf

apuntes

-

Test Algebra Lineal

He publicado nuevos apuntes de 1º Álgebra y Matemática Discreta: Test Algebra Lineal

Algebra-Lineal-test-tema1.pdf
Algebra-Lineal-test-tema2.pdf
Algebra-Lineal-test-tema3.pdf
Algebra-Lineal-test-tema4.pdf
Algebra-Lineal-test-tema5.pdf

He publicado nuevos trabajos de 1º Álgebra y Matemática Discreta: Lectura-Criptografia-de-clave-publica.pdf

4 páginas

apuntes

-

laboratorio:// Vectores en R^2 y R^3

He publicado nuevos apuntes de 1º Álgebra y Matemática Discreta: Laboratorio: Vectores en R^2 y R^3

Laboratorio-Implementacion-del-algoritmo-de-Warshall.pdf
Miniatura no disponible
Programa-c.cpp
Miniatura no disponible
Programa-c.exe

He publicado nuevos apuntes de 1º Álgebra y Matemática Discreta: Ejercicio-Binomio-Al-Cuadrado.pdf

5 páginas

He publicado nuevos apuntes de 1º Álgebra y Matemática Discreta: Teoria-Prcatica-Binomio-Al-Cuadrado.pdf

16 páginas

He publicado nuevos apuntes de 1º Álgebra y Matemática Discreta: expresiones-algebraicas.pdf

12 páginas

He publicado nuevos apuntes de 1º Álgebra y Matemática Discreta: Solucion-de-ecuaciones-de-segundo-grado.pdf

14 páginas

He publicado nuevos apuntes de 1º Álgebra y Matemática Discreta: Binomio-de-Suma-Al-Cuadrado.pdf

70 páginas

He publicado nuevos apuntes de 1º Álgebra y Matemática Discreta: Ejercicio-Binomio-de-Suma-Al-Cuadrado.pdf

2 páginas

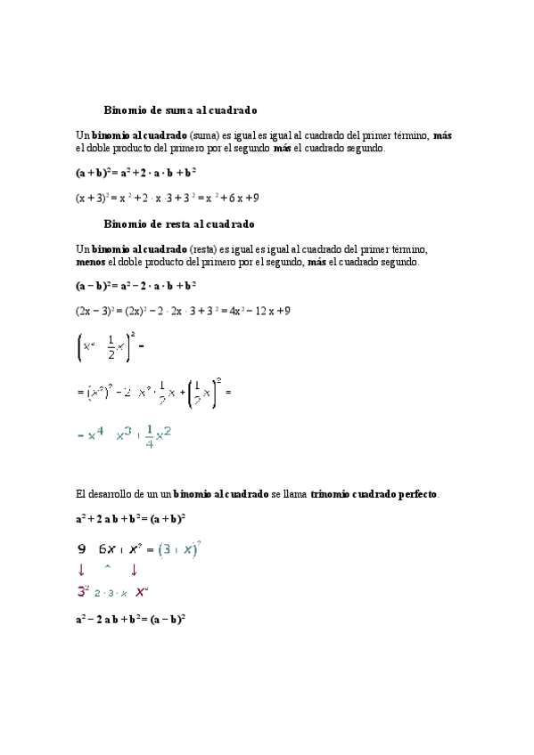
He publicado nuevos apuntes de 1º Álgebra y Matemática Discreta: Binomio-Al-Cuadrado.pdf

2 páginas

He publicado nuevos apuntes de 1º Álgebra y Matemática Discreta: Algebra-Binomios-y-Trinomios.pdf

2 páginas

He publicado nuevos apuntes de 1º Álgebra y Matemática Discreta: Calculo-Productos-Notables.pdf

2 páginas

He publicado nuevos apuntes de 1º Álgebra y Matemática Discreta: factorizacion.pdf

6 páginas

He publicado nuevos apuntes de 1º Álgebra y Matemática Discreta: Ejercicios-de-Factorizacion.pdf

7 páginas

He publicado nuevos apuntes de 1º Álgebra y Matemática Discreta: 10-CASOS-DE-FACTORIZACION.pdf

5 páginas

He publicado nuevos apuntes de 1º Álgebra y Matemática Discreta: Ejercicios-Propuestos-de-Factorizacion.pdf

6 páginas

He publicado nuevos apuntes de 1º Álgebra y Matemática Discreta: Macrorresumen Matemática Discreta.pdf

63 páginas

He publicado nuevos apuntes de 1º Álgebra y Matemática Discreta: Macrorresumen Algebra.pdf

44 páginas
¡Estás al día!

¡Estás al día!

Has visto todos los archivos