Todo
Apuntes
Exámenes
chevron_left
chevron_right

He publicado nuevos apuntes de 1º Álgebra: Algebra.pdf

100 páginas

He publicado nuevos apuntes de 1º Álgebra: Demostracions-algebra-lineal.pdf

4 páginas

examenes

-

Examens

He publicado nuevos examenes de 1º Álgebra: Examens

Examen-Segunda-Parte-ex2.pdf
Examen-Enero-2018-preguntas.pdf

He publicado nuevos examenes de 1º Álgebra: reava2019Algebra.pdf

4 páginas

apuntes

-

Espais Vectorial

He publicado nuevos apuntes de 1º Álgebra: Espais Vectorial

RB-2018-10-22-08.pdf
RB-2018-11-14-09.pdf
ESPAIS-VECTORIALS-EUCLIDIANS.pdf
RB-2018-11-14-09.pdf
RB-2018-11-14-09.pdf
RB-2018-10-23-10.pdf

apuntes

-

Ortigonalitat

He publicado nuevos apuntes de 1º Álgebra: Ortigonalitat

ORTOGONALITAT.pdf
ORTOGONALITAT1.pdf

apuntes

-

Aplicacions Lineals

He publicado nuevos apuntes de 1º Álgebra: Aplicacions Lineals

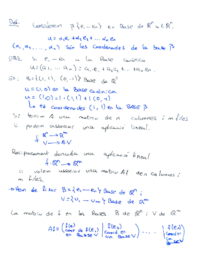
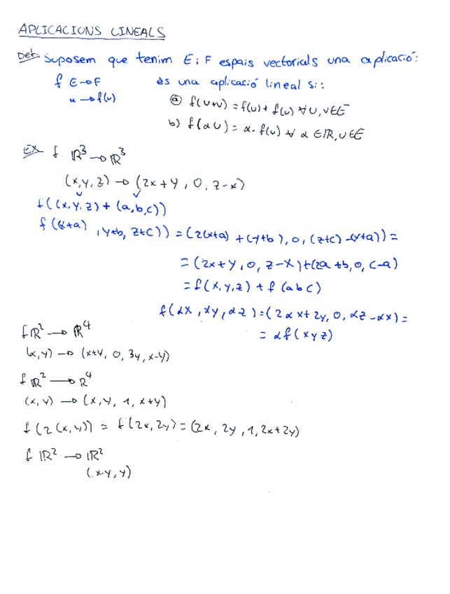
RB-2018-11-27-09.pdf
RB-2018-11-27-09.pdf
RB-2018-11-27-09.pdf
RB-2018-11-27-09.pdf
RB-2018-11-27-09.pdf
RB-2018-11-27-09.pdf

apuntes

-

Algebra

He publicado nuevos apuntes de 1º Álgebra: Algebra

Algebra-lineal-Tema-V-Diagonalitzacio-endomorfismes.pdf
Algebra-lineal-Tema-I-Determinantes-y-matricesES-2.pptx
Algebra-lineal-Tema-I-Determinants-i-matrius.pdf
Algebra-lineal-Tema-VI-Espai-Vectorial-Euclidia.pdf
algebraJuny1s2012-13resolt.pdf
Algebra-lineal-Tema-III-Espais-vectorials.pdf

apuntes

-

Algebra

He publicado nuevos apuntes de 1º Álgebra: Algebra

11011Algebra17-18ExamenMidterm1resolt.pdf
ALGMidterm2013-2014s1solucionat.pdf
11011Algebra15-16ExamenMidterm2soluc.pdf
11011Algebra16-17ExamenFebrerresolt.pdf
ALGMidterm2015-2016s1solucv2.pdf
ALGMidterm2014-2015s1soluc.pdf
¡Estás al día!

¡Estás al día!

Has visto todos los archivos