chevron_left
chevron_right
Todo
Apuntes
Ejercicios
Exámenes
chevron_left
chevron_right

He publicado nuevos apuntes de 2º Ampliación de Cálculo: TEMA 11 - Transformación conforme (Funciones de variable compleja).pdf

9 páginas

He publicado nuevos apuntes de 2º Ampliación de Cálculo: TEMA 9 - Ceros y singularidades aisladas (Funciones de variable compleja).pdf

11 páginas

He publicado nuevos apuntes de 2º Ampliación de Cálculo: TEMA 10 - El teorema de Cauchy y sus aplicaciones (Funciones de variable compleja).pdf

10 páginas

He publicado nuevos apuntes de 2º Ampliación de Cálculo: TEMA 6 & 7 - Los números complejos. Derivación e integración (Funciones de variable compleja).pdf

5 páginas

He publicado nuevos apuntes de 2º Ampliación de Cálculo: TEMA 8 - Funciones analíticas (Funciones de variable compleja).pdf

5 páginas

He publicado nuevos apuntes de 2º Ampliación de Cálculo: TEMA 4 & 5 - Integral curvilínea y de superficie (Integración y análisis vectorial).pdf

25 páginas

He publicado nuevos apuntes de 2º Ampliación de Cálculo: TEMA 3 - Cambio de variable y aplicaciones de la integral (Integración y análisis vectorial).pdf

4 páginas

He publicado nuevos apuntes de 2º Ampliación de Cálculo: TEMA 2 - Integración sobre conjuntos acotados (Integración y análisis vectorial).pdf

3 páginas

He publicado nuevos ejercicios de 2º Ampliación de Cálculo: Ejercicios resueltos - Integración y análisis vectorial.pdf

10 páginas

He publicado nuevos apuntes de 2º Ampliación de Cálculo: TEMA 1 - La integral múltiple de Riemann (Integración y análisis vectorial).pdf

6 páginas

He publicado nuevos examenes de 2º Ampliación de Cálculo: PEC2 y Soluciones 2023 - Funciones de variable compleja.pdf

15 páginas

He publicado nuevos examenes de 2º Ampliación de Cálculo: PEC1 y Soluciones 2023 - Integración y análisis vectorial.pdf

15 páginas

He publicado nuevos apuntes de 2º Ampliación de Cálculo: Bloque II - Funciones de variable compleja + Ejercicios resueltos.pdf

54 páginas
Anónimo

@Anónimo

examenes

-

Exámenes

He publicado nuevos examenes de 2º Ampliación de Cálculo: Exámenes

Miniatura no disponible
E6890210-0-12SR.pdf
Miniatura no disponible
E6890210-0-12SO.pdf
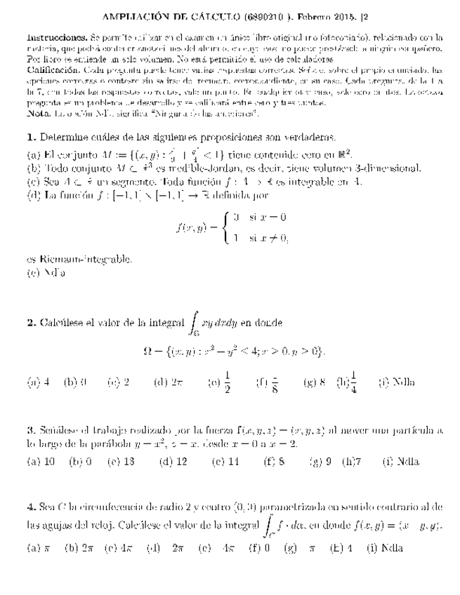
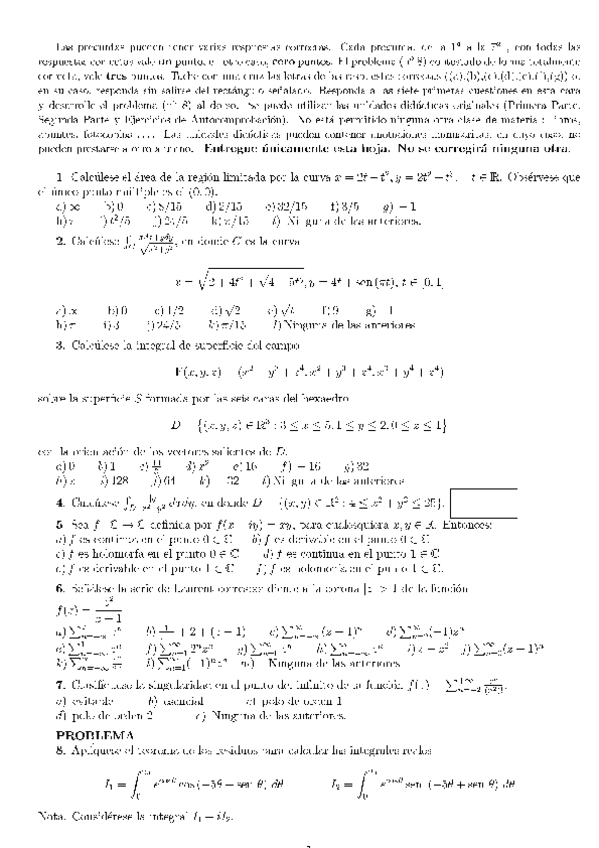
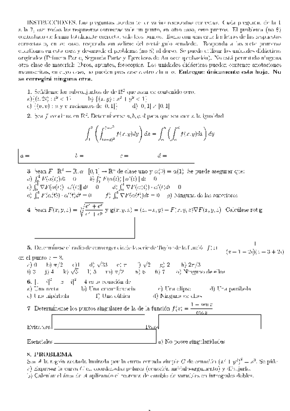
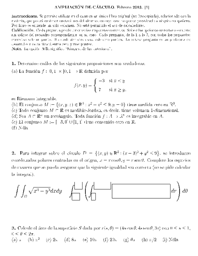
E6890210-0-11F1.pdf
Miniatura no disponible
E6890210-0-12F1.pdf
E6890210-0-11F2.pdf
Miniatura no disponible
E6890210-0-12F2.pdf

examenes

-

Exámenes

He publicado nuevos examenes de 2º Ampliación de Cálculo: Exámenes

E6890210-0-13SR.pdf
E6890210-0-13F2.pdf
E6890210-0-15F2.pdf
E6890210-0-14SR.pdf
E6890210-0-14SO.pdf
E6890210-0-13F1.pdf

examenes

-

Problemas de Examen resueltos

He publicado nuevos examenes de 2º Ampliación de Cálculo: Problemas de Examen resueltos

01-Integral-de-Riemann.pdf
03-Cuerpos-de-revolucion.pdf
02-Integrales-dobles-2.pdf
04-Integrales-triples.pdf
06-Integrales-de-Superficie.pdf
08-Funciones-analiticas-y-holomorfas.pdf
Anónimo

@Anónimo

examenes

-

Examen

He publicado nuevos examenes de 2º Ampliación de Cálculo: Examen

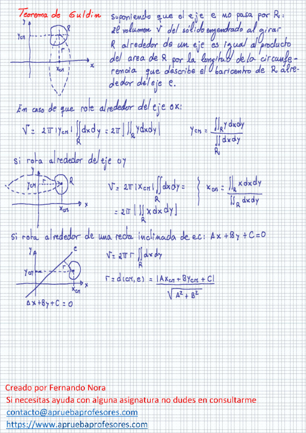
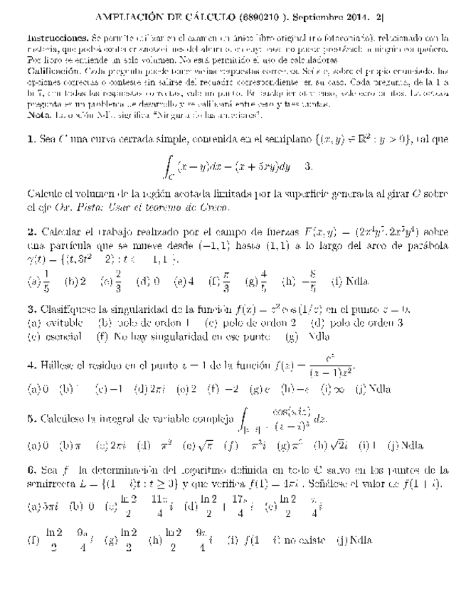
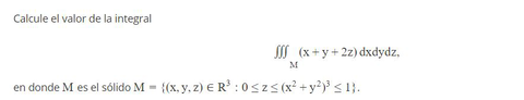
Capture2.jpg
Capture.jpg
Capture3.jpg

apuntes

-

AC

He publicado nuevos apuntes de 2º Ampliación de Cálculo: AC

SeriesLaurent.pdf
geometria.pdf

He publicado nuevos apuntes de 2º Ampliación de Cálculo: T1-Transformada de Laplace.pdf

1 página

He publicado nuevos apuntes de 2º Ampliación de Cálculo: T4-Resolución EDTs.pdf

2 páginas

He publicado nuevos apuntes de 2º Ampliación de Cálculo: T2-Resolución EDOs.pdf

2 páginas
¡Estás al día!

¡Estás al día!

Has visto todos los archivos