chevron_left
chevron_right
Todo
Ejercicios
Exámenes
PEC
chevron_left
chevron_right

He publicado nuevos ejercicios de 2º Ampliación de Cálculo: Cap10-formas-fundamentales-ejercicios.pdf

26 páginas

He publicado nuevos ejercicios de 2º Ampliación de Cálculo: Cap08-estudio-curvas-ejercicios.pdf

15 páginas

He publicado nuevos ejercicios de 2º Ampliación de Cálculo: Cap09-superficies-ejercicios.pdf

20 páginas

He publicado nuevos ejercicios de 2º Ampliación de Cálculo: Cap05-funcion-inversa-ejercicios.pdf

18 páginas

He publicado nuevos ejercicios de 2º Ampliación de Cálculo: Cap06-dependencia-funcional-ejercicios.pdf

18 páginas

He publicado nuevos ejercicios de 2º Ampliación de Cálculo: Cap07-curvas-ejercicios.pdf

15 páginas

He publicado nuevos ejercicios de 2º Ampliación de Cálculo: Cap04-funciones-diferenciales-ejercicios.pdf

16 páginas

He publicado nuevos ejercicios de 2º Ampliación de Cálculo: Cap02-Continuidad-ejercicios.pdf

20 páginas

He publicado nuevos ejercicios de 2º Ampliación de Cálculo: Cap01-Espacios-metricos-ejercicios.pdf

17 páginas

He publicado nuevos ejercicios de 2º Ampliación de Cálculo: Cap03-Espacios-normados-ejercicios.pdf

14 páginas

pec

-

PEC Resueltas

He publicado nuevos pec de 2º Ampliación de Cálculo: PEC Resueltas

PECIntegracionNov2018SOLUCIONES.pdf
PECIntegracionNov2013SOLUCIONES.pdf
PECIntegracionNov2014SOLUCIONES.pdf
PECComplejaEnero2017SOLUCIONES.pdf
PECComplejaEnero2018SOLUCIONES.pdf
PECIntegracionNov2016SOLUCIONES.pdf

examenes

-

Examenes resueltos

He publicado nuevos examenes de 2º Ampliación de Cálculo: Examenes resueltos

AmpliCF2-2008-Resuelto.pdf
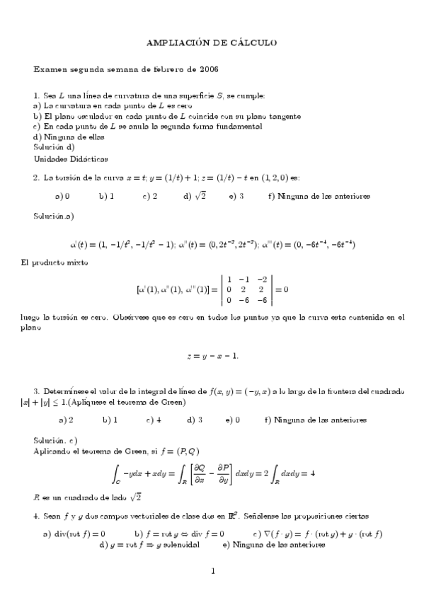
AmpliCF206SO-Resuelto.pdf
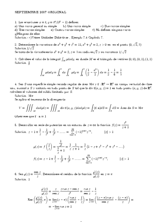
AmpliCSE07-Resuelto.pdf
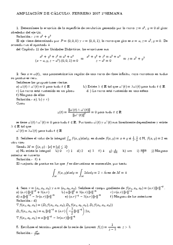
AmpliCF1-2008-Resuelto.pdf
AmpliCF1-2007-Resuelto.pdf
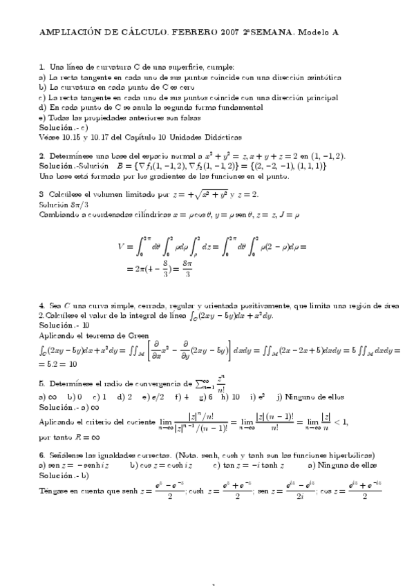
AmpliCF2-2007A-Resuelto.pdf
¡Estás al día!

¡Estás al día!

Has visto todos los archivos