Todo
Apuntes
Ejercicios
Exámenes
publication
chevron_left
chevron_right

1.Conceptos matemáticos

6 páginas

He publicado nuevos examenes de 1º Álgebra: Febrero-25-semana-1.pdf

5 páginas

1.Ejercicios Conceptos matemáticos

19 páginas

He publicado nuevos apuntes de 1º Álgebra

https://youtu.be/gdI6gAGYfoY?si=x_UNm2IyFiZsVl9l

⚡ RANGO DE UNA MATRIZ ⚡QUÉ ES | Tema 1 Álgebra [UNED]

⚡RANGO DE UNA MATRIZ⚡CÓMO CALCULARLO | Tema 1 Álgebra [UNED]

⚡ Matriz Traspuesta ⚡ QUÉ ES Y CÓMO CALCULARLA | Tema 1 Álgebra [UNED]

He publicado nuevos ejercicios de 1º Álgebra: 1.Ejercicios-Conceptos-matematicos-pizarra-completa.pdf

19 páginas

ejercicios

-

EJERCICIOS ÁLGEBRA UNED

He publicado nuevos ejercicios de 1º Álgebra: EJERCICIOS ÁLGEBRA UNED

EJERCICIOS-ALGEBRA-5-6.pdf
EJERCICIOS-ALGEBRA-5-6.pdf
EJERCICIOS-ALGEBRA-3-4.pdf
EJERCICIOS-ALGEBRA-3-4.pdf
EJERCICIOS-ALGEBRA-1-2.pdf
EJERCICIOS-ALGEBRA-1-2.pdf

apuntes

-

ÁLGEBRA TEMARIO COMPLETO

He publicado nuevos apuntes de 1º Álgebra: ÁLGEBRA TEMARIO COMPLETO

TEMA-3-ALGEBRA.pdf
TEMA-3-ALGEBRA.pdf
TEMA-4-ALGEBRA.pdf
TEMA-4-ALGEBRA.pdf
TEMA-1-ALGEBRA.pdf
TEMA-1-ALGEBRA.pdf
Anónimo

@Anónimo

examenes

-

Examenes resueltos

He publicado nuevos examenes de 1º Álgebra: Examenes resueltos

exalgfeb21.pdf
exalgfeb21.pdf
exalgsept1819.pdf
exalgsept1819.pdf
Relacion-de-ejercicios-de-cara-al-examen.pdf
Relacion-de-ejercicios-de-cara-al-examen.pdf

He publicado nuevos ejercicios de 1º Álgebra: Algebra.pdf

28 páginas

apuntes

-

Apuntes Libro Algebra Lineal (teoria y ejercicios resueltos) Ing Teleco

He publicado nuevos apuntes de 1º Álgebra: Apuntes Libro Algebra Lineal (teoria y ejercicios resueltos) Ing Teleco

TEMA 1.pdf
TEMA 1.pdf
TEMA 2.pdf
TEMA 2.pdf
TEMA 3.pdf
TEMA 3.pdf

apuntes

-

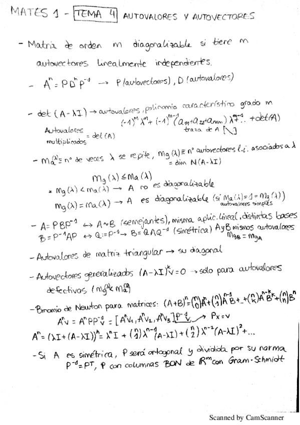
Resumenes Algebra Lineal, autovalores y autovectores

He publicado nuevos apuntes de 1º Álgebra: Resumenes Algebra Lineal, autovalores y autovectores

Tema3 - Mates1.pdf
Tema3 - Mates1.pdf
Tema4 - Mates1.pdf
Tema4 - Mates1.pdf