chevron_left
chevron_right
Todo
Apuntes
chevron_left
chevron_right

apuntes

-

Resúmenes de todos los temas

He publicado nuevos apuntes de 1º Álgebra: Resúmenes de todos los temas

ALG-Resumenes-Teoria.pdf

apuntes

-

Apuntes largos teoría + ejercicios

Apuntes extensos de la teoría dada en clase junto con ejercicios resueltos. Nota final obtenida: sobresaliente. Los enunciados de los ejercicios están en un documento a parte.

ALG-Apuntes-Tema-5.pdf
ALG-Apuntes-Tema-6.pdf
ALG-Apuntes-Tema-7.pdf
ALG-Apuntes-Tema-8.pdf
ALGEBRA-Apuntes-Tema-0.pdf
ALGEBRA-Apuntes-Tema-1.pdf

Apuntes del Profesor

Miniatura no disponible
392 páginas

apuntes

-

Ejercicios resueltos curso 21-22

He publicado nuevos apuntes de 1º Álgebra: Ejercicios resueltos curso 21-22

Enunciados-Ejercicios-Algebra.pdf
Tema-0-Ejercicios.pdf
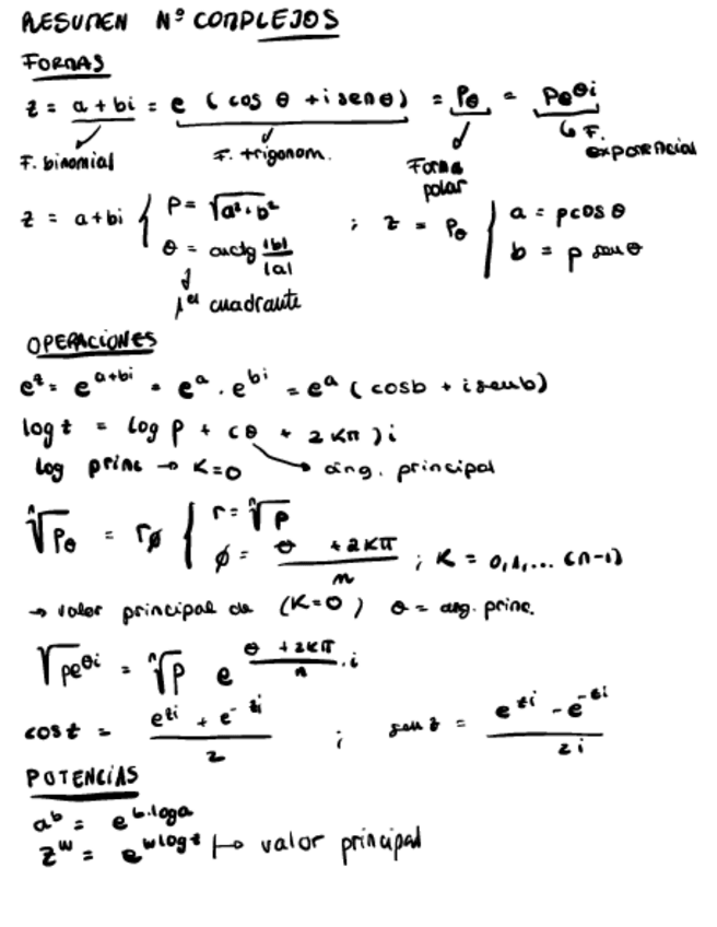
Numeros-complejos-ejercicios.pdf
Tema-1-ejerciciosparte1.pdf
Tema-1ejerciciosparte2.pdf
Tema-2ejercicios.pdf

He publicado nuevos apuntes de 1º Álgebra: Section-1-Be-and-Have.pdf

9 páginas
¡Estás al día!

¡Estás al día!

Has visto todos los archivos