chevron_left
chevron_right
Todo
Apuntes
Exámenes
chevron_left
chevron_right

He publicado nuevos apuntes de 2º Algorítmica Numérica: Apuntes-AlgoritmicaNumerica.pdf

18 páginas
Anónimo

@Anónimo

examenes

-

Algorítmica Numérica

He publicado nuevos examenes de 2º Algorítmica Numérica: Algorítmica Numérica

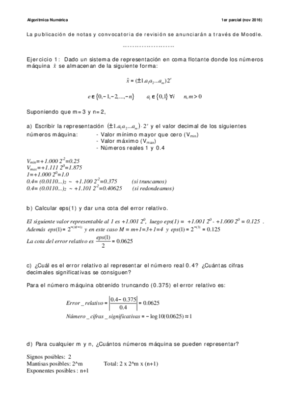
2016Noviembre.pdf
2019Enero.pdf
2018Noviembre.pdf
2020Enero.pdf
2018Enero.pdf
2017Noviembre.pdf
Anónimo

@Anónimo

He publicado nuevos apuntes de 2º Algorítmica Numérica: Matlab.pdf

6 páginas

He publicado nuevos apuntes de 2º Algorítmica Numérica: Resumen-Algnum-2022-05-14-170557.pdf

2 páginas
Anónimo

@Anónimo

apuntes

-

Exámenes Resueltos Parcial 2

He publicado nuevos apuntes de 2º Algorítmica Numérica: Exámenes Resueltos Parcial 2

2.pdf
2.pdf
2.pdf
2.pdf
2.pdf
2.pdf
Anónimo

@Anónimo

apuntes

-

Exámenes Resueltos Parcial 1

He publicado nuevos apuntes de 2º Algorítmica Numérica: Exámenes Resueltos Parcial 1

1.pdf
1.pdf
1.pdf
1.pdf
1.pdf
1.pdf

examenes

-

EXÁMENES RESUELTOS

He publicado nuevos examenes de 2º Algorítmica Numérica: EXÁMENES RESUELTOS

ExamenComputacional31212012Solucion.pdf
Ensayoexamen1Oct11.pdf
solucionesjulio2012.pdf
Ensayoexamen1Oct11solucion.pdf
ExamenfinalcompprobEne2012.pdf
ExamenComputacional20Oct11Solucion.pdf
¡Estás al día!

¡Estás al día!

Has visto todos los archivos