Ampliación de Análisis Matemático

chevron_left
chevron_right
Todo
Apuntes
chevron_left
chevron_right

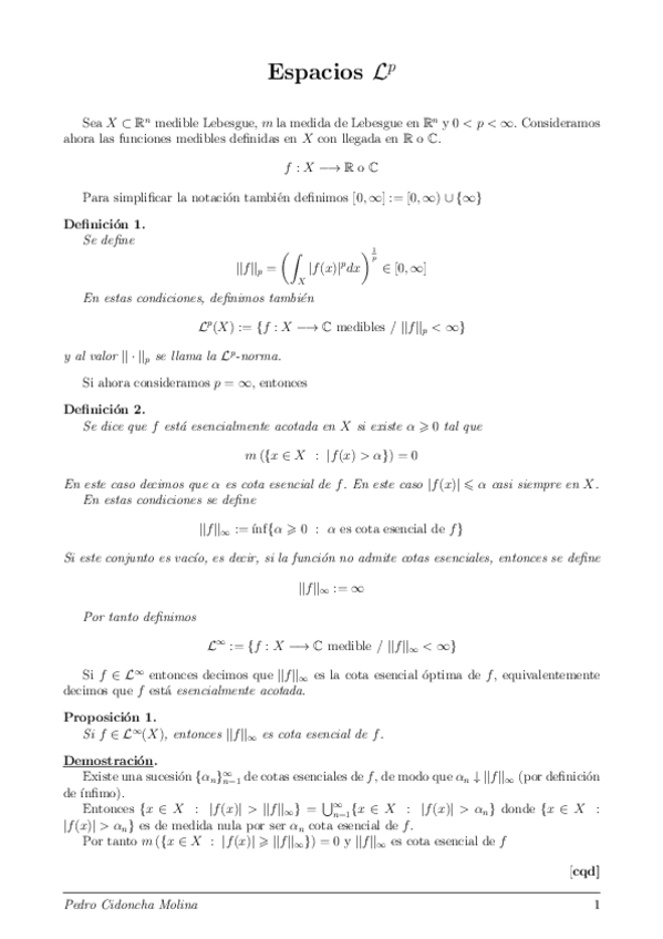
He publicado nuevos apuntes de 3º Ampliación de Análisis Matemático: Espacios-Lp.pdf

4 páginas

He publicado nuevos apuntes de 3º Ampliación de Análisis Matemático: Tema-5.pdf

36 páginas

He publicado nuevos apuntes de 3º Ampliación de Análisis Matemático: Tema-4.pdf

26 páginas

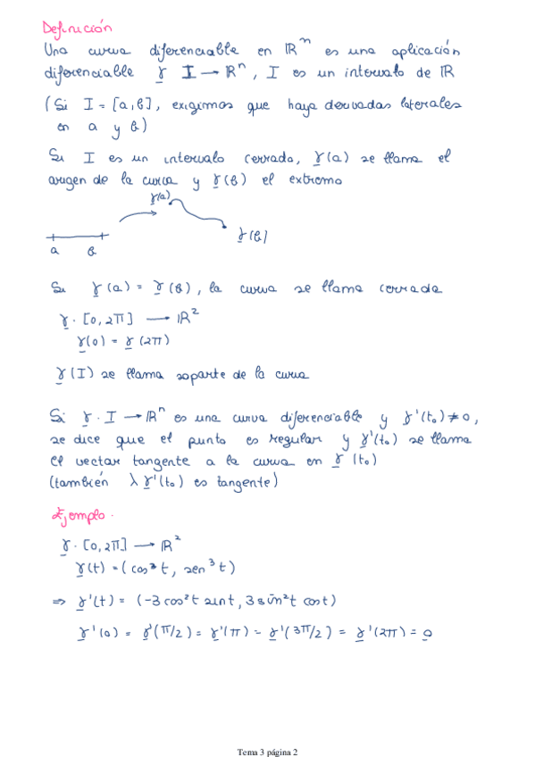
He publicado nuevos apuntes de 3º Ampliación de Análisis Matemático: Tema-3.pdf

14 páginas

apuntes

-

Extremos condicionados

He publicado nuevos apuntes de 3º Ampliación de Análisis Matemático: Extremos condicionados

Tema-2.pdf

He publicado nuevos apuntes de 3º Ampliación de Análisis Matemático: Tema-1.pdf

16 páginas
¡Estás al día!

¡Estás al día!

Has visto todos los archivos