Todo
Apuntes
Ejercicios
Exámenes
Otros
PEC
Prácticas
chevron_left
chevron_right
Anónimo

@Anónimo

He publicado nuevos examenes de 1º Álgebra: EXAMENESALGEBRA2017-2025.pdf

163 páginas

He publicado nuevos apuntes de 1º Álgebra: Algebra-Garrido-Tema-3-2025.pdf

6 páginas

He publicado nuevos apuntes de 1º Álgebra: Algebra-Garrido-Tema-2.pdf

4 páginas

He publicado nuevos apuntes de 1º Álgebra: Algebra-Garrido-Tema-1.pdf

5 páginas

He publicado nuevos apuntes de 1º Álgebra: Algebra-Tema-1-Solo-la-parte-de-numeros-complejos.pdf

5 páginas

He publicado nuevos apuntes de 1º Álgebra: Resumen-Algebra.pdf

1 página

He publicado nuevos apuntes de 1º Álgebra: Algebra-Todo.pdf

29 páginas

apuntes

-

1º GITI- ÁLGEBRA- RESÚMENES PEC2

He publicado nuevos apuntes de 1º Álgebra: 1º GITI- ÁLGEBRA- RESÚMENES PEC2

APUNTES-ALGEBRA-TEMA-6.pdf
APUNTES-ALGEBRA-TEMA-5.pdf
APUNTES-ALGEBRA-TEMA-4.pdf
APUNTES-ALGEBRA-TEMA-3.pdf

He publicado nuevos apuntes de 1º Álgebra: Formulario-algebra.pdf

3 páginas

Apuntes de Álgebra

8 páginas

He publicado nuevos apuntes de 1º Álgebra: a.1-espacios-vectoriales.pdf

10 páginas

Tema 0-Números Complejos

4 páginas

Resumen de apuntes de TODOS los temas de Álgebra de las clases online de Garrido, con fórmulas importantes recuadradas y ejemplos

22 páginas

Resumen de todos los temas de algebra (Sin complejos)

11 páginas

Resumen Algebra Tema 2. Conceptos importantes que se preguntan en exámenes

4 páginas

Resumen Algebra Tema 1. Conceptos importantes que aparecen en examenes (No incluye números complejos)

5 páginas
Anónimo

@Anónimo

Curso 24-25 M1

11 páginas

He publicado nuevos apuntes de 1º Álgebra: algebra-final.pdf

16 páginas

apuntes

-

TODO Álgebra

Apuntes, ejercicios y problemas tipo examen. De las clases online voluntarias de Garrido.

Tema-6--ejercicios-algebra.pdf
Tema-5-algebra.pdf
Tema-4-algebra.pdf
Tema-3-algebra.pdf
Tema-2-algebra.pdf
Tema-1-Algebra.pdf

toda la teoría necesaria para hacer los ejercicios de los temas 5 y 6

1 página

toda la teoría necesaria para hacer los ejercicios de los temas 3 y 4

1 página

He publicado nuevos apuntes de 1º Álgebra: resumenacademiayclase.pdf

19 páginas

He publicado nuevos examenes de 1º Álgebra: PEC2-20.12.22-CuestResueltas.pdf

4 páginas

He publicado nuevos examenes de 1º Álgebra: PEC1-con-ejs-resueltos-29.10.24-Alge.pdf

11 páginas

He publicado nuevos ejercicios de 1º Álgebra: Ejercicios-Tema-1.pdf

10 páginas

He publicado nuevos apuntes de 1º Álgebra: Tema-1-Espacios-Vectoriales.pdf

8 páginas

He publicado nuevos apuntes de 1º Álgebra: Tema-6-Diagonalizacion-ortogonal.pdf

2 páginas

He publicado nuevos ejercicios de 1º Álgebra: Ejercicios-Libro-Algebra-Tema-5.pdf

2 páginas

He publicado nuevos apuntes de 1º Álgebra: Tema-5-Diagonalizacion.pdf

5 páginas

He publicado nuevos ejercicios de 1º Álgebra: Ejercicios-Tema-4-Algebra.pdf

4 páginas

He publicado nuevos apuntes de 1º Álgebra: Tema-4-Proyecciones-ortogonales-y-sus-aplicaciones.pdf

5 páginas

He publicado nuevos ejercicios de 1º Álgebra: Ejercicios-Libro-Algebra-Tema-3.pdf

9 páginas

He publicado nuevos apuntes de 1º Álgebra: Tema-3-Producto-Escalar-y-Ortogonalidad.pdf

7 páginas

Resumen comandos básicos MATLAB practicas

3 páginas

Apuntes de todos los temas del curso

19 páginas

Apuntes práctica 2 Matlab

7 páginas

Todas las notas teóricas de álgebra de la academia

11 páginas

apuntes

-

1º GITI- ÁLGEBRA- PECS RESUELTAS

He publicado nuevos apuntes de 1º Álgebra: 1º GITI- ÁLGEBRA- PECS RESUELTAS

PEC2-ALGEBRA-2023-24-CORREGIDA.pdf

apuntes

-

Diagonalización

He publicado nuevos apuntes de 1º Álgebra: Diagonalización

Diagonalizacion.pdf

He publicado nuevos apuntes de 1º Álgebra: Algebra-Tema-3-Garrido.pdf

3 páginas

He publicado nuevos apuntes de 1º Álgebra: Álgebra-Tema-4-Garrido.pdf

1 página

apuntes

-

Aplicaciones Lineales

He publicado nuevos apuntes de 1º Álgebra: Aplicaciones Lineales

TEMA-3.pdf
Ejercicios-Aplicaciones-Lineales.pdf

He publicado nuevos examenes de 1º Álgebra: Prueba-2examen.pdf

6 páginas

Ejercicios sobre bases, subespacios

6 páginas

apuntes

-

Teoría Resúmenes útil

He publicado nuevos apuntes de 1º Álgebra: Teoría Resúmenes útil

Bases.pdf

He publicado nuevos apuntes de 1º Álgebra: apuntes-clase-garrido-tema-4.pdf

4 páginas

He publicado nuevos apuntes de 1º Álgebra: chuletario-tema-4.pdf

1 página

He publicado nuevos apuntes de 1º Álgebra: chuletario-tema-6.pdf

2 páginas

He publicado nuevos apuntes de 1º Álgebra: chuletario-tema-5.pdf

1 página

He publicado nuevos apuntes de 1º Álgebra: Algebra-tema-3.pdf

2 páginas

He publicado nuevos apuntes de 1º Álgebra: algebra-tema-3.pdf

10 páginas

He publicado nuevos apuntes de 1º Álgebra: algebra-tema-4.pdf

8 páginas

He publicado nuevos apuntes de 1º Álgebra: algebra-repaso-temas-3-y-4.pdf

6 páginas

He publicado nuevos apuntes de 1º Álgebra: algebra-temas-5-y-6.pdf

8 páginas

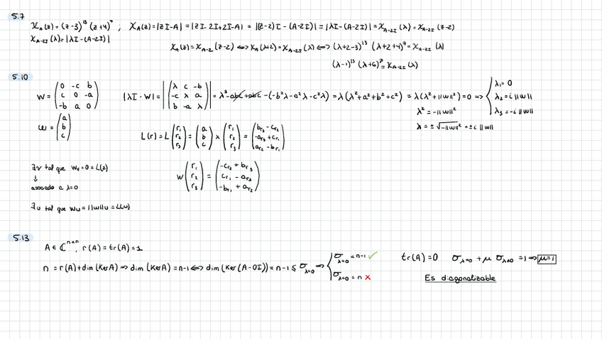
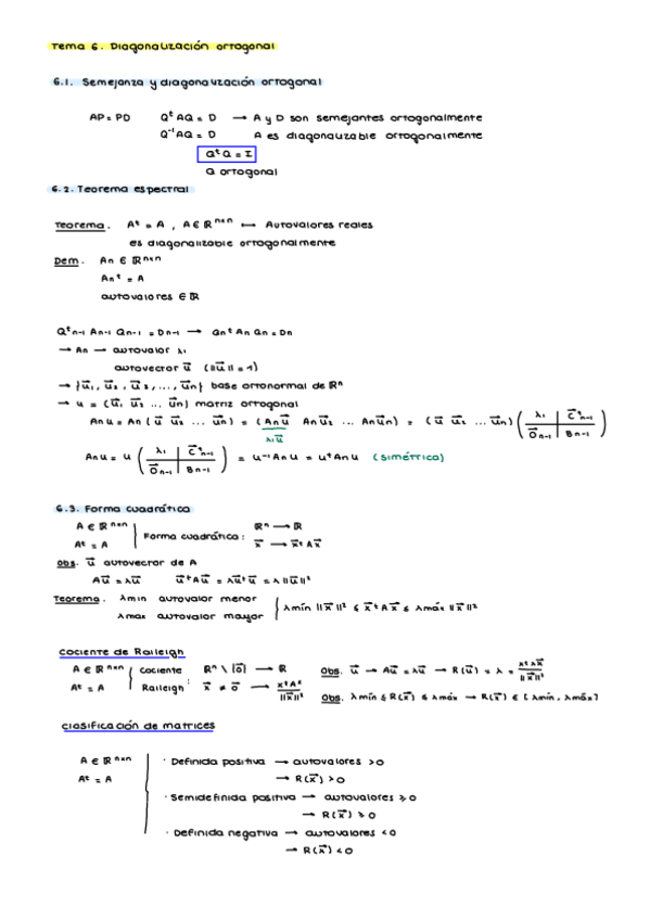
He publicado nuevos apuntes de 1º Álgebra: Tema-6.-Diagonalizacion-ortogonal.pdf

2 páginas

He publicado nuevos apuntes de 1º Álgebra: Tema-5.-Diagonalizacion.pdf

3 páginas

He publicado nuevos apuntes de 1º Álgebra: Tema-3.-Producto-escalar-y-ortogonalidad.pdf

4 páginas

He publicado nuevos apuntes de 1º Álgebra: Tema-4.-Proyecciones-ortogonales-y-simetria.pdf

3 páginas

He publicado nuevos apuntes de 1º Álgebra: Tema-1.-Espacios-vectoriales.pdf

3 páginas

apuntes

-

Apuntes Algebra

He publicado nuevos apuntes de 1º Álgebra: Apuntes Algebra

Tema-1-los-numeros-complejos-ALGEBRA.pdf
Tema-2.-Aplicaciones-lineales.pdf
Tema-34-Producto-escalar-y-ortogonalidad.pdf
Tema-5-diagonalizacion-de-matrices.pdf
Tema-6-diagonalizacion-ortogonal.pdf