Todo
Apuntes
chevron_left
chevron_right

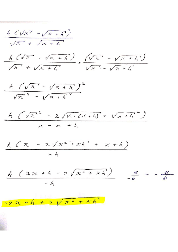
He publicado nuevos apuntes de 1º Álgebra y Trigonometría: racionalice.pdf

1 página
¡Estás al día!

¡Estás al día!

Has visto todos los archivos