Ampliación de Ecuaciones Diferenciales

chevron_left
chevron_right
Todo
Ejercicios
Exámenes
chevron_left
chevron_right

examenes

-

RESUELTOS EXÁMENES

He publicado nuevos examenes de 3º Ampliación de Ecuaciones Diferenciales: RESUELTOS EXÁMENES

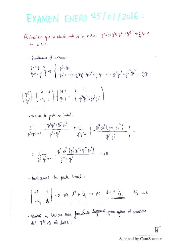
RESUELTO-EJERCICIO-1-enero-2016.pdf
RESUELTO-PRIMER-PARCIAL-2018.pdf
RESUELTO-EJERCICIO-2-1conv-2012.pdf
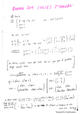
RESUELTO-PRIMER-PARCIAL-2019.pdf
RESUELTO-SEGUNDO-PARCIAL-2020-doble-grado.pdf
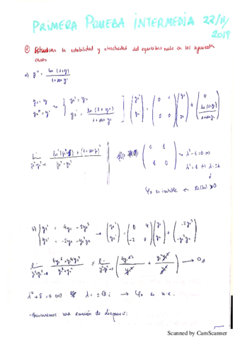
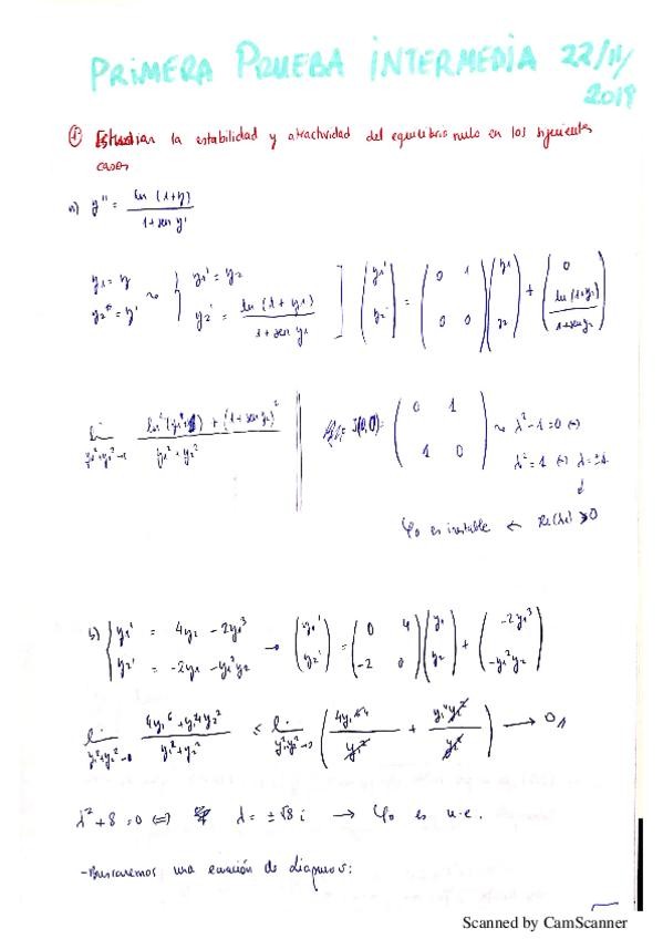
RESUELTO-SEGUNDO-PARCIAL-2019.pdf

ejercicios

-

RESUELTOS EJERCICIOS POR TEMAS

He publicado nuevos ejercicios de 3º Ampliación de Ecuaciones Diferenciales: RESUELTOS EJERCICIOS POR TEMAS

RESUELTOS-EJERCICIOS-BLOQUE-III-AED.pdf
RESUELTOS-EJERCICIOS-BLOQUE-I-AED.pdf
RESUELTOS-EJERCICIOS-BLOQUE-II-AED.pdf
¡Estás al día!

¡Estás al día!

Has visto todos los archivos