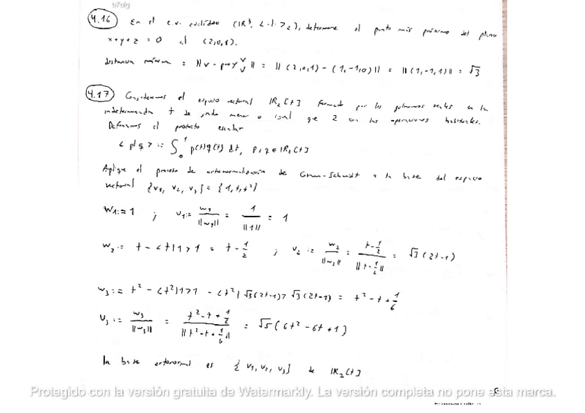
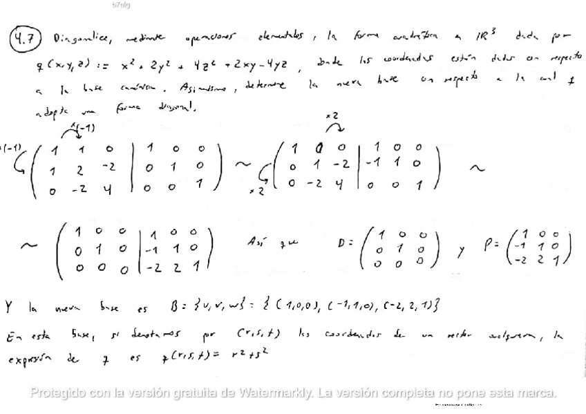
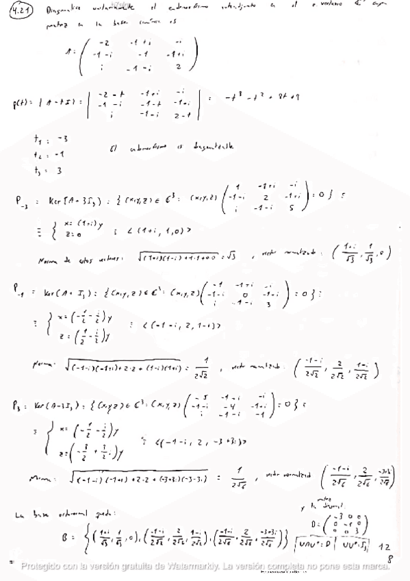
Álgebra
Todo
Ejercicios
chevron_left
chevron_right
ejercicios
-
Ejercicios con solución
He publicado nuevos ejercicios de 1º Álgebra: Ejercicios con solución
¡Estás al día!
Has visto todos los archivos
ejercicios
-
Ejercicios con solución
He publicado nuevos ejercicios de 1º Álgebra: Ejercicios con solución
¡Estás al día!
Has visto todos los archivos