chevron_left
chevron_right
Todo
Apuntes
Ejercicios
Exámenes
Test
chevron_left
chevron_right

examenes

-

EXAMENES RESUELTOS

He publicado nuevos examenes de 1º Ampliación de Cálculo: EXAMENES RESUELTOS

JUNIO-2017-RESUELTO.pdf
JUNIO-2018-RESUELTO.pdf
JUNIO-2019-RESUELTO.pdf
JUNIO-2021-RESUELTO.pdf
SEPTIEMBRE-2017-RESUELTO.pdf
SEPTIEMBRE-2018-RESUELTO.pdf

ejercicios

-

Ejercicios Ampliación de Cálculo 2024/25

He publicado nuevos ejercicios de 1º Ampliación de Cálculo: Ejercicios Ampliación de Cálculo 2024/25

Ejercicios-T1-T2-y-T3..pdf
Ejercicios-T4-y-T5.pdf

apuntes

-

Temario Ampliación de Cálculo 2024/25

He publicado nuevos apuntes de 1º Ampliación de Cálculo: Temario Ampliación de Cálculo 2024/25

Temario-T1-T2-y-T3..pdf

He publicado nuevos apuntes de 1º Ampliación de Cálculo: Formulario.pdf

1 página

apuntes

-

¡CON ESTO APROBARÁS AMPLIACIÓN DE CÁLCULO!

He publicado nuevos apuntes de 1º Ampliación de Cálculo: ¡CON ESTO APROBARÁS AMPLIACIÓN DE CÁLCULO!

FORMULARIO-Ampliacion-de-Calculo.pdf
TEMA-1-Laplace.pdf
TEMA-2-EDOs-de-Primer-Orden.pdf
TEMA-3-EDOs-de-Orden-Superior.pdf
TEMA-4-EDPs-de-Primer-Orden.pdf
RESUELTO-Junio-2019.pdf

He publicado nuevos apuntes de 1º Ampliación de Cálculo: T.3-Integracion-doble-superficial-TaStok.pdf

42 páginas

He publicado nuevos apuntes de 1º Ampliación de Cálculo: T.2Integra-doble-TaGreenRieman-1.pdf

1 página

He publicado nuevos apuntes de 1º Ampliación de Cálculo: T.1-Integra-linea-Potencial-Ejercicios-1.pdf

26 páginas

He publicado nuevos ejercicios de 1º Ampliación de Cálculo: Relacion-4.pdf

17 páginas

He publicado nuevos test de 1º Ampliación de Cálculo: cuestionario3.pdf

6 páginas

He publicado nuevos ejercicios de 1º Ampliación de Cálculo: Relacion-3.pdf

26 páginas

He publicado nuevos ejercicios de 1º Ampliación de Cálculo: Relacion-2.pdf

27 páginas

He publicado nuevos apuntes de 1º Ampliación de Cálculo: Resumen-T2.pdf

5 páginas

He publicado nuevos test de 1º Ampliación de Cálculo: cuestionario1.pdf

5 páginas

He publicado nuevos ejercicios de 1º Ampliación de Cálculo: Relacion-1.pdf

15 páginas

Relación ejercicios propuestos Tema 3 .

18 páginas

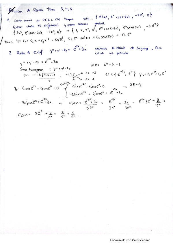
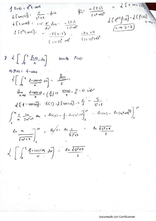
Relación resuelta repaso temas 3,4,5.

10 páginas

Propuestos Tema 1

10 páginas

He publicado nuevos ejercicios de 1º Ampliación de Cálculo: Tema-1-Ejercicios-Propuestos.pdf

17 páginas

He publicado nuevos ejercicios de 1º Ampliación de Cálculo: Tema-1-Relacion.pdf

16 páginas
Anónimo

@Anónimo

He publicado nuevos apuntes de 1º Ampliación de Cálculo: Ejercicios-propuestos-tema-2-ampli.pdf

24 páginas
Anónimo

@Anónimo

He publicado nuevos apuntes de 1º Ampliación de Cálculo: Ejercicios-propuestos-tema-1.pdf

24 páginas
Anónimo

@Anónimo

He publicado nuevos examenes de 1º Ampliación de Cálculo: Examenes-resueltos-Ampl.pdf

16 páginas

ejercicios

-

Relaciones resueltas

He publicado nuevos ejercicios de 1º Ampliación de Cálculo: Relaciones resueltas

Repaso-temas-4-y-5.pdf
Tema-5.pdf
Tema-4.pdf
Tema-3.pdf

apuntes

-

Temario Completo

He publicado nuevos apuntes de 1º Ampliación de Cálculo: Temario Completo

Tema-2.pdf
Tema-4.pdf
Tema-3.pdf
Tema-1.pdf
Tema-5.pdf

examenes

-

Exámenes Parciales 2020 Online

He publicado nuevos examenes de 1º Ampliación de Cálculo: Exámenes Parciales 2020 Online

Examen-Parcial-3-online-2020.pdf
Examen-Parcial-2-online-2020.pdf

ejercicios

-

Tema 4 y 5 COMPLETOS + esquemas

He publicado nuevos ejercicios de 1º Ampliación de Cálculo: Tema 4 y 5 COMPLETOS + esquemas

Tema-5-completo-resuelto--esquema.pdf
Tema-4-resuelta-entera--esquema-metodos.pdf

He publicado nuevos ejercicios de 1º Ampliación de Cálculo: relacion-repaso-tema-3-tema-4-y-tema-5.pdf

17 páginas

He publicado nuevos ejercicios de 1º Ampliación de Cálculo: Tema-3-Resuelto.pdf

39 páginas

ejercicios

-

Relación Tema 1, 2, 3 y Repaso

He publicado nuevos ejercicios de 1º Ampliación de Cálculo: Relación Tema 1, 2, 3 y Repaso

Relacion-RepasoTema-1-y-2.pdf
tema-2.pdf
Tema-1.pdf
Tema-3-Resuelto.pdf

He publicado nuevos apuntes de 1º Ampliación de Cálculo: Libro-Derivadas-Parciales-y-Series.pdf

2 páginas

examenes

-

Exámenes

He publicado nuevos examenes de 1º Ampliación de Cálculo: Exámenes

exaampliacionjunio2017.pdf
exaparcialampliacionabril2018grupoB.pdf
exaparcialjunio2016.pdf
exaparcialampliacionabril2018grupoA.pdf
uno3.pdf
jun2.pdf

examenes

-

Exámenes

He publicado nuevos examenes de 1º Ampliación de Cálculo: Exámenes

exampjunio15.pdf
examplisept2012.pdf
exaparcialampliacion2011.pdf
exaparcialampliacionabril2015.pdf
ampj4.pdf
examenjunio2014.pdf

He publicado nuevos apuntes de 1º Ampliación de Cálculo: Tema4.pdf

8 páginas

ejercicios

-

Relaciones Resueltas

He publicado nuevos ejercicios de 1º Ampliación de Cálculo: Relaciones Resueltas

Relacion-5.pdf
Relacion-1.pdf
Relacion-2.pdf
Relacion-3.pdf
Relacion-4.pdf
Relaciones-de-repaso.pdf

He publicado nuevos apuntes de 1º Ampliación de Cálculo: DOC-20180822-WA0066.pdf

28 páginas

He publicado nuevos apuntes de 1º Ampliación de Cálculo: DOC-20180822-WA0061.pdf

24 páginas
¡Estás al día!

¡Estás al día!

Has visto todos los archivos