ÁLGEBRAS, GRUPOS Y REPRESENTACIONES

chevron_left
chevron_right
Todo
Apuntes
Ejercicios
Exámenes
chevron_left
chevron_right

He publicado nuevos examenes de 4º ÁLGEBRAS, GRUPOS Y REPRESENTACIONES: Ex.Junio(2025).pdf

1 página

He publicado nuevos examenes de 4º ÁLGEBRAS, GRUPOS Y REPRESENTACIONES: Preguntas-teoricas-AGR.pdf

11 páginas

He publicado nuevos ejercicios de 4º ÁLGEBRAS, GRUPOS Y REPRESENTACIONES: Tablas-de-caracteres.pdf

11 páginas

apuntes

-

Examenes 2024

He publicado nuevos apuntes de 4º ÁLGEBRAS, GRUPOS Y REPRESENTACIONES: Examenes 2024

Parcial-1.pdf
Final-ordinario.pdf
Examen-1-arg.pdf
Examen-2-arg.pdf

He publicado nuevos ejercicios de 4º ÁLGEBRAS, GRUPOS Y REPRESENTACIONES: RP3.pdf

2 páginas

He publicado nuevos ejercicios de 4º ÁLGEBRAS, GRUPOS Y REPRESENTACIONES: RP2.pdf

1 página

He publicado nuevos ejercicios de 4º ÁLGEBRAS, GRUPOS Y REPRESENTACIONES: RP1.pdf

1 página

He publicado nuevos apuntes de 4º ÁLGEBRAS, GRUPOS Y REPRESENTACIONES: representaciones.pdf

115 páginas

He publicado nuevos ejercicios de 4º ÁLGEBRAS, GRUPOS Y REPRESENTACIONES: RE4.pdf

1 página

He publicado nuevos ejercicios de 4º ÁLGEBRAS, GRUPOS Y REPRESENTACIONES: RE3.pdf

1 página

He publicado nuevos ejercicios de 4º ÁLGEBRAS, GRUPOS Y REPRESENTACIONES: RE2S.pdf

12 páginas

He publicado nuevos ejercicios de 4º ÁLGEBRAS, GRUPOS Y REPRESENTACIONES: RE1S.pdf

5 páginas

He publicado nuevos apuntes de 4º ÁLGEBRAS, GRUPOS Y REPRESENTACIONES: aplicacion-de-los-cuaternio-en-satelites.pdf

77 páginas

He publicado nuevos apuntes de 4º ÁLGEBRAS, GRUPOS Y REPRESENTACIONES: CUATERNIONES-Y-SATELITES.pdf

45 páginas

He publicado nuevos apuntes de 4º ÁLGEBRAS, GRUPOS Y REPRESENTACIONES: AGR-3.pdf

47 páginas

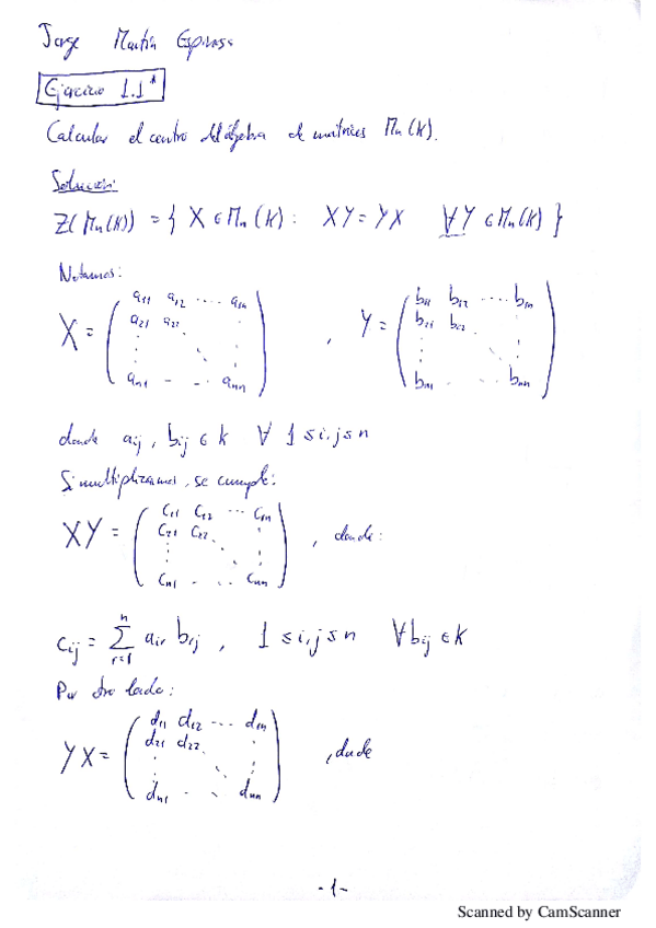
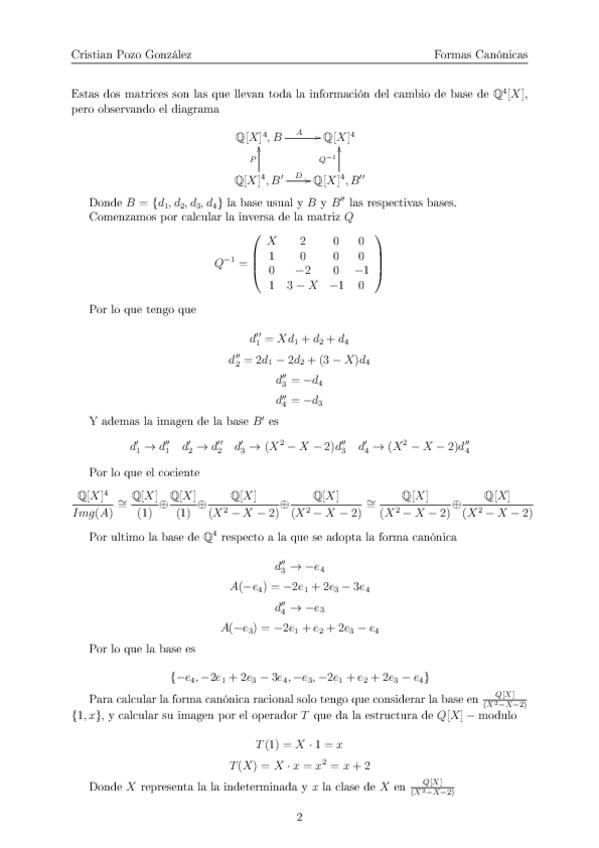
He publicado nuevos apuntes de 4º ÁLGEBRAS, GRUPOS Y REPRESENTACIONES: Ejercicio-Formas-Canonicas-Cristian-Pozo-Gonzalez.pdf

6 páginas

He publicado nuevos apuntes de 4º ÁLGEBRAS, GRUPOS Y REPRESENTACIONES: Ejercicio-CS3-modulos-Cristian-Pozo-Gonzalez.pdf

3 páginas

He publicado nuevos apuntes de 4º ÁLGEBRAS, GRUPOS Y REPRESENTACIONES: Ejercicio-Algebras-de-C2-Cristian-Pozo-Gonzalez.pdf

7 páginas

He publicado nuevos apuntes de 4º ÁLGEBRAS, GRUPOS Y REPRESENTACIONES: Ejercicio-3312e008-Cristian-Pozo-Gonzalez.pdf

1 página

He publicado nuevos apuntes de 4º ÁLGEBRAS, GRUPOS Y REPRESENTACIONES: Descomposicion-de-Modulos-Ejercicio-2-Cristian-Pozo-Gonzalez.pdf

1 página

He publicado nuevos apuntes de 4º ÁLGEBRAS, GRUPOS Y REPRESENTACIONES: Descomposicion-de-Modulos-Cristian-Pozo-Gonzalez.pdf

1 página

He publicado nuevos apuntes de 4º ÁLGEBRAS, GRUPOS Y REPRESENTACIONES: Construccion-de-Caracteres-Cristian-Pozo-Gonzalez.pdf

2 páginas

He publicado nuevos apuntes de 4º ÁLGEBRAS, GRUPOS Y REPRESENTACIONES: Construccion-de-Caracteres-2-Cristian-Pozo-Gonzalez.pdf

1 página

He publicado nuevos ejercicios de 4º ÁLGEBRAS, GRUPOS Y REPRESENTACIONES: Ejercicio-6.pdf

11 páginas

He publicado nuevos apuntes de 4º ÁLGEBRAS, GRUPOS Y REPRESENTACIONES: Libro-Teoria-AGyR.pdf

136 páginas

He publicado nuevos ejercicios de 4º ÁLGEBRAS, GRUPOS Y REPRESENTACIONES: EjerciciosFinal.pdf

25 páginas

He publicado nuevos ejercicios de 4º ÁLGEBRAS, GRUPOS Y REPRESENTACIONES: agyr.pdf

20 páginas
¡Estás al día!

¡Estás al día!

Has visto todos los archivos