chevron_left
chevron_right
Todo
Apuntes
Ejercicios
Exámenes
Prácticas
publication
chevron_left
chevron_right

apuntes

-

ECCUACIONES DIFERENCIALES

He publicado nuevos apuntes de 2º Ampliación de Ecuaciones Diferenciales: ECCUACIONES DIFERENCIALES

1-DIFERENTIAL-EQ.pdf
2-DIFERENTIAL-EQ.pdf
3-DIFERENTIAL-EQ.pdf

He publicado nuevos ejercicios de 2º Ampliación de Ecuaciones Diferenciales: Ecuaciones-Diferenciales.pdf

137 páginas

He publicado nuevos apuntes de 2º Ampliación de Ecuaciones Diferenciales: Ecuaciones-Diferenciales.pdf

92 páginas

examenes

-

PARCIALES ECUACIONES

Todos los examenes parciales desde 2013

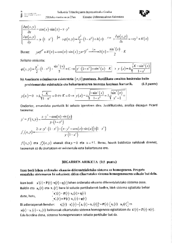
20232024martxoaeussoluzioa.pdf
martxoko-partziala-2025-soluzioekin.pdf
AzterketaPartziala2021-soluzioarekin.pdf
20212022martxoa-soluzioarekin.pdf
20222023martxoasoluzioa.pdf
PARCIAL-2023.pdf

examenes

-

RESOLUCIÓN DE PARCIALES

He publicado nuevos examenes de 2º Ampliación de Ecuaciones Diferenciales: RESOLUCIÓN DE PARCIALES

March2021-RESOLUTION.pdf
March2022-RESOLUTION.pdf
March2023-RESOLUTION.pdf
March2024-RESOLUTION.pdf

He publicado nuevos apuntes de 2º Ampliación de Ecuaciones Diferenciales: Parcial-1-ecuaciones.pdf

33 páginas

He publicado nuevos apuntes de 2º Ampliación de Ecuaciones Diferenciales: Marzo-2025.pdf

5 páginas

He publicado nuevos apuntes de 2º Ampliación de Ecuaciones Diferenciales: Apuntes-Mathematica.pdf

2 páginas

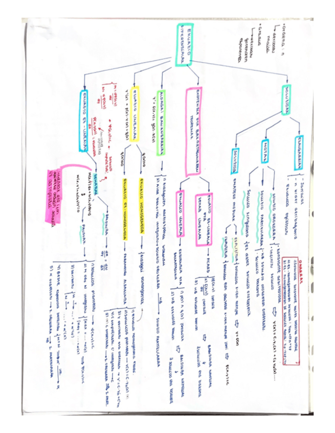
He publicado nuevos apuntes de 2º Ampliación de Ecuaciones Diferenciales: Resumen-por-temas-I.pdf

9 páginas

He publicado nuevos apuntes de 2º Ampliación de Ecuaciones Diferenciales: Resumen-por-temas-II.pdf

9 páginas

He publicado nuevos apuntes de 2º Ampliación de Ecuaciones Diferenciales: Resumen asignatura.pdf

6 páginas

apuntes

-

ORDINARIAS

Ordinarias desde 2004 con varias resoluciones

20232024maiatzasoluzioa.pdf
2024-2025-ohiko-deialdia.pdf
maiatza-2022-ohikoa.pdf
2023-ohiko-deialdia.pdf
Azterketa2021ekaina-soluzioarekin.pdf
ORDINARIA-2012.pdf
Anónimo

@Anónimo

apuntes

-

EXTRAORDINARIA - 2010

Todos los exámenes extraordinarios desde 2006, con varias resoluciones

20242025-ez-ohikoa-soluzioa.pdf
ezohikoaenuntziatuaeuskara-soluzioa.pdf
uztaila-2022-soluzioarekin.pdf
2021-ez-ohiko-deialdia.pdf
2022-2023-ez-ohikoa-idatzizkoa-ebazpena-soluzioa.pdf
EXTRAORDINARIA-2010.pdf

SUPERRESUMEN de la teoría + métodos de resolución para los ejercicios de exámenes de ecuaciones diferenciales ordinarias

17 páginas

SUPERRESUMEN de la teoría + métodos de resolución para los ejercicios de exámenes de sistemas de edos

11 páginas

SUPERRESUMEN de la teoría + métodos de resolución para los ejercicios de exámenes de sistemas autónomos

17 páginas

apuntes

-

SEMINARIOS RESUELTOS (2026)

He publicado nuevos apuntes de 2º Ampliación de Ecuaciones Diferenciales: SEMINARIOS RESUELTOS (2026)

1-SEMINAR.pdf

apuntes

-

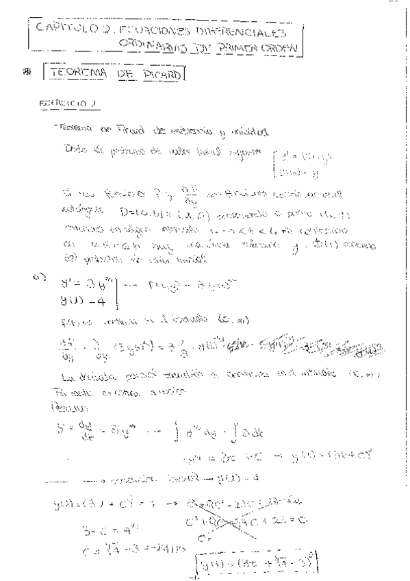
Ejercicios 1º parcial

He publicado nuevos apuntes de 2º Ampliación de Ecuaciones Diferenciales: Ejercicios 1º parcial

Tema-1--orden-1-clase.pdf
Tema-2--sistemas-lineales-orden-1-clase.pdf
Tema-3--Autonomos-clase.pdf
Tema-2-extra.pdf
Seminario-1.pdf
T1-extra.pdf

ejercicios

-

Ejercicios 2º parcial

He publicado nuevos ejercicios de 2º Ampliación de Ecuaciones Diferenciales: Ejercicios 2º parcial

ejers-tema-4-clase.pdf
ejercicios-tema-5-clase.pdf
ejers-T6-clase.pdf
Tema-5-extra.pdf
seminario-4.pdf
Tema-4-extra.pdf

apuntes

-

Examenes completos

He publicado nuevos apuntes de 2º Ampliación de Ecuaciones Diferenciales: Examenes completos

mayo-21.pdf
julio-22.pdf
junio-21.pdf
mayo-22.pdf

apuntes

-

Examenes segundo parcial

He publicado nuevos apuntes de 2º Ampliación de Ecuaciones Diferenciales: Examenes segundo parcial

mayo-24-parte-II.pdf
junio-24-parte-2.pdf

examenes

-

Examenes primer parcial

He publicado nuevos examenes de 2º Ampliación de Ecuaciones Diferenciales: Examenes primer parcial

mayo-24.pdf
marzo-22.pdf
Marzo-25.pdf
marzo-21.pdf
junio-24.pdf
junio-22.pdf

He publicado nuevos apuntes de 2º Ampliación de Ecuaciones Diferenciales: resumenSistemas.nb

Miniatura no disponible

He publicado nuevos apuntes de 2º Ampliación de Ecuaciones Diferenciales: practical4.nb

Miniatura no disponible

He publicado nuevos ejercicios de 2º Ampliación de Ecuaciones Diferenciales: Ejercicios-de-sistemas.nb

Miniatura no disponible

He publicado nuevos ejercicios de 2º Ampliación de Ecuaciones Diferenciales: Desarrollo-en-serie-de-autofunciones-1-resuelto.nb

Miniatura no disponible

He publicado nuevos ejercicios de 2º Ampliación de Ecuaciones Diferenciales: Desarrollo-en-serie-de-autofunciones-1-resuelto.nb

Miniatura no disponible

He publicado nuevos apuntes de 2º Ampliación de Ecuaciones Diferenciales: aproximaciones.nb

Miniatura no disponible

He publicado nuevos examenes de 2º Ampliación de Ecuaciones Diferenciales: 27Abril2018.nb

Miniatura no disponible

He publicado nuevos examenes de 2º Ampliación de Ecuaciones Diferenciales: 24abril2018.nb

Miniatura no disponible

He publicado nuevos examenes de 2º Ampliación de Ecuaciones Diferenciales: 10Abril2017.nb

Miniatura no disponible

He publicado nuevos examenes de 2º Ampliación de Ecuaciones Diferenciales: 3Mayo2016.nb

Miniatura no disponible

He publicado nuevos practicas de 2º Ampliación de Ecuaciones Diferenciales: 2Practical.nb

Miniatura no disponible

He publicado nuevos examenes de 2º Ampliación de Ecuaciones Diferenciales: 2Mayo2016.nb

Miniatura no disponible

He publicado nuevos practicas de 2º Ampliación de Ecuaciones Diferenciales: 1Practical.nb

Miniatura no disponible

He publicado nuevos apuntes de 2º Ampliación de Ecuaciones Diferenciales: Seminar-4.pdf

6 páginas

He publicado nuevos examenes de 2º Ampliación de Ecuaciones Diferenciales: Seminar-3.pdf

13 páginas

He publicado nuevos examenes de 2º Ampliación de Ecuaciones Diferenciales: problemas-de-contorno-teoria-y-ejercicios.pdf

5 páginas

He publicado nuevos examenes de 2º Ampliación de Ecuaciones Diferenciales: EDP-teoria-y-examenes.pdf

42 páginas

He publicado nuevos examenes de 2º Ampliación de Ecuaciones Diferenciales: ED-Euler-teoria-y-ejercicios.pdf

12 páginas

He publicado nuevos examenes de 2º Ampliación de Ecuaciones Diferenciales: Ecuaciones-diferenciales-de-orden-superior-teoria-y-ejercicios.pdf

5 páginas

He publicado nuevos examenes de 2º Ampliación de Ecuaciones Diferenciales: ED-coeficientes-constantes-teoria-y-ejercicios.pdf

10 páginas

He publicado nuevos examenes de 2º Ampliación de Ecuaciones Diferenciales: Desarrollo-en-serie-teoria-y-examenes-viejos.pdf

15 páginas

He publicado nuevos examenes de 2º Ampliación de Ecuaciones Diferenciales: Parciales-resueltos.pdf

10 páginas

He publicado nuevos examenes de 2º Ampliación de Ecuaciones Diferenciales: Sistemas-autonomos-teoria-y-ejercicios-de-examenes-viejos.pdf

14 páginas

He publicado nuevos examenes de 2º Ampliación de Ecuaciones Diferenciales: Sistemas-no-homogeneos-teoria-y-examenes-viejos.pdf

11 páginas

Ecuaciones MATLAB

4 páginas

He publicado nuevos apuntes de 2º Ampliación de Ecuaciones Diferenciales: ApuntesMathematica.pdf

6 páginas

examenes

-

Exames resueltos Mathematica

He publicado nuevos examenes de 2º Ampliación de Ecuaciones Diferenciales: Exames resueltos Mathematica

2016-Mayo-02.pdf
2017-Abril-06.pdf
2018-Abril-23.pdf
2018-Abril-27.pdf

He publicado nuevos apuntes de 2º Ampliación de Ecuaciones Diferenciales: ECS-CHAPTER-6.pdf

17 páginas

He publicado nuevos ejercicios de 2º Ampliación de Ecuaciones Diferenciales: 4.mintegia.pdf

10 páginas
Anónimo

@Anónimo

apuntes

-

Laburpenak

He publicado nuevos apuntes de 2º Ampliación de Ecuaciones Diferenciales: Laburpenak

3gaia250425131049.pdf
4gaia250425131128.pdf
6gaia250425131229.pdf
5gaia250425131208.pdf
2gaia250425131005.pdf

4

He publicado nuevos apuntes de 2º Ampliación de Ecuaciones Diferenciales: Ecuaciones-Mathematica.pdf

3 páginas

He publicado nuevos apuntes de 2º Ampliación de Ecuaciones Diferenciales: ECS-COMPUTER-PRACTICAL-3.pdf

10 páginas

He publicado nuevos apuntes de 2º Ampliación de Ecuaciones Diferenciales: ECS-CHAPTER-5.pdf

7 páginas

He publicado nuevos apuntes de 2º Ampliación de Ecuaciones Diferenciales: 6.gaia.pdf

7 páginas

He publicado nuevos examenes de 2º Ampliación de Ecuaciones Diferenciales: 2.partzialeko-azterketa-ebatziak.pdf

32 páginas

He publicado nuevos apuntes de 2º Ampliación de Ecuaciones Diferenciales: ECS-CHAPTER-4.pdf

7 páginas

EXTENSION OF DIFFERENTIAL EQUATIONS 03

18 páginas