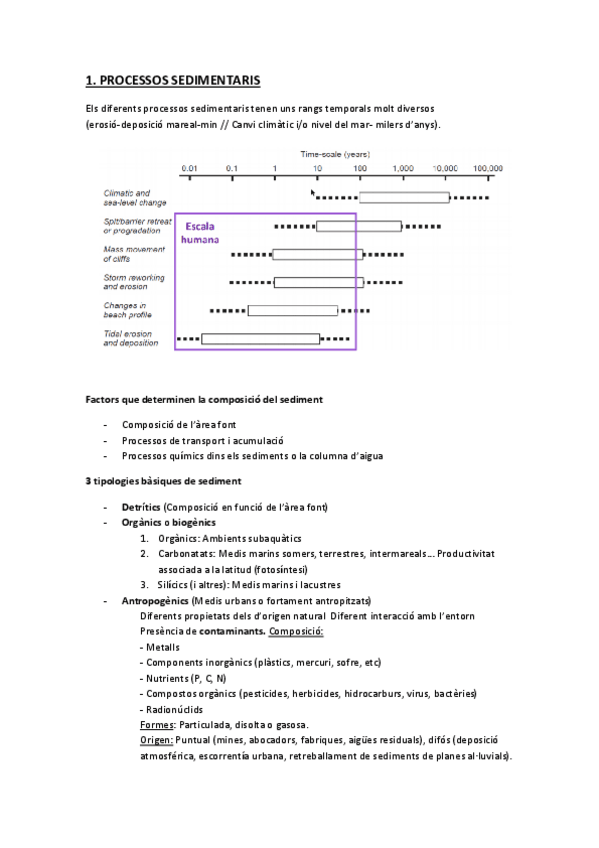
Ambients Geològics Actuals

chevron_left
chevron_right
Todo
Apuntes
chevron_left
chevron_right

He publicado nuevos apuntes de 4º Ambients Geològics Actuals: Apunts-Segon-Parcial-AGA.pdf

22 páginas

He publicado nuevos apuntes de 4º Ambients Geològics Actuals: Apunts-Teoria-Primer-Parcial-AGA.pdf

20 páginas
¡Estás al día!

¡Estás al día!

Has visto todos los archivos