Portada
Asignatura
Grado en Ingeniería de Diseño Industrial y Desarrollo del Producto (UMA)
Ampliación de Cálculo
Fecha de subida
22 may 2020
Categoría
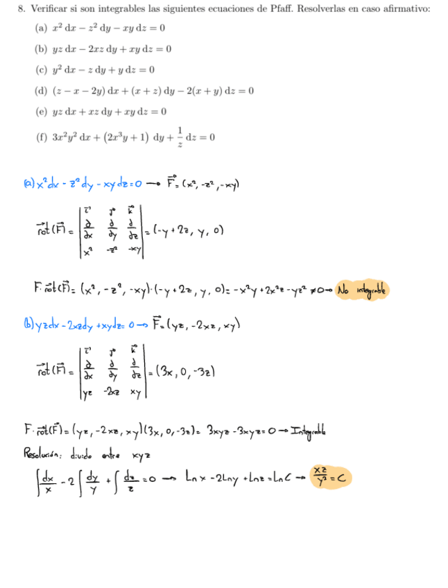
ejercicios
Etiquetas
Apuntes - Relacion-2-resuelta-completa.pdf
pdf
19 páginas
139
0
Exámenes - junio11resuelto.pdf
7 páginas
101
Prácticas - Grupo_030_VariableCompleja.dfw
dfw
54
Prácticas - GRUPO_030_EDOYEDP.dfw
44
Exámenes - junio14resuelto.pdf
8 páginas
66
Apuntes - Relacion-1-resuelta-y-corregida.pdf
13 páginas
73
Ejercicios - Relacion-2-RESUELTA.pdf
33 páginas
Apuntes - NuevoDocumento-2019-09-30-21.pdf
11 páginas
49
Ejercicios - E1_transformada de Laplace-watermark.pdf
22
Exámenes - septiembre11resuelto.pdf
6 páginas
37
Ejercicios - E4_ecuaciones en derivadas parciales en primer orden-watermark.pdf
22 páginas
Ejercicios - Relacion-de-repaso-T1-y-T2.pdf
34
1
Ejercicios - Relacion-4.pdf
17 páginas
43
9 páginas
30
Apuntes - NuevoDocumento-2019-09-30-20.pdf
15 páginas
26
Ejercicios - Relaciones-de-repaso.pdf
21 páginas
38
Ejercicios - E2_ecuaciones diferenciales-watermark.pdf
10 páginas
19
Apuntes - Relacion-de-repaso-tema-4-y-5.pdf
32
Ejercicios - Relacion-3.pdf
28
16