chevron_left
chevron_right
Todo
Apuntes
Ejercicios
Exámenes
chevron_left
chevron_right

He publicado nuevos apuntes de 1º Álgebra: Examen1EvaluacionContinua.pdf

2 páginas

He publicado nuevos apuntes de 1º Álgebra: Examen2EvaluacionContinua.pdf

1 página

He publicado nuevos apuntes de 1º Álgebra: Recuperacion.pdf

1 página

He publicado nuevos apuntes de 1º Álgebra: ExamenFinalExtraordinario.pdf

2 páginas

He publicado nuevos apuntes de 1º Álgebra: ExamenFinalOrdinario.pdf

2 páginas

He publicado nuevos apuntes de 1º Álgebra: Apuntes-Temas-1-2-3-Algebra.pdf

4 páginas

He publicado nuevos apuntes de 1º Álgebra: Teoria-Grafos.pdf

13 páginas

He publicado nuevos ejercicios de 1º Álgebra: Ejercicios-Matrices.pdf

32 páginas

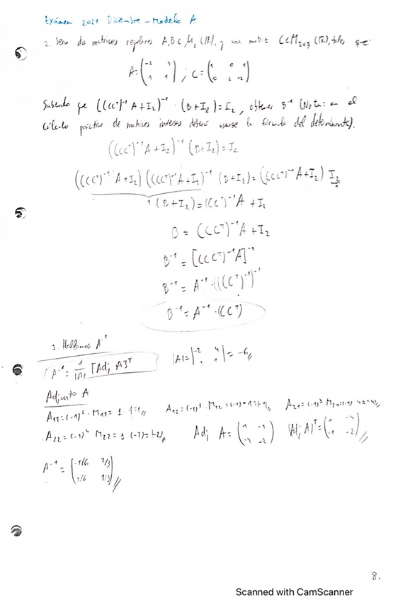
He publicado nuevos examenes de 1º Álgebra: Ejercicios-Examenes.pdf

56 páginas

He publicado nuevos ejercicios de 1º Álgebra: Ejercicios-Estructuras-Algebraicas.pdf

15 páginas

He publicado nuevos apuntes de 1º Álgebra: 7.-Sistema-de-ecuaciones-lineales.pdf

4 páginas

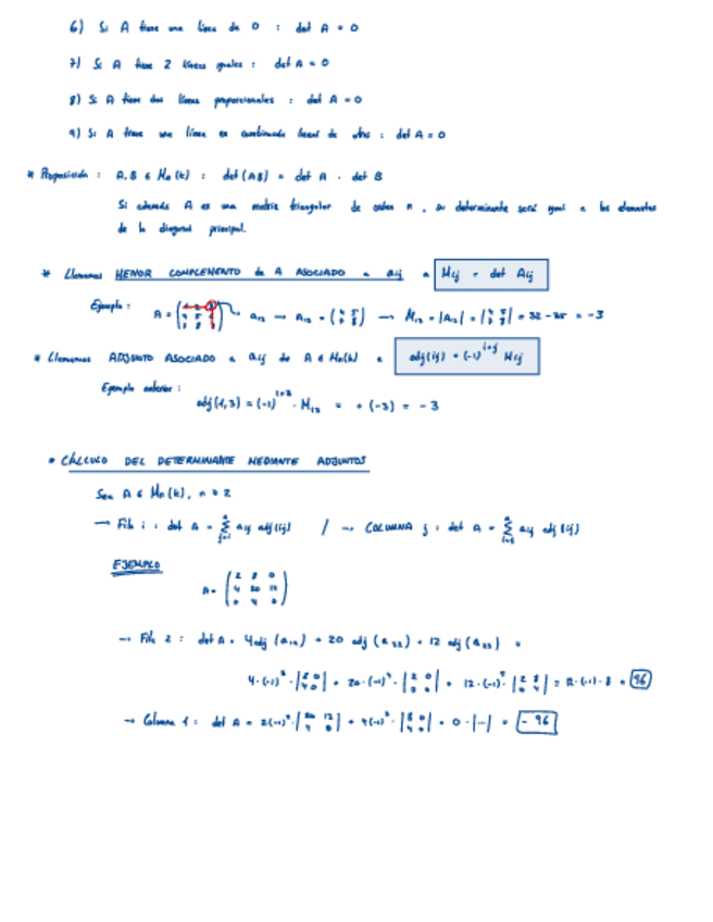
He publicado nuevos apuntes de 1º Álgebra: 6.-Determinantes.pdf

5 páginas

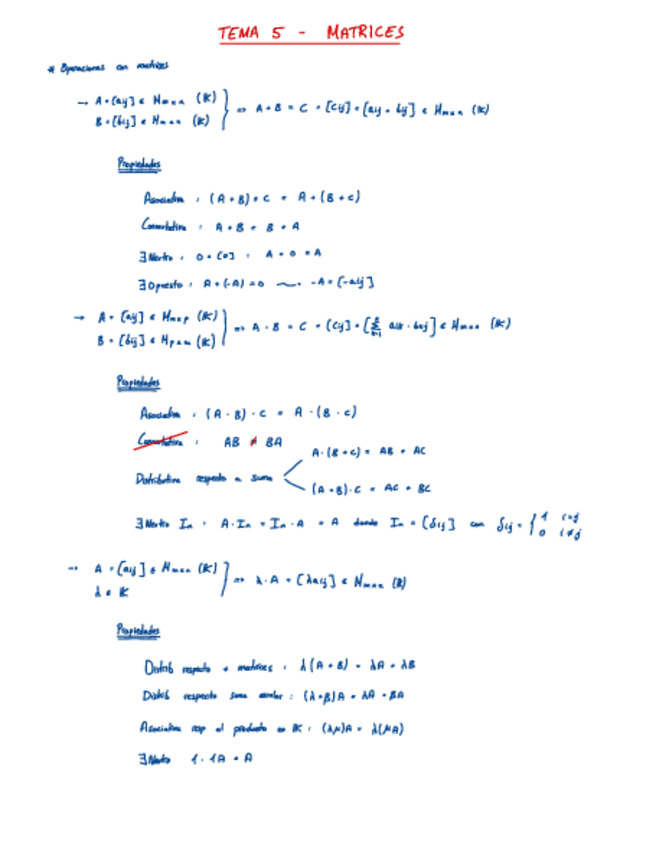
He publicado nuevos apuntes de 1º Álgebra: 5.-Matrices.pdf

14 páginas

He publicado nuevos apuntes de 1º Álgebra: 4.-Estructuras-Algebraicas.pdf

12 páginas

He publicado nuevos apuntes de 1º Álgebra: 3.-Relaciones-Binarias.pdf

25 páginas

He publicado nuevos apuntes de 1º Álgebra: 2.-Correspondencias-y-funciones.pdf

14 páginas

He publicado nuevos apuntes de 1º Álgebra: 1.-Logica.pdf

17 páginas

He publicado nuevos apuntes de 1º Álgebra: Tema-4-ESTRUCTURAS-ALGEBRAICAS.pdf

8 páginas
Anónimo

@Anónimo

examenes

-

Examenes resueltos

Examenes parciales y globales (finales) de este año (22-23). Todos con Soluciones

Examen-parcial-Control-de-Seguimiento-2-Algebra-RESUELTO-Temas-4567.pdf
Examen-final-Control-de-Seguimiento-Algebra-Ordinario-2022-23-RESUELTO.pdf

apuntes

-

Ejercicios Hechos en forma de apuntes

Ejercicios hechos para cada tema de la asignatura. Todos los tipos de ejercicios posibles por teoría resueltos

Ejercicios-Hechos.pdf
Matrices-Tema-completo-con-ejercicios-de-todos-los-tipos-posibles-resueltos-apuntes.pdf
Determinantes-Tema-completo-con-ejercicios-completos-resueltos-apuntes.pdf

Examen parcial Álgebra completo y resuelto. Temas (1-4) Correspondencias, Relaciones binarias, estructuras algebraicas

4 páginas

Álgebra tema 6 Determinantes apuntes completos

3 páginas

Álgebra Matrices, apuntes completos con ejemplos. Tema 5. Álgebra 1. Álgebra I

3 páginas

Teoría completa - Estructuras algebraicas tema 4

5 páginas

Tema 4 ESTRUCTURAS ALGEBRAICAS - Apuntes completos - Álgebra 1 Ingeniería

5 páginas

Tema 3 - Relaciones Binarias y Principio de inducción matemática apuntes limpios y completos

6 páginas

Ejercicios - Temas 1-3 - Conjuntos, Correspondencias y Funciones, Relaciones Binarias, principio de inducción matemática

7 páginas
Anónimo

@Anónimo

He publicado nuevos apuntes de 1º Álgebra: ConceptosCorrespondenciasyFunciones.pdf

4 páginas
Anónimo

@Anónimo

He publicado nuevos apuntes de 1º Álgebra: ConjuntosConceptosBasicos.pdf

4 páginas
¡Estás al día!

¡Estás al día!

Has visto todos los archivos