chevron_left
chevron_right
Todo
Apuntes
Ejercicios
Exámenes
Prácticas
Trabajos
chevron_left
chevron_right

examenes

-

EXAMENES FINALES RESUELTOS

He publicado nuevos examenes de 1º Ampliación de Cálculo y Ecuaciones Diferenciales: EXAMENES FINALES RESUELTOS

EXAMEN-FINAL-2018-RESUELTO.pdf
EXAMEN-FINAL-2022-RESUELTO.pdf
EXAMEN-FINAL-JUNIO-2022-RESUELTO.pdf

examenes

-

EXAMENES PARCIALES RESUELTOS

He publicado nuevos examenes de 1º Ampliación de Cálculo y Ecuaciones Diferenciales: EXAMENES PARCIALES RESUELTOS

EXAMEN-PARCIAL-2018-RESUELTO.pdf
EXAMEN-PARCIAL-2022-RESUELTO.pdf
EXAMEN-PARCIAL-JUNIO-2022-RESUELTO.pdf
EXAMEN-PARCIAL-RESUELTO.pdf

He publicado nuevos apuntes de 1º Ampliación de Cálculo y Ecuaciones Diferenciales: RESUMEN-TEMAS-123-AMPLI.pdf

7 páginas

He publicado nuevos apuntes de 1º Ampliación de Cálculo y Ecuaciones Diferenciales: EDOs-lineales-completas-hasta-antes-semana-santa.pdf

8 páginas

He publicado nuevos apuntes de 1º Ampliación de Cálculo y Ecuaciones Diferenciales: EDOs-de-orden-2-homogeneass.pdf

3 páginas

He publicado nuevos apuntes de 1º Ampliación de Cálculo y Ecuaciones Diferenciales: EDOs-de-orden-2-homogeneas.pdf

3 páginas

He publicado nuevos apuntes de 1º Ampliación de Cálculo y Ecuaciones Diferenciales: Continuacion-ejs1.pdf

3 páginas

He publicado nuevos apuntes de 1º Ampliación de Cálculo y Ecuaciones Diferenciales: EDOs-lineales-250325.pdf

4 páginas

TODA LA TEORIA

18 páginas

apuntes

-

Examenes Bloques 1 y 2

He publicado nuevos apuntes de 1º Ampliación de Cálculo y Ecuaciones Diferenciales: Examenes Bloques 1 y 2

ExamenExtraordinarioParcial1IngAero2022Resuelto.pdf
ExamenExtraordinarioParcial2IngAero2022Resuelto.pdf
ExamenParcial2IngAero2022Resuelto.pdf
ExamenRecupParcial1IngAero2022Resuelto.pdf
Soluciones-Parcial-1-2018.pdf
SolucionesExamenParcial1IngAero2022.pdf

He publicado nuevos apuntes de 1º Ampliación de Cálculo y Ecuaciones Diferenciales: APUNTES-1.pdf

50 páginas

He publicado nuevos ejercicios de 1º Ampliación de Cálculo y Ecuaciones Diferenciales: Ejercicios-Calculo-Bloque-1.pdf

15 páginas

He publicado nuevos examenes de 1º Ampliación de Cálculo y Ecuaciones Diferenciales: Enunciado-y-Solucion-Parcial-I-Ordinaria-2022-2023.pdf

7 páginas

He publicado nuevos ejercicios de 1º Ampliación de Cálculo y Ecuaciones Diferenciales: Ejercicios-Calculo-Bloque-2.pdf

18 páginas

He publicado nuevos ejercicios de 1º Ampliación de Cálculo y Ecuaciones Diferenciales: AM.-Ejercicios-1aParte.pdf

42 páginas

He publicado nuevos ejercicios de 1º Ampliación de Cálculo y Ecuaciones Diferenciales: AM.-Ejercicios-2aParte.pdf

47 páginas

He publicado nuevos apuntes de 1º Ampliación de Cálculo y Ecuaciones Diferenciales: Apuntes-Bloque-1-Ampliacion-Calculo.pdf

14 páginas

He publicado nuevos apuntes de 1º Ampliación de Cálculo y Ecuaciones Diferenciales: Apuntes-Bloque-2-Ampliacion-de-Calculo.pdf

19 páginas

He publicado nuevos apuntes de 1º Ampliación de Cálculo y Ecuaciones Diferenciales: APUNTES-CALCULO-INTEGRAL.pdf

23 páginas

He publicado nuevos apuntes de 1º Ampliación de Cálculo y Ecuaciones Diferenciales: FORMULARIO.pdf

4 páginas

He publicado nuevos apuntes de 1º Ampliación de Cálculo y Ecuaciones Diferenciales: EJERCICIOS INTEGRALES DOBLES Y TRIPLES.pdf

4 páginas

He publicado nuevos apuntes de 1º Ampliación de Cálculo y Ecuaciones Diferenciales: CALCULO-INTEGRAL-RESUMEN.pdf

1 página

He publicado nuevos apuntes de 1º Ampliación de Cálculo y Ecuaciones Diferenciales: ECUACIONES-EN-DERIVADAS-PARCIALES.pdf

2 páginas

He publicado nuevos apuntes de 1º Ampliación de Cálculo y Ecuaciones Diferenciales: ECUACIONES-DIFERENCIALES-ORDINARIAS.pdf

4 páginas

He publicado nuevos apuntes de 1º Ampliación de Cálculo y Ecuaciones Diferenciales: ECUACIONES-DIFERENCIALES-PARTE 2.pdf

13 páginas

He publicado nuevos trabajos de 1º Ampliación de Cálculo y Ecuaciones Diferenciales: entregaoctave.pdf

4 páginas

He publicado nuevos apuntes de 1º Ampliación de Cálculo y Ecuaciones Diferenciales: ECUACIONES-DIFERENCIALES-PARTE1.pdf

24 páginas

He publicado nuevos apuntes de 1º Ampliación de Cálculo y Ecuaciones Diferenciales: referencias.pdf

1 página

He publicado nuevos apuntes de 1º Ampliación de Cálculo y Ecuaciones Diferenciales: Tema-3.pdf

1 página

He publicado nuevos apuntes de 1º Ampliación de Cálculo y Ecuaciones Diferenciales: Tema-2.pdf

2 páginas

He publicado nuevos apuntes de 1º Ampliación de Cálculo y Ecuaciones Diferenciales: Tema-1.pdf

3 páginas

He publicado nuevos apuntes de 1º Ampliación de Cálculo y Ecuaciones Diferenciales: T7-Ecuaciones-en-Derivadas-Parciales-de-orden-2.pdf

13 páginas

He publicado nuevos apuntes de 1º Ampliación de Cálculo y Ecuaciones Diferenciales: T6-Ecuaciones-Lineales-De-Orden-2.pdf

10 páginas

He publicado nuevos apuntes de 1º Ampliación de Cálculo y Ecuaciones Diferenciales: T5-Ecuaciones-Diferenciales.pdf

10 páginas

He publicado nuevos apuntes de 1º Ampliación de Cálculo y Ecuaciones Diferenciales: T4-Integrales-de-Superficie.pdf

12 páginas

He publicado nuevos apuntes de 1º Ampliación de Cálculo y Ecuaciones Diferenciales: T3-Calculo-Vectorial.pdf

12 páginas

He publicado nuevos apuntes de 1º Ampliación de Cálculo y Ecuaciones Diferenciales: T2-Integrales-Triples.pdf

7 páginas

He publicado nuevos apuntes de 1º Ampliación de Cálculo y Ecuaciones Diferenciales: T5-ACED.pdf

3 páginas

He publicado nuevos apuntes de 1º Ampliación de Cálculo y Ecuaciones Diferenciales: T4-ACED.pdf

5 páginas

He publicado nuevos apuntes de 1º Ampliación de Cálculo y Ecuaciones Diferenciales: T3-ACED.pdf

3 páginas

He publicado nuevos apuntes de 1º Ampliación de Cálculo y Ecuaciones Diferenciales: T2-ACED.pdf

4 páginas

He publicado nuevos apuntes de 1º Ampliación de Cálculo y Ecuaciones Diferenciales: T1-ACED.pdf

5 páginas

apuntes

-

Integrales

He publicado nuevos apuntes de 1º Ampliación de Cálculo y Ecuaciones Diferenciales: Integrales

Cálculo Integral
Anónimo

@Anónimo

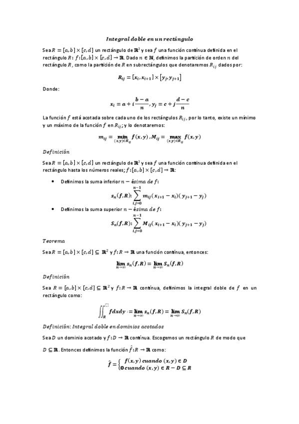
He publicado nuevos apuntes de 1º Ampliación de Cálculo y Ecuaciones Diferenciales: Tema-1-Integrales-Dobles.pdf

11 páginas
Anónimo

@Anónimo

practicas

-

Códigos Matlab

He publicado nuevos practicas de 1º Ampliación de Cálculo y Ecuaciones Diferenciales: Códigos Matlab

Miniatura no disponible
P2integralsuperficie.m
Miniatura no disponible
P2curvasysuperficies.m
Miniatura no disponible
P11variable.m
Miniatura no disponible
P3EDOsorden1.m
Miniatura no disponible
P3ejercicios.m
Miniatura no disponible
P3EDOsordensuperior.m

apuntes

-

Apuntes Cálculo II

He publicado nuevos apuntes de 1º Ampliación de Cálculo y Ecuaciones Diferenciales: Apuntes Cálculo II

Calculo-II-Tema-2.pdf
Calculo-II-Tema-1.pdf
Calculo-II-Temas-34.pdf
¡Estás al día!

¡Estás al día!

Has visto todos los archivos