Todo
Apuntes
Ejercicios
Exámenes
Otros
Prácticas
Test
Trabajos
chevron_left
chevron_right

Apuntes de lo mas importante de algebra y algunos ejercicios hechos para el segundo parcial.

5 páginas

Algebra Guía docente 2025-2026

4 páginas

apuntes

-

Midterm 2 ALG English

Resumen del Segundo Parcial: temas 3, 4 y 5 en Inglés. Con definiciones, teoremas, propiedades y fórmulas.

T5-Diagonalization.pdf
T4-Vector-Spaces.pdf
T3-Determinants.pdf

apuntes

-

Midterm 1 ALG English

Resúmenes de Álgebra con todas las definiciones, propiedades y fórmulas. Primer Parcial: Tema 1 y 2. En Inglés.

T2-Matrices.pdf
T1-Matrices-and-Vectors.pdf

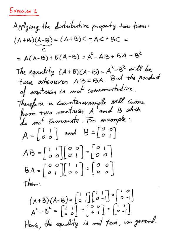
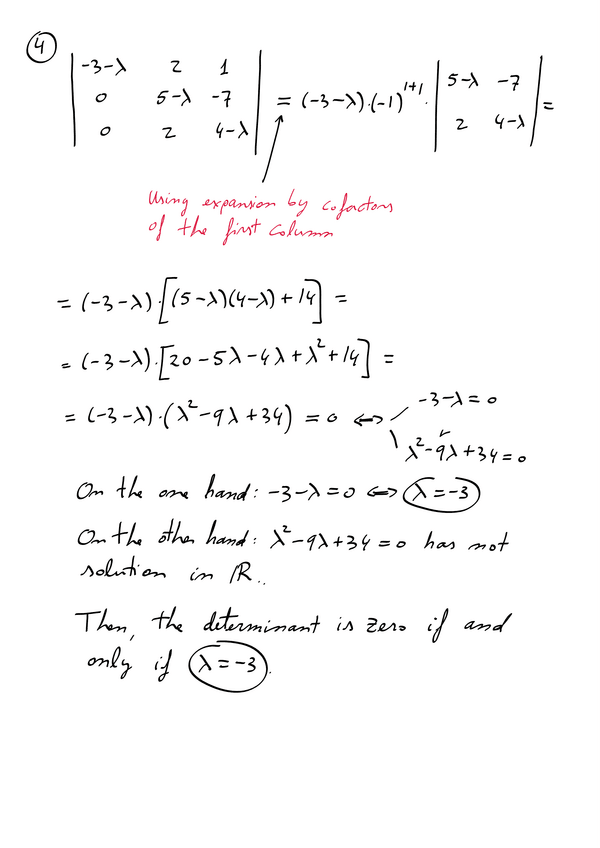
Esta es una guía con los pasos para poder hacer los ejercicios del segundo parcial de Álgebra. He intentado recopilar todos los tipos de ejercicios basándome en los exámenes de años anteriores

6 páginas

He publicado nuevos apuntes de 1º Álgebra: Formulario-Algebra-Segundo-Parcialcompressed.pdf

4 páginas

La mejor preparación detallada para el parcial 2

16 páginas

He publicado nuevos apuntes de 1º Álgebra: Parcial-2-soluciones-2023.pdf

1 página

He publicado nuevos apuntes de 1º Álgebra: TEMA-3-ALGEBRA.pdf

4 páginas

He publicado nuevos apuntes de 1º Álgebra: Parcial-2-soluciones-2024.pdf

1 página

He publicado nuevos apuntes de 1º Álgebra: Parcial-2-resumen.pdf

1 página

He publicado nuevos apuntes de 1º Álgebra: Parcial-1-tema-1-y-2.pdf

1 página
Anónimo

@Anónimo

Examen de pràctiques ALG curs 24_25

2 páginas

Apuntes breves paso a paso de lo que hay que poner en Scilab, lo que esta en rojo es lo que se pone directamente, y lo otro son anotaciones de que es lo que estas haciendo o cosas que tienes que comrpobar

5 páginas

He publicado nuevos apuntes de 1º Álgebra: Tema3-resumen-completo.pdf

4 páginas

He publicado nuevos apuntes de 1º Álgebra: Determinantes.pdf

2 páginas

resumen completo Scilab

18 páginas

He publicado nuevos apuntes de 1º Álgebra: ALGEBRA-PRACTICAS.pdf

2 páginas

Todo álgebra resumida a modo de formulario

7 páginas

He publicado nuevos examenes de 1º Álgebra: RECOPILATORIO-PRIMER-PARCIAL-EXAMENES-ALG.pdf

16 páginas

He publicado nuevos test de 1º Álgebra: Test-1-Linear-systems.pdf

4 páginas

test

-

Test 2: Matrices y Operaciones elementales

*La pregunta 1 es x=1* (se me ha olvidado la captura :v)

p2.jpg
p3.jpg
p4.jpg
p5.jpg
p6.jpg
p7.jpg

Sistemas d ecuaciones, vectores y todo sobre matrices

21 páginas
Anónimo

@Anónimo

Comandos importantes

3 páginas

Comandos importantes

3 páginas
Anónimo

@Anónimo

Comandos importantes

3 páginas
Anónimo

@Anónimo

Comandos importantes

3 páginas
Anónimo

@Anónimo

He publicado nuevos test de 1º Álgebra: Test-2-Matrices-y-Operaciones-elementales-2024-25.pdf

6 páginas

Apuntes 100% sacados del PDF de clase. NOTA: Al final del todo hay dos matrices Q^t pero una de ellas es Q^-1.

5 páginas

He publicado nuevos test de 1º Álgebra: ALGEBRA-Test-1-Vectores-y-operaciones-con-matrices.pdf

4 páginas

He publicado nuevos apuntes de 1º Álgebra: RESUMEN-MATRICES-basico.pdf

3 páginas

He publicado nuevos apuntes de 1º Álgebra: Apuntes-2o-parcial-ALG.pdf

7 páginas
Anónimo

@Anónimo

test

-

Tests ALG poliformat

He publicado nuevos test de 1º Álgebra: Tests ALG poliformat

Diagonalization-Test-ALG.pdf
Test-1-Linear-Systems-ALG.pdf
Test-3-Vector-spaces-ALG.pdf
Anónimo

@Anónimo

He publicado nuevos examenes de 1º Álgebra: EJERCICIOS-DIFICILES-SEGUNDO-PARCIAL.pdf

1 página

He publicado nuevos apuntes de 1º Álgebra: Tema 2.pdf

11 páginas

He publicado nuevos apuntes de 1º Álgebra: Tema 2.pdf

1 página

He publicado nuevos apuntes de 1º Álgebra: Pr5LU.pdf

2 páginas

He publicado nuevos apuntes de 1º Álgebra: LU.pdf

13 páginas

He publicado nuevos apuntes de 1º Álgebra: apunts2018.pdf

233 páginas

He publicado nuevos apuntes de 1º Álgebra: JACOBI-Y-GAUSS-SEIDEL.pdf

1 página

He publicado nuevos apuntes de 1º Álgebra: MindMap-ALG.T1.Matrices.pdf

1 página

He publicado nuevos otros de 1º Álgebra: MindMap-ALG.T1.vectores.pdf

1 página

apuntes

-

ejercicios clase

He publicado nuevos apuntes de 1º Álgebra: ejercicios clase

ejercicios-ut1.pdf
Anónimo

@Anónimo

He publicado nuevos apuntes de 1º Álgebra: PRACTICAS-ALGEBRA-EXPLICACION.pdf

5 páginas
Anónimo

@Anónimo

He publicado nuevos apuntes de 1º Álgebra: RESUMEN-PRACTICAS.pdf

5 páginas

He publicado nuevos apuntes de 1º Álgebra: esquema algebra.pdf

1 página

apuntes

-

APUNTES DETALLADOS SISTEMAS LINEALES

He publicado nuevos apuntes de 1º Álgebra: APUNTES DETALLADOS SISTEMAS LINEALES

Sistemas-Lineales.pdf

practicas

-

APUNTES PRÁCTICAS ÁLGEBRA

He publicado nuevos practicas de 1º Álgebra: APUNTES PRÁCTICAS ÁLGEBRA

Practica-6.pdf
Practica-7.pdf
Practica-4.pdf
Practica-3.pdf
Practica-2.pdf
Practica-1.pdf

apuntes

-

APUNTES DIAGONALIZACIÓN

He publicado nuevos apuntes de 1º Álgebra: APUNTES DIAGONALIZACIÓN

Diagonalizacion.pdf

apuntes

-

APUNTES DETERMINANTES + EJERCICIOS EXPLICATIVOS

He publicado nuevos apuntes de 1º Álgebra: APUNTES DETERMINANTES + EJERCICIOS EXPLICATIVOS

Determinantes.pdf

apuntes

-

TEMA 4. ESPACIOS VECTORIALES APUNTES DETALLADOS + EJERCICIOS EXPLICATIVOS

He publicado nuevos apuntes de 1º Álgebra: TEMA 4. ESPACIOS VECTORIALES APUNTES DETALLADOS + EJERCICIOS EXPLICATIVOS

Espacios-Vectoriales--Ejercicios-Explicativos.pdf

He publicado nuevos practicas de 1º Álgebra: Resumen Examen Lab.pdf

13 páginas

practicas

-

Prácticas + Formulario

He publicado nuevos practicas de 1º Álgebra: Prácticas + Formulario

Solucion-Practica-2.pdf
Solucion-Practica-3.pdf
Solucion-Practica-4.pdf
Solucion-Practica-6.pdf
Solucion-Practica-7.pdf

He publicado nuevos apuntes de 1º Álgebra: Apuntes-de-clase-Algebra.pdf

29 páginas

He publicado nuevos examenes de 1º Álgebra: Recuperacio-30juny2023sol.pdf

10 páginas

He publicado nuevos apuntes de 1º Álgebra: PRIMER PARCIAL TODO APUNTES ALGEBRA.pdf

9 páginas
Anónimo

@Anónimo

He publicado nuevos apuntes de 1º Álgebra: Resumen-Algebra-2-PARCIAL.pdf

5 páginas
Anónimo

@Anónimo

ejercicios

-

Soluciones Ejercicios Propuestos

En estos documentos se encuentran la mayoría de ejercicios, pero puede faltar alguno

Lesson5.pdf
Lesson4.pdf
Lesson3part2.pdf
Lesson3part1.pdf
Lesson2.pdf
Lesson1.pdf
Anónimo

@Anónimo

He publicado nuevos examenes de 1º Álgebra: Segundo-parcialAlgebra-2022-23sol.pdf

4 páginas
Anónimo

@Anónimo

examenes

-

Examenes anteriores

He publicado nuevos examenes de 1º Álgebra: Examenes anteriores

Parcial-2-2021.pdf
Parcial-2-2019.pdf
Recu-Parcial-2-2019.pdf
Recu-Parcial-2-2021.pdf
Recu-Parcial-2-2022.pdf