Todo
Apuntes
Ejercicios
chevron_left
chevron_right

He publicado nuevos apuntes de 4º Ampliación de Ecuaciones Diferenciales: 2-El-segundo-metodo-de-estabilidad-de-Liapunov.pdf

3 páginas

He publicado nuevos apuntes de 4º Ampliación de Ecuaciones Diferenciales: 1-Conceptos-de-estabilidad.pdf

6 páginas

ejercicios

-

RESUELTOS EXÁMENES

He publicado nuevos ejercicios de 4º Ampliación de Ecuaciones Diferenciales: RESUELTOS EXÁMENES

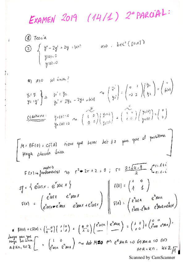
RESUELTO-SEGUNDO-PARCIAL-2019.pdf
RESUELTO-SEGUNDO-PARCIAL-2019.pdf
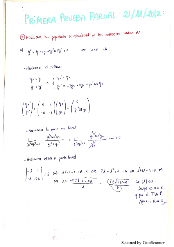
RESUELTO-PRIMER-PARCIAL-2012.pdf
RESUELTO-PRIMER-PARCIAL-2012.pdf
RESUELTO-PRIMERA-PARTE-2conv-2013.pdf
RESUELTO-PRIMERA-PARTE-2conv-2013.pdf

ejercicios

-

RESUELTOS EJERCICIOS POR TEMAS

He publicado nuevos ejercicios de 4º Ampliación de Ecuaciones Diferenciales: RESUELTOS EJERCICIOS POR TEMAS

RESUELTOS-EJERCICIOS-BLOQUE-II-AED.pdf
RESUELTOS-EJERCICIOS-BLOQUE-II-AED.pdf
RESUELTOS-EJERCICIOS-BLOQUE-III-AED.pdf
RESUELTOS-EJERCICIOS-BLOQUE-III-AED.pdf
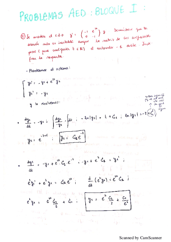
RESUELTOS-EJERCICIOS-BLOQUE-I-AED.pdf
RESUELTOS-EJERCICIOS-BLOQUE-I-AED.pdf